Can somebody check assignment before I submit (maths)

  • Context: Engineering 
  • Thread starter Thread starter lee123456789
  • Start date Start date
  • Tags Tags
    Assignment
Click For Summary

Discussion Overview

The discussion revolves around a participant seeking feedback on their mathematics assignment before submission. The scope includes reviewing specific problems, checking calculations, and ensuring clarity in presentation.

Discussion Character

  • Homework-related
  • Technical explanation

Main Points Raised

  • A participant requests help with their assignment but provides unclear information, prompting suggestions for clearer presentation methods.
  • Another participant acknowledges improvements in the clarity of the work and offers to review it.
  • Some participants confirm that the first three problems appear correct, while advising on limiting the number of questions per thread for better tracking.
  • One participant points out a specific numerical error in the calculation for problem 2 b), noting that 450/1700 does not equal 0.0293.
  • Feedback is given regarding the presentation of square root symbols in problem T4 d), indicating a need for careful notation.
  • A participant expresses gratitude for the feedback and seeks confirmation on whether the only issues were related to the square root notation and a specific numerical value.

Areas of Agreement / Disagreement

Participants generally agree on the need for clearer presentation and provide feedback on specific problems, but there are unresolved issues regarding the correctness of the calculations and notation.

Contextual Notes

Some assumptions about the clarity of the assignment and the specific mathematical steps involved remain unaddressed, leading to potential misunderstandings in the feedback provided.

lee123456789
Messages
90
Reaction score
5
Homework Statement
Not sure what to put
Relevant Equations
fsd
Hi
Can somebody check my assignment
I did it just need check before submitting

1602611970233.png

1602612023058.png

1602612098183.png
1602612051308.png
 

Attachments

  • 1602606929593.png
    1602606929593.png
    1.2 KB · Views: 199
  • 1602606935077.png
    1602606935077.png
    1.2 KB · Views: 185
  • 1602607280971.png
    1602607280971.png
    3.2 KB · Views: 192
  • 1602607872401.png
    1602607872401.png
    4 KB · Views: 193
  • 1602608106116.png
    1602608106116.png
    7.2 KB · Views: 195
Physics news on Phys.org
lee123456789 said:
Homework Statement:: Not sure what to put
Relevant Equations:: fsd

Hi
Can somebody check my assignment
I did it just need check before submitting

View attachment 270886
View attachment 270887
View attachment 270889View attachment 270888
I'd like to help, but wow that's really hard to read. Can you use a Snipping Tool to just take screenshots of the work, not including the overall display window stuff? At least that would be easier to read. Thanks.
 
  • Like
Likes   Reactions: Vanadium 50
berkeman said:
I'd like to help, but wow that's really hard to read. Can you use a Snipping Tool to just take screenshots of the work, not including the overall display window stuff? At least that would be easier to read. Thanks.
1602614111367.png

1602614128126.png

1602614141029.png

1602614155406.png
 
That's a lot better, thanks! I'll have a look at it in a few minutes if nobody else beats me to it.
 
First three look fine: 2 b), T2a and T2b.
I didn't check the others.

In the future, please post no more than two questions in a thread. With so many questions in a thread, it's hard for people to keep track of what has already been responded to.
 
  • Like
Likes   Reactions: berkeman
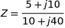
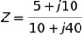
Your work for 2 b) is correct until the final numerical value. Note that 450/1700 is not equal to .0293 for example.
 
  • Like
Likes   Reactions: berkeman
Most of the rest looks good too. Note that in T4 d) the square root symbol overbar extends over the result as well. You got the right result, but be careful about ending the square root overbar on the LHS:

1602680716235.png


And there is a similar problem in B), but it's worse and I lost synch with what you were trying to do:

1602680803555.png
 
berkeman said:
Most of the rest looks good too. Note that in T4 d) the square root symbol overbar extends over the result as well. You got the right result, but be careful about ending the square root overbar on the LHS:

View attachment 270941

And there is a similar problem in B), but it's worse and I lost synch with what you were trying to do:

View attachment 270942
Hi
thanks for the help. was worrying for awhile.
First time using the software so may handwrite it next time.
sorry can i just check i got it right but the root sign extention was the only wrong thing?
and the J400/1700, which is 0.235 not 0.39 something
 

Similar threads

  • · Replies 1 ·
Replies
1
Views
1K
  • · Replies 7 ·
Replies
7
Views
2K
Replies
3
Views
2K
  • · Replies 18 ·
Replies
18
Views
4K
  • · Replies 2 ·
Replies
2
Views
2K
  • · Replies 8 ·
Replies
8
Views
4K
  • · Replies 2 ·
Replies
2
Views
2K
  • · Replies 2 ·
Replies
2
Views
1K
  • · Replies 6 ·
Replies
6
Views
4K
  • · Replies 5 ·
Replies
5
Views
3K