Application of the Fundamental Theorem of Calculus (cosmological red-shift)

Click For Summary
SUMMARY

The discussion centers on the application of the Fundamental Theorem of Calculus (FoC) in deriving equation 4.20 from 4.18 in the context of cosmological red-shift. The user initially struggles to see the connection between the two equations, specifically regarding the transition from the integral representation of a function to its derivative form. A solution is proposed involving a Taylor expansion of the function b(t), which leads to the conclusion that the second term in the expansion corresponds to the inverse of a(t) evaluated at t2, thus clarifying the relationship between the equations.

PREREQUISITES
  • Understanding of the Fundamental Theorem of Calculus
  • Familiarity with Taylor series expansions
  • Knowledge of cosmological red-shift concepts
  • Basic calculus skills, particularly integration and differentiation
NEXT STEPS
  • Study the Fundamental Theorem of Calculus in detail
  • Learn about Taylor series and their applications in calculus
  • Explore the mathematical implications of cosmological red-shift
  • Practice problems involving integration and differentiation of functions
USEFUL FOR

Students of calculus, physicists studying cosmology, and anyone interested in the mathematical foundations of the Fundamental Theorem of Calculus and its applications in real-world scenarios.

binbagsss
Messages
1,291
Reaction score
12

Homework Statement



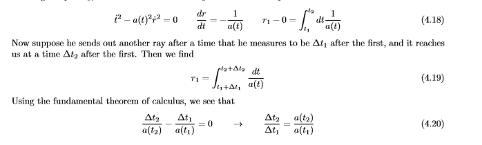
cosmoredshift.png

[/B]
I am stuck on the section of my lecture notes attached, where it says that equation 4.20 follows from 4.18 via an application of the fundamental theorem of calculus

Homework Equations



FoC:

if ## f## is cts on ##[a,b]## then the function :

##F(x)=\int\limits^{x}_{c} f(t) dt ##

has a derivaitve at every point in ##[a,b]## and

##\frac{dF}{dx}=\frac{d}{dx} \int\limits^{x}_{a} f(t) dt=f(x) ##

The Attempt at a Solution


[/B]
I can't see the link since 4.18 says that:

Let me call ## \int dt \frac{1}{a(t)} = b(t) ##, 4.18 says that ##b(t_2)-b(t_1)=r_1 ## whilst 4.20 is looking at something completely different : ## b(t_2 + \Delta t_2)-b(t_1+\Delta t_1) ##(and so rather than an application of the FoC I thought it was expansion of ##b(t)## assuming ##\Delta t_2 ## is small)

So it looks like we have used 4.18 s.t the RHS can be set to zero if there is some property from the FoC that allows to do some sort of split on the limits, a corollary following from the FoC or something that I'm not seeing?

Many thanks in advance.
 

Attachments

  • cosmoredshift.png
    cosmoredshift.png
    8 KB · Views: 961
Physics news on Phys.org
binbagsss said:

Homework Statement



View attachment 221325
[/B]
I am stuck on the section of my lecture notes attached, where it says that equation 4.20 follows from 4.18 via an application of the fundamental theorem of calculus

Homework Equations



FoC:

if ## f## is cts on ##[a,b]## then the function :

##F(x)=\int\limits^{x}_{c} f(t) dt ##

has a derivaitve at every point in ##[a,b]## and

##\frac{dF}{dx}=\frac{d}{dx} \int\limits^{x}_{a} f(t) dt=f(x) ##

The Attempt at a Solution


[/B]
I can't see the link since 4.18 says that:

Let me call ## \int dt \frac{1}{a(t)} = b(t) ##, 4.18 says that ##b(t_2)-b(t_1)=r_1 ## whilst 4.20 is looking at something completely different : ## b(t_2 + \Delta t_2)-b(t_1+\Delta t_1) ##(and so rather than an application of the FoC I thought it was expansion of ##b(t)## assuming ##\Delta t_2 ## is small)
.
Exactly. Just do a Taylor expansion, for example
## b(t_2 + \Delta t_2) \approx b(t_2) + \Delta t_2 \frac{db}{dt}(t_2) ##

The second term is simply ## \Delta t_2 ~ \frac{1}{a(t_2)} ##.
 

Similar threads

Replies
2
Views
1K
  • · Replies 15 ·
Replies
15
Views
2K
  • · Replies 3 ·
Replies
3
Views
2K
  • · Replies 105 ·
4
Replies
105
Views
11K
  • · Replies 3 ·
Replies
3
Views
2K
  • · Replies 4 ·
Replies
4
Views
2K
Replies
7
Views
2K
Replies
2
Views
2K
  • · Replies 4 ·
Replies
4
Views
2K
Replies
12
Views
2K