- 1,283
- 1,107
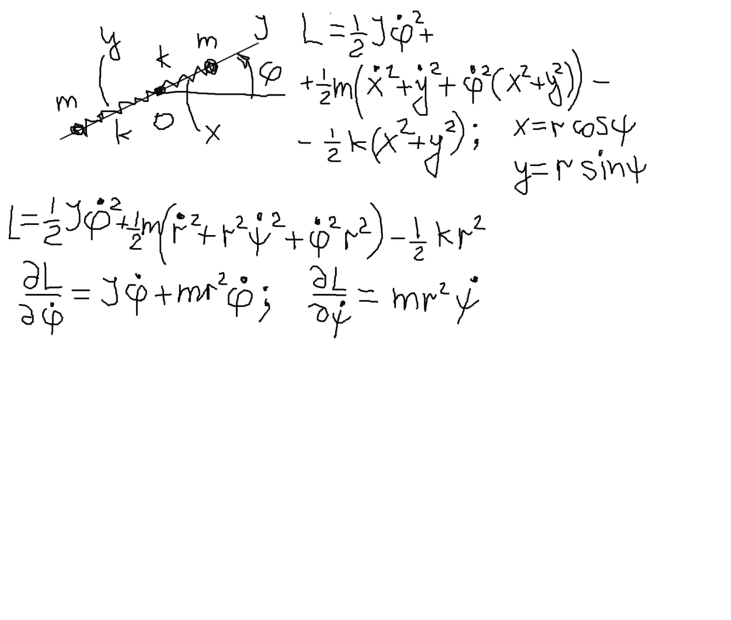
The following problem we considered with the students. Perhaps it would also be interesting for PF
A homogeneous rod can rotate freely in a plane about its (fixed) center of mass O . The corresponding moment of inertia is equal to J. Two identical particles of mass m can slide along the rod freely. Each particle is connected with the point O by a spring of stiffness k. The relaxed length of both springs is equal to zero.
This system has 3 degrees of freedom: the angle of rod's rotation ##\varphi## and the distances ##x,y## from the particles to the origin O. Two integrals are obvious: the energy and the angular momentum. But there is a third less banal integral: see the attachment.
This observation allows to reduce the system to one degree of freedom and then study it by means of the effective potential.
A homogeneous rod can rotate freely in a plane about its (fixed) center of mass O . The corresponding moment of inertia is equal to J. Two identical particles of mass m can slide along the rod freely. Each particle is connected with the point O by a spring of stiffness k. The relaxed length of both springs is equal to zero.
This system has 3 degrees of freedom: the angle of rod's rotation ##\varphi## and the distances ##x,y## from the particles to the origin O. Two integrals are obvious: the energy and the angular momentum. But there is a third less banal integral: see the attachment.
This observation allows to reduce the system to one degree of freedom and then study it by means of the effective potential.


