Analysis: Thm 1.21 and Question from Walter Rudin

  • Thread starter Thread starter mynameisfunk
  • Start date Start date
  • Tags Tags
    Analysis
Click For Summary
SUMMARY

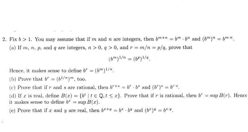
The discussion centers on the application of Theorem 1.21 from Walter Rudin's "Principles of Mathematical Analysis, Third Edition." Participants emphasize the importance of understanding the definition of a^{1/n} for positive real numbers a and integers n. The conversation highlights the necessity of engaging with the material rather than seeking direct answers, encouraging users to explore the theorem's implications and applications in mathematical analysis.

PREREQUISITES
  • Understanding of Theorem 1.21 from "Principles of Mathematical Analysis, Third Edition."
  • Familiarity with the concept of limits and convergence in real analysis.
  • Basic knowledge of exponentiation and its properties for real numbers.
  • Ability to interpret mathematical definitions and theorems in context.
NEXT STEPS
  • Review the implications of Theorem 1.21 in mathematical analysis.
  • Study the definition and properties of a^{1/n} for positive real numbers.
  • Explore additional examples of the application of limits in real analysis.
  • Investigate related theorems in Rudin's text for deeper understanding.
USEFUL FOR

Students of mathematics, particularly those studying real analysis, educators teaching mathematical concepts, and anyone seeking to deepen their understanding of Theorem 1.21 and its applications.

mynameisfunk
Messages
122
Reaction score
0

Attachments

  • q.2.jpg
    q.2.jpg
    24.8 KB · Views: 728
  • IMG00077-20100829-1728.jpg
    IMG00077-20100829-1728.jpg
    18.9 KB · Views: 434
Last edited:
Physics news on Phys.org
And what? Surely you don't just want the answer handed to you (and we won't do that even if you do). What have you tried with these? In particular, what is the definition of [itex]a^{1/n}[/itex] for a a positive real number and n an integer?
 
Im sorry. I forgot I had posted it in a hurry. Just part a here.
 
Last edited:

Similar threads

  • · Replies 1 ·
Replies
1
Views
1K
  • · Replies 1 ·
Replies
1
Views
2K
  • · Replies 6 ·
Replies
6
Views
2K
Replies
2
Views
3K
  • · Replies 1 ·
Replies
1
Views
3K
Replies
4
Views
2K
  • · Replies 1 ·
Replies
1
Views
3K
  • · Replies 5 ·
Replies
5
Views
4K
Replies
1
Views
3K
  • · Replies 3 ·
Replies
3
Views
5K