Area under the curve of a projectile

Click For Summary

Discussion Overview

The discussion revolves around calculating the area under the curve of a projectile's trajectory using different mathematical methods. Participants explore integration techniques, parametric equations, and the validity of certain mathematical expressions in this context.

Discussion Character

  • Technical explanation, Debate/contested, Mathematical reasoning

Main Points Raised

  • One participant proposes integrating the trajectory equation directly to find the area under the curve.
  • Another participant suggests an alternative method involving the integration of vertical displacement with respect to horizontal displacement, introducing the term (dt/dt) to justify the approach.
  • A later reply points out that (dt/dt) is equal to one, but cautions that treating it as a fraction could lead to misunderstandings.
  • Another participant emphasizes that the expression (dt/dt) is unnecessary and suggests deriving the differential of horizontal displacement directly from its equation.
  • Concerns are raised about the teacher's assertion that vertical and horizontal displacements are not related, questioning how to justify the proposed method of integration.
  • Participants reference a formula for the area under parametric curves, indicating that the relationship between the two displacements does not need to be direct as long as both depend on time.

Areas of Agreement / Disagreement

Participants express differing views on the validity of using (dt/dt) in the integration process and whether the vertical and horizontal displacements can be treated independently. The discussion remains unresolved regarding the teacher's concerns and the justification of the proposed method.

Contextual Notes

There are limitations regarding the assumptions about the relationship between vertical and horizontal displacements, as well as the interpretation of the notation used in the integration process. The discussion does not resolve these issues.

Vedant97
Messages
2
Reaction score
0
I am trying to calculate the area under the curve of a projectile for a school project.
A simple way to do this is to integrate the following equation of the trajectory:

View attachment 3263

However I've tried to use another method. Since we have the two equations for the horizontal and vertical displacements (respectively):

View attachment 3264

View attachment 3265

As it can be seen from the above graph, we can integrate Sy with respect to Sx to get the area under the curve. However since Sy and Sx themselves are in terms of 't' (other variables are considered constant), we multiply them by (dt/dt) which will give us:

View attachment 3266

(where Tt is the time when the projectile hits the ground)

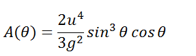
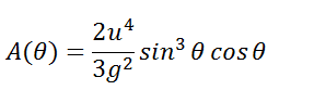
Both methods ultimately simplify to give the equation:
View attachment 3267However, my teacher says that my method of multiplying the (dt/dt) is 'mathematically incorrect' even though both give the same results. But I believe that what I have done is correct. Can anyone help me come up with a justification as to why this is mathematically correct?
 

Attachments

  • Screenshot 2014-09-21 01.47.10.png
    Screenshot 2014-09-21 01.47.10.png
    2 KB · Views: 158
  • Screenshot 2014-09-21 01.48.27.png
    Screenshot 2014-09-21 01.48.27.png
    1 KB · Views: 132
  • projectile1.gif
    projectile1.gif
    3.3 KB · Views: 140
  • Screenshot 2014-09-21 01.53.33.png
    Screenshot 2014-09-21 01.53.33.png
    1.8 KB · Views: 147
  • Screenshot 2014-09-21 01.55.52.png
    Screenshot 2014-09-21 01.55.52.png
    1.2 KB · Views: 149
Physics news on Phys.org
Vedant97 said:
I am trying to calculate the area under the curve of a projectile for a school project.
A simple way to do this is to integrate the following equation of the trajectory:

https://www.physicsforums.com/attachments/3263

However I've tried to use another method. Since we have the two equations for the horizontal and vertical displacements (respectively):

View attachment 3264

View attachment 3265

As it can be seen from the above graph, we can integrate Sy with respect to Sx to get the area under the curve. However since Sy and Sx themselves are in terms of 't' (other variables are considered constant), we multiply them by (dt/dt) which will give us:

View attachment 3266

(where Tt is the time when the projectile hits the ground)

Both methods ultimately simplify to give the equation:
View attachment 3267However, my teacher says that my method of multiplying the (dt/dt) is 'mathematically incorrect' even though both give the same results. But I believe that what I have done is correct. Can anyone help me come up with a justification as to why this is mathematically correct?

Actually, $$\frac{dt}{dt}$$, the $t$-derivative of $t$, is equal to one. So it makes sense mathematically. Based on your argument, I suspect that your teacher thought you were treating $$\frac{dt}{dt}$$ as a fraction, not a derivative. In that case, your method is mathematically incorrect. To avoid confusion, remove the expression

$$\int_0^{t_T} S_y \cdot dS_x \cdot \frac{dt}{dt}\, dt$$

and argue carefully by substitution that the area of under your curve is

$$\int_0^{t_T} S_y \cdot \frac{dS_x}{dt}\, dt$$.

Then you can proceed with the calculation.

Here is a link that covers a method for computing areas of parametric curves.

Pauls Online Notes : Calculus II - Area with Parametric Equations
 
That notation of $\frac{dy}{dx}$ is very misleading in that it is not really a fraction, but it is very convenient notation for things like differential equation that you can separate out the variables.

However, it is not something you need in your work. If $S_x = ut \cos a$ where $u$ and $a$ are constants, then since you are integrating against $t$,
$dS_x = d(ut\cos a) = u\cos a \cdot dt$. You get a $dt$ just out of that expression without introducing another $\frac{dt}{dt}$ into the work.
 
magneto said:
That notation of $\frac{dy}{dx}$ is very misleading in that it is not really a fraction, but it is very convenient notation for things like differential equation that you can separate out the variables.

However, it is not something you need in your work. If $S_x = ut \cos a$ where $u$ and $a$ are constants, then since you are integrating against $t$,
$dS_x = d(ut\cos a) = u\cos a \cdot dt$. You get a $dt$ just out of that expression without introducing another $\frac{dt}{dt}$ into the work.

Thanks for the reply.
Okay I could show that. But the main problem is that she says this cannot be done since Sy is not in terms of or related to Sx.
How can I justify my method?
 
What did your teach say cannot be done? the multiplication of $\frac{dt}{dt}$? Or that you are not allowed to use the parametric equation formula?

If you see the link provided by Euge, you see that given the parametric equations $x = f(t)$ and $y= g(t)$, the area under the curve is given by:
\[
A = \int_a^b g(t) f'(t) dt,
\]
where $a,b$ are appropriate bound. The formula is sound even when $f$ and $g$ are not related other than the fact they both depends on $t$.
 

Similar threads

  • · Replies 2 ·
Replies
2
Views
4K
  • · Replies 11 ·
Replies
11
Views
2K
  • · Replies 3 ·
Replies
3
Views
3K
  • · Replies 5 ·
Replies
5
Views
4K
  • · Replies 2 ·
Replies
2
Views
2K
  • · Replies 8 ·
Replies
8
Views
2K
  • · Replies 3 ·
Replies
3
Views
2K
  • · Replies 2 ·
Replies
2
Views
2K
  • · Replies 2 ·
Replies
2
Views
1K
  • · Replies 7 ·
Replies
7
Views
2K