Apply the Delta Wye Transform to a Circuit

Click For Summary

Homework Help Overview

The discussion revolves around applying the Delta-Wye transform to a circuit, with the original poster attempting to simplify a larger circuit into a smaller configuration for power calculations. The focus is on the validity of the transformation steps and the arrangement of resistors in relation to a voltage source.

Discussion Character

  • Exploratory, Assumption checking, Problem interpretation

Approaches and Questions Raised

  • Participants discuss the sequence of steps taken in the transformation, questioning the inclusion of the voltage source and the labeling of resistors. There are attempts to clarify the configuration of resistors and the implications of their arrangement on the overall circuit.

Discussion Status

The discussion is ongoing, with participants providing feedback on the labeling and configuration of the circuit. Some guidance has been offered regarding the need for consistent labeling and the importance of including the voltage source in the analysis. Multiple interpretations of the circuit layout are being explored.

Contextual Notes

There is mention of confusion regarding the labeling of nodes and resistors, as well as the need to adhere to a specific order in labeling to maintain clarity throughout the diagrams. The original poster is working within the constraints of a homework assignment that requires careful attention to detail in circuit representation.

rugerts
Messages
153
Reaction score
11
Homework Statement
For the circuit of Figure 5, the resistors values are given as: R1=2.2k, R2=4.7k,
R3=3.3k, R4=4.7k, R5=2.2k, and R6=3.3k. Use Delta-Wye transform for terminals ac-b so that the network in Figure 5 is replaced by the network shown in Figure 6. Given that
Vin=12V determine:
a. The resistors values in Figure 6, Rx, Ry, and Rz. Show all work.
b. The total power generated by the voltage source.
Relevant Equations
Delta Wye transform equations.
1571094049673.png
1571094070229.png
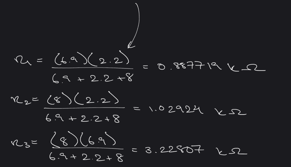
I'm trying to get transform the larger circuit into the smaller one and then from there calculate power. My plan was to do the transform and then use kirchhoffs laws to find the current tofind the power.
My work so far:
1571094417033.png

Is the sequence of steps I used valid? I'm not focusing on the calculations just yet. I want to see first if this is even valid so that it can look like the circuit of figure 6. Essentially what I did in my work was apply the transform and then rotate the circuit so that it looks like the one I want it to look like.

THanks
 
Physics news on Phys.org
It's a little confusing that you label the resistances in the transformed circuit with ##R_1,R_2,R_3##, but assuming I am interpreting that correctly, you need to the voltage source ##V_{in}## in your transformed circuit.
 
tnich said:
It's a little confusing that you label the resistances in the transformed circuit with ##R_1,R_2,R_3##, but assuming I am interpreting that correctly, you need to the voltage source ##V_{in}## in your transformed circuit.
Yes it should be there but I'm focusing on just getting the resistive network down first. Do you have any advice?
 
rugerts said:
Yes it should be there but I'm focusing on just getting the resistive network down first. Do you have any advice?
I don't think you will have the resistance network right until you put in ##V_{in}##.
 
tnich said:
I don't think you will have the resistance network right until you put in ##V_{in}##.
What does Vin being in the picture have to do with the resistors being in the right configuration?
 
I think that if you put ##V_{in}## in the circuit, you will see what is wrong with your diagram.
 
tnich said:
I think that if you put ##V_{in}## in the circuit, you will see what is wrong with your diagram.
Okay, I've redrawn now. I can't seem to see how to take the next step into making it look like the one with Rx, Ry, and Rz.
IMG-0127.PNG
It looks like 2.2 k is in parallel with Rc. Ra in parallel with Rb.
 
I suggest that you redraw the circuit to make it obvious which resistors are in parallel and which are in series. In this case, the circuit will look something like this:
Circuit.png

You need to figure out where to put the resistors. It might help if you label each end of each resistor with a potential, and use the same label for all of the points at the same potential. The resistor ends should have the same labels in the new drawing.
EDIT: I read over the problem again. I think you are meant to transform the delta at the top of the original diagram to a wye. Instead, you have transformed the wye at to the bottom to a delta.
 
Last edited:
tnich said:
I suggest that you redraw the circuit to make it obvious which resistors are in parallel and which are in series. In this case, the circuit will look something like this:
View attachment 251144
You need to figure out where to put the resistors. It might help if you label each end of each resistor with a potential, and use the same label for all of the points at the same potential. The resistor ends should have the same labels in the new drawing.
EDIT: I read over the problem again. I think you are meant to transform the delta at the top of the original diagram to a wye. Instead, you have transformed the wye at to the bottom to a delta.
1571516799544.png
1571516812710.png
1571516821904.png
1571516832801.png
1571516863511.png


This is my updated work. Thanks for the advice. Is this correct?
 

Attachments

  • 1571516799777.png
    1571516799777.png
    24.3 KB · Views: 345
  • #10
It looks to me as though you have labeled the b and c endpoints of the wye incorrectly, so your final figure is incorrect. The labels need to match the labels of your original circuit, not the diagrams for converting Delta to Wye.
 
  • #11
tnich said:
It looks to me as though you have labeled the b and c endpoints of the wye incorrectly, so your final figure is incorrect. The labels need to match the labels of your original circuit, not the diagrams for converting Delta to Wye.
Hm, I thought I made an effort to match my original circuit. See the first delta I drew. It doesn't follow the diagram; it follows my circuit. If it followed the diagram, the "c" would be at the bottom of the delta. I have a "b" there.
 
  • #12
In the last diagram, the nodes are not labeled. In the second-to-last they they seem to be labeled incorrectly, and you have extended the wrong wire with resistor ##R_6##.
 
  • #13
tnich said:
In the last diagram, the nodes are not labeled. In the second-to-last they they seem to be labeled incorrectly, and you have extended the wrong wire with resistor ##R_6##.
I think it's correct now.
1571619386769.png
but do you have any advice on how to keep track of the nodes and their labels? Cause I tried going back and keeping track and noticed that my b and c seemed switched. Do I just choose an order (say: a b c) and then the nodes in every subsequent diagram follow that order a b then c.
 
  • #14
I looks to me like you copied the node labels from the Delat-Wye transformation template when you applied the transformation, which were different than your node labeling. One way to avoid that would be to use the same labeling in your initial diagram that the template uses.
 

Similar threads

  • · Replies 3 ·
Replies
3
Views
1K
Replies
3
Views
2K
Replies
14
Views
5K
  • · Replies 3 ·
Replies
3
Views
1K
Replies
4
Views
3K
  • · Replies 5 ·
Replies
5
Views
2K
Replies
29
Views
3K
  • · Replies 4 ·
Replies
4
Views
2K
Replies
3
Views
2K
  • · Replies 3 ·
Replies
3
Views
2K