Areas of Surfaces of Revolution

Click For Summary

Homework Help Overview

The discussion revolves around finding the area of the surface generated by revolving the curve y=√(x+1) from x=1 to x=5 about the x-axis. Participants are exploring the mathematical reasoning and algebraic manipulations involved in applying the surface area formula.

Discussion Character

  • Mathematical reasoning, Problem interpretation, Assumption checking

Approaches and Questions Raised

  • Participants discuss the use of substitution and algebraic manipulation in the context of the surface area formula. Questions arise regarding the consistency of notation, particularly the use of dy/dx versus dx/dy. There is also confusion about specific algebraic steps and simplifications, particularly involving square roots.

Discussion Status

Several participants are actively engaging with the problem, questioning each other's algebraic steps and clarifying notation. There is an acknowledgment of potential algebra mistakes and a shared uncertainty about the correctness of external resources. Guidance has been offered regarding the use of LaTeX for clearer communication.

Contextual Notes

Participants note the importance of accurately representing the function and its derivatives, as well as the challenges posed by algebraic simplifications. There is a recognition of the original problem's constraints and the need for careful manipulation of terms.

Jarvis88
Messages
14
Reaction score
0

Homework Statement


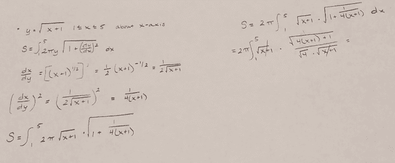
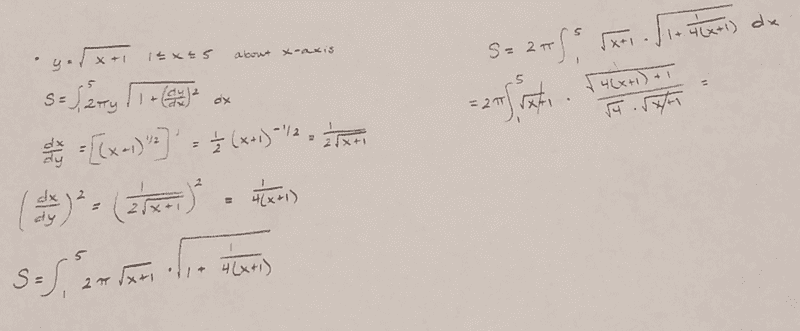
Find the area of the surface generated by revolving the curve y=√x+1, 1≤ x ≤5, about the x-axis.

I'm stuck trying to figure out how I can use substitution...if I am even able. I was trying to rewrite 1 as 4(x+1)/4(x+1) but still can't seem to get the right terms to cancel to allow me to continue further.

Homework Equations


S= ∫ 51 2πy (√1+(dydx)2) dx

3. The Attempt at a Solution

upload_2017-1-22_20-12-22.png
 
Physics news on Phys.org
Jarvis88 said:

Homework Statement


Find the area of the surface generated by revolving the curve y=√x+1, 1≤ x ≤5, about the x-axis.

I'm stuck trying to figure out how I can use substitution...if I am even able. I was trying to rewrite 1 as 4(x+1)/4(x+1) but still can't seem to get the right terms to cancel to allow me to continue further.

Homework Equations


S= ∫ 51 2πy (√1+(dydx)2) dx

3. The Attempt at a Solution

View attachment 111983
I am puzzled by what you did in the 3rd line. In the line above that you have dy/dx, but then switched in the 3rd line to dx/dy. Why?
 
I'm sorry, I was doing a problem previous to this one where it was dx/dy. I meant to use dy/dx throughout the problem.
 
