7.2.1 integrate trig with radical

Click For Summary
SUMMARY

The discussion focuses on integrating the function $$\int_0^{\pi/4} \sqrt{1+\cos(4x)} \, dx$$ using substitution and trigonometric identities. The substitution $u=2x$ simplifies the integral to $$\frac{1}{2} \int_0^{\pi/2} \sqrt{1+\cos(2u)} \, du$$. By applying the double angle identity, the integral further reduces to $$\frac{\sqrt{2}}{2} \int_0^{\pi/2} \cos{u} \, du$$, ultimately yielding the result $$\frac{\sqrt{2}}{2}$$. The key takeaway is the importance of resetting limits during substitution in definite integrals.

PREREQUISITES
  • Understanding of definite integrals
  • Familiarity with trigonometric identities, specifically the double angle identity
  • Knowledge of substitution methods in calculus
  • Basic skills in evaluating integrals involving square roots and trigonometric functions
NEXT STEPS
  • Study the application of the substitution method in definite integrals
  • Learn about trigonometric identities and their use in integration
  • Explore advanced integration techniques, including integration by parts
  • Practice problems involving integrals of the form $$\int \sqrt{a + b \cos(kx)} \, dx$$
USEFUL FOR

Students and educators in calculus, particularly those focusing on integration techniques and trigonometric functions. This discussion is beneficial for anyone looking to deepen their understanding of integration methods and their applications in solving definite integrals.

karush
Gold Member
MHB
Messages
3,240
Reaction score
5

Attachments

  • 270w.PNG
    270w.PNG
    6.3 KB · Views: 166
  • 270wa.PNG
    270wa.PNG
    9.4 KB · Views: 157
Physics news on Phys.org
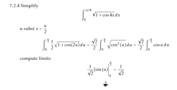
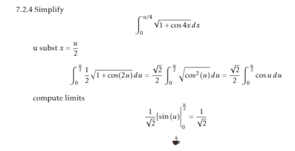
$$\int_0^{\pi/4} \sqrt{1+\cos(4x)} \, dx$$

$u=2x \implies du = 2 \, dx$

$$\frac{1}{2} \int_0^{\pi/4} \sqrt{1+\cos[2(2x)]} \cdot 2 \, dx$$

substitute and reset the limits of integration ...

$$\frac{1}{2} \int_0^{\pi/2} \sqrt{1+\cos(2u)} \, du$$

note the double angle identity, $\cos(2u) = 2\cos^2{u}-1 \implies 1+\cos(2u) = 2\cos^2{u}$

$$\frac{1}{2} \int_0^{\pi/2} \sqrt{2\cos^2{u}} \, du$$

note $\sqrt{2\cos^2{u}} = \sqrt{2} \cdot \sqrt{\cos^2{u}} = \sqrt{2} \cdot |\cos{u}| = \sqrt{2} \cdot \cos{u}$ since $\cos{u} \ge 0$ in quadrant I.

$$\frac{\sqrt{2}}{2} \int_0^{\pi/2}\cos{u} \, du$$

$\dfrac{\sqrt{2}}{2} \bigg[\sin{u} \bigg]_0^{\pi/2} = \dfrac{\sqrt{2}}{2} (1-0) = \dfrac{\sqrt{2}}{2}$
 
ok I see now it was resetting the limits because of substitution

Mahalo
 

Similar threads

  • · Replies 9 ·
Replies
9
Views
2K
  • · Replies 7 ·
Replies
7
Views
2K
  • · Replies 8 ·
Replies
8
Views
3K
  • · Replies 3 ·
Replies
3
Views
2K
  • · Replies 3 ·
Replies
3
Views
2K
  • · Replies 6 ·
Replies
6
Views
2K
  • · Replies 27 ·
Replies
27
Views
3K
Replies
3
Views
2K
  • · Replies 4 ·
Replies
4
Views
2K
  • · Replies 2 ·
Replies
2
Views
2K