Beam Expansion: Distance between 2 lenses in a Keplerian beam expander

Click For Summary
SUMMARY

The discussion focuses on the calculation of the optimal distance between two lenses in a Keplerian beam expander, as outlined in the "Fundamentals of Photonics" textbook. The participant identifies that the position of the first lens, denoted as z1, must equal its focal length f1. They attempt to derive the relationship between z2 and the output distance z' using two equations but encounter confusion regarding the maximization of z'. The conclusion drawn is that z' does not reach a maximum, leading to further inquiries about the underlying principles.

PREREQUISITES
  • Understanding of lens optics, specifically focal lengths and distances.
  • Familiarity with the concepts of beam expanders and their configurations.
  • Knowledge of calculus, particularly differentiation techniques.
  • Proficiency in using equations related to optical systems.
NEXT STEPS
  • Study the principles of Keplerian beam expanders and their optical configurations.
  • Review the derivation of lens equations in optics, focusing on the thin lens formula.
  • Learn about the conditions for maximizing optical output in lens systems.
  • Explore advanced topics in optics, such as Gaussian beam propagation and its applications.
USEFUL FOR

Optical engineers, physicists, and students studying photonics or optical systems who are looking to deepen their understanding of lens configurations and beam expansion techniques.

tanhanhbi
Messages
9
Reaction score
3
Homework Statement
Determine the optical distance d between the lenses such that the distance z′ to the waist of the final beam is as large as possible.
Relevant Equations
Gaussian beam
1694753568777.png

Basically this is the Exercise In Fundamentals of Photonics book.
We also need to use these two equation (1) and (2)
1694757157317.png

As we all know, in order to make the z' as far as possible, we must place 2 lens with this distance
1694754359557.png

I already figure that thank to the initial condition of the first lens position
1694754562581.png

So that the z1 must equal to f1
1694754616697.png

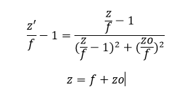
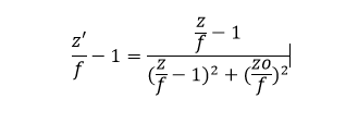
For the z2, I tried to replace zo in (2) onto (1), then take the derivative of z' with respect to z2. My initial though that let the derivative of z' equal to 0, we can find the maximal of z'. But actually after finish the derivative thing, z' do not have maximal and I already always infinity ?
1694757110830.png

So I am not sure what wrong with my thinking. If someone could give me a clue, I really appreciate it.
 

Attachments

  • 1694754075958.png
    1694754075958.png
    3.2 KB · Views: 114
  • 1694754132747.png
    1694754132747.png
    3.9 KB · Views: 135

Similar threads

  • · Replies 6 ·
Replies
6
Views
2K
  • · Replies 1 ·
Replies
1
Views
3K
  • · Replies 5 ·
Replies
5
Views
2K
  • · Replies 54 ·
2
Replies
54
Views
7K
  • · Replies 11 ·
Replies
11
Views
2K
  • · Replies 1 ·
Replies
1
Views
4K
  • · Replies 7 ·
Replies
7
Views
2K
  • · Replies 41 ·
2
Replies
41
Views
8K
Replies
21
Views
5K
  • · Replies 175 ·
6
Replies
175
Views
28K