Checking My Work: Tips for Finding Limits

  • Context: High School 
  • Thread starter Thread starter MikeX47
  • Start date Start date
  • Tags Tags
    Limit
MikeX47
Messages
2
Reaction score
0
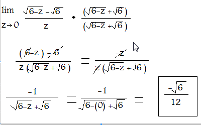
I'm not sure I did this right. Someone please check me.

ScreenHunter_01Sep_2321_05.gif
 
Physics news on Phys.org
That works.
 

Similar threads

  • · Replies 9 ·
Replies
9
Views
3K
  • · Replies 2 ·
Replies
2
Views
4K
  • · Replies 8 ·
Replies
8
Views
4K
  • · Replies 2 ·
Replies
2
Views
3K
  • · Replies 13 ·
Replies
13
Views
3K
  • · Replies 1 ·
Replies
1
Views
2K
  • · Replies 2 ·
Replies
2
Views
3K
  • · Replies 53 ·
2
Replies
53
Views
7K
  • · Replies 5 ·
Replies
5
Views
2K
Replies
4
Views
2K