Work due to varying acceleration

  • Thread starter Thread starter Calpalned
  • Start date Start date
  • Tags Tags
    Acceleration Work
Click For Summary

Homework Help Overview

The discussion revolves around a problem involving a space vehicle falling from a height and the work done by gravity. The subject area includes concepts of gravitational force, vector calculus, and integration in physics.

Discussion Character

  • Exploratory, Conceptual clarification, Mathematical reasoning

Approaches and Questions Raised

  • The original poster expresses confusion regarding the use of the negative vector form of the universal law of gravity and the interpretation of displacement vectors. Participants discuss the significance of direction in the context of gravitational force and the mathematical representation of displacement.

Discussion Status

Participants are actively engaging with the original poster's questions, providing clarifications about the vector form of gravity and the nature of differential displacement. There is a focus on understanding the integration process and the implications of directionality in the calculations.

Contextual Notes

There are indications of confusion regarding the textbook's explanations and the assumptions made about the direction of displacement during the integration process. The original poster's questions highlight a need for further exploration of these concepts.

Calpalned
Messages
297
Reaction score
6

Homework Statement


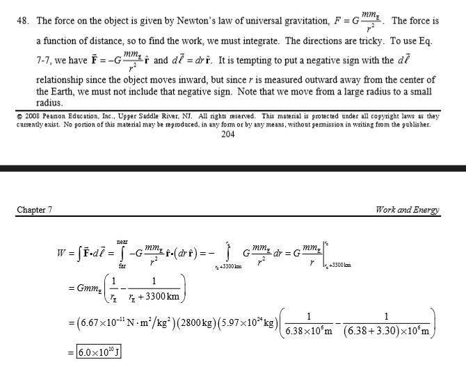
A 2800-kg space vehicle, initially at rest, falls vertically from a height of 3300km above the Earth's surface. Determine how much work is done by the force of gravity in bringing the vehicle to the Earth's surface.

**I read my textbook's method and I got confused. Please take a look at my questions at the bottom of this post.

Homework Equations


See part three.

The Attempt at a Solution


Here is my textbook's method.
esfsf.jpg


I am confused:
1) Why do we have to use the negative vector form of the universal law of gravity?
2) The distance changes from 3300 km to 0 km (Earth's surface). All of the numbers between 0 and 3300 are positive, so is that why ##d \vec l ## is positive?
3) Where did ##d \vec l = dr \vec r ## come from?
4) During the integration ##\vec r ## vanishes. Why is that?

Thank you.
 
Physics news on Phys.org
1) We use the vector form because it includes the directions which are important in this question. The negative sign is there because the force of gravity acts in the opposite direction to ##\vec r##.

2) ##d\vec l## is positive because it is change in ##r##. As your textbook points out, you are moving from a large radius to a small radius, so the change will be positive.

3) Look more closely at the textbook. It says ##d\vec l=dr\hat r##, where ##\hat r## means unit vector in the direction of ##\vec r##. So ##d\vec l## is a vector of length ##dr## in the direction of ##\vec r##.

4)Look at the integration. We have ##\hat r \cdot (dr\hat r)##. Recall that the scalar product of two vectors will always produce a scalar, so there are no vectors in the final answer.

EDIT - Sorry I must have written answer (2) with my eyes closed! I think it's because you're looking at the work done by gravity, which is force over a distance, so this distance should be positive.
 
Last edited:
  • Like
Likes   Reactions: Calpalned and AlephNumbers
So whenever direction is important, I have to use the negative vector form of the universal law of gravity?
 
The real question is "why is ##d \vec l = dr \vec r ## the differential displacement vector along the particle path?"

Notice that in the integration that they are doing, they are going from a larger radius to a smaller radius. So along the integration path, the lengths of the differential distances are (-dr). Note also that the direction of travel is in the negative r direction, as represented by ##- \vec r ##. So, the differential displacement vector along the particle path is ##d \vec l = (-dr)(-\vec r)=dr \vec r ##

Chet
 

Similar threads

Replies
12
Views
2K
Replies
5
Views
2K
Replies
1
Views
2K
  • · Replies 3 ·
Replies
3
Views
2K
  • · Replies 11 ·
Replies
11
Views
6K
Replies
4
Views
2K
Replies
2
Views
928
  • · Replies 25 ·
Replies
25
Views
2K
Replies
4
Views
2K
Replies
1
Views
2K