20170122_210605.png


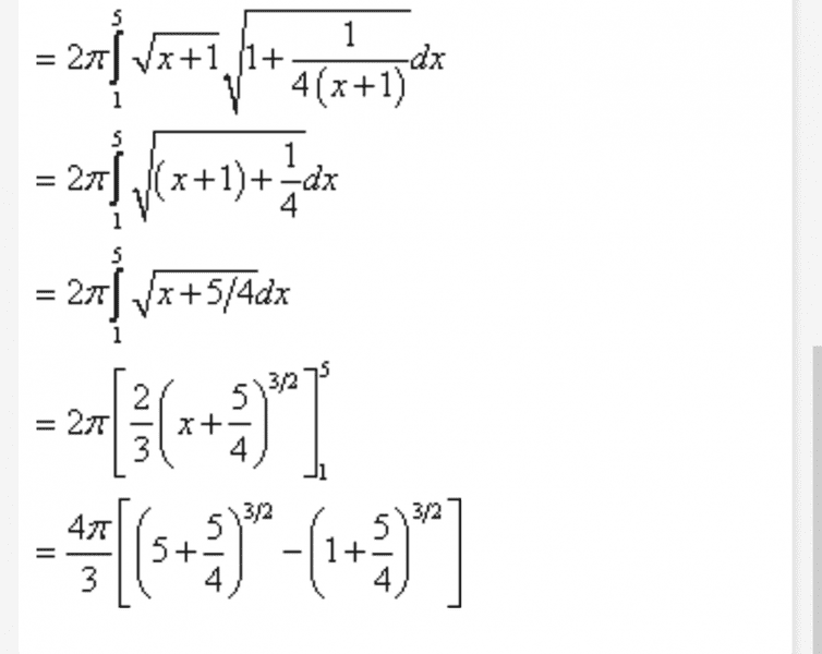
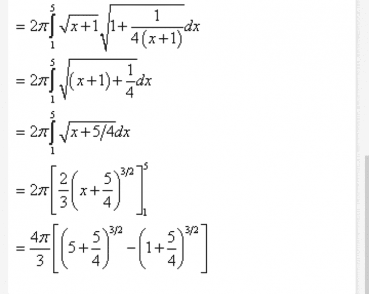
If it helps, this is the answer I found on Chegg.com. However, I don't understand how they got from the 1st step to the 2nd step. I've tried it a few different ways and have yet to end up with what they have. I also don't fully trust sites like that as they are not always correct.
 
Jarvis88 said:
View attachment 111989

If it helps, this is the answer I found on Chegg.com. However, I don't understand how they got from the 1st step to the 2nd step.
They use ## \sqrt a \sqrt b = \sqrt{ab}##.
 
Ok. I'm getting tired so maybe I've made a silly algebra error somewhere, but I'm getting crazy numbers. I must not be doing an algebra manipulation correctly, but I can't seem to figure out where I've gone wrong in my simplification of the square root.
LCKurtz said:
They use ## \sqrt a \sqrt b = \sqrt{ab}##.
\
20170122_223909.jpg
 
You have an algebra mistake at the end of the 2nd line on the right half of your work.

##2\pi \int_1^5\frac{\sqrt{4(x + 1) + 1}}{2}dx##
You canceled the 4 in the radical with the 2 in the denominator, leaving a factor of 2 in the radical. This is actually two mistakes.
1) ##\frac{ab + c}{a} \ne b + c## That's essentially what you did.
2) ##\frac{\sqrt{4}} 2 \ne \sqrt{2}##

BTW, your problem description threw me off:
Jarvis88 said:
Find the area of the surface generated by revolving the curve y=√x+1, 1≤ x ≤5, about the x-axis.
From your work, the function apparently is ##f(x) = \sqrt{x + 1}##. In linear form, without LaTeX, what you should have written is f(x) = √(x + 1).
 
Mark44 said:
BTW, your problem description threw me off:

From your work, the function apparently is ##f(x) = \sqrt{x + 1}##. In linear form, without LaTeX, what you should have written is f(x) = √(x + 1).

Honestly, I'm pretty new to all this so I'm not familiar with how to use LaTeX properly. In the problem description I was quoting the description verbatim from my assignment. Thank you for the help! I don't know how I made those silly algebra errors...
 
Jarvis88 said:
Honestly, I'm pretty new to all this so I'm not familiar with how to use LaTeX properly.
See our tutorial -- https://www.physicsforums.com/help/latexhelp/.

Everything you did on paper can be done using LaTeX. We prefer that members post their work directly here rather than as pasted images, as it makes it easier for helpers to identify exactly where errors are made. Also, many of the images that get posted are of poor quality and hard to read. Yours were easy to read, though.
 
  • Like
Likes   Reactions: Jarvis88
  • #10
Mark44 said:
See our tutorial -- https://www.physicsforums.com/help/latexhelp/.

Everything you did on paper can be done using LaTeX. We prefer that members post their work directly here rather than as pasted images, as it makes it easier for helpers to identify exactly where errors are made. Also, many of the images that get posted are of poor quality and hard to read. Yours were easy to read, though.

Thank you! Will do!
 

Similar threads

Replies
4
Views
3K
Replies
1
Views
2K
  • · Replies 1 ·
Replies
1
Views
2K
  • · Replies 1 ·
Replies
1
Views
2K
Replies
11
Views
3K
  • · Replies 3 ·
Replies
3
Views
2K
  • · Replies 4 ·
Replies
4
Views
2K
  • · Replies 21 ·
Replies
21
Views
3K
Replies
5
Views
2K
  • · Replies 3 ·
Replies
3
Views
3K