Complex Analysis Radius of Convergence.

Click For Summary

Discussion Overview

The discussion revolves around the concept of the radius of convergence in complex analysis, specifically addressing questions about the behavior of series at the boundary of convergence and the conditions for convergence. Participants explore the implications of certain mathematical definitions and proofs related to convergence.

Discussion Character

  • Exploratory
  • Technical explanation
  • Debate/contested
  • Mathematical reasoning

Main Points Raised

  • One participant questions how to handle the interval (R-eps, R) in the context of radius of convergence.
  • Another participant suggests that since ε is chosen to be arbitrarily small, the specific interval may not be a concern.
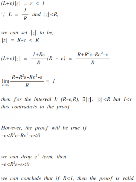
  • A participant expresses confusion over a derivation involving (L+eps)|Z|<1, arguing that if |Z|= R-eps, then the condition cannot hold true for all |Z|
  • Some participants acknowledge potential mistakes in their reasoning, indicating uncertainty about the implications of their arguments.
  • There is a repeated emphasis on the idea that ε > 0 is arbitrarily small, which may lead to the interval of concern shrinking to nothing.
  • Several participants express uncertainty about what exactly needs to be proven in the context of the theorem being discussed.

Areas of Agreement / Disagreement

Participants do not reach a consensus on the handling of the interval (R-eps, R) or the necessity of the conditions for convergence. Multiple competing views and uncertainties remain regarding the implications of their arguments and the theorem in question.

Contextual Notes

There are unresolved mathematical steps and assumptions regarding the definitions of convergence and the implications of the ε parameter. The discussion reflects a lack of clarity on the necessary conditions for convergence and the specific theorem being referenced.

kidsasd987
Messages
142
Reaction score
4
Hello, I have two questions regarding the Radius of convergence.

1. What should we do at the interval (R-eps, R)
2. It used definition to prove radius of convergence, but I am not sure if it is necessary-sufficient condition of convergence. I get that this can be a sufficient condition but not sure of the necessity
 

Attachments

  • 스크린샷 2016-06-21 오후 4.01.05.png
    스크린샷 2016-06-21 오후 4.01.05.png
    79.1 KB · Views: 684
  • RadiusOfConv.png
    RadiusOfConv.png
    12.8 KB · Views: 929
Physics news on Phys.org
If I understand the question, this may help -- The ε was picked arbitrarily small so the proof shows convergence all the way to ε = 0. So there really is no specific interval (R-ε, R) to worry about.
 
kidsasd987 said:
what I am concerend about is,
hm the author used (L+eps)|Z|<1 to argue that L^n*|Z|^n < (L+eps)^n|Z|^n < r^n whereas r<1

but the thing is as I showed at the uploaded png file (if the derivation is correct), it is clear that |Z|= R-eps satisfies the condition |Z| < R and if |Z|= R-eps, r = 1.

which implies (L+eps)|Z|<1 cannot be true. for all |Z|<R
Ah, also I made a mistake. It should be R+R^2*eps-eps-R*eps^2
hmm do you agree?
 
Last edited:
FactChecker said:
If I understand the question, this may help -- The ε was picked arbitrarily small so the proof shows convergence all the way to ε = 0. So there really is no specific interval (R-ε, R) to worry about.
maybe I screwed up at somewhere.
 

Attachments

  • RadiusOfConvergence.png
    RadiusOfConvergence.png
    36.6 KB · Views: 769
kidsasd987 said:
maybe I screwed up at somewhere.
Maybe not. But the point is that ε >0 is arbitrarily small (or r is arbitrarily near 1) so the the interval you are worried about shrinks down to nothing.
 
FactChecker said:
Maybe not. But the point is that ε >0 is arbitrarily small (or r is arbitrarily near 1) so the the interval you are worried about shrinks down to nothing.

Although we ignore the interval, the argument that (L+eps)|Z|<1 does not hold true if we take |Z| = R - eps. (I guess) It just bugs me and I am stuck at that page ;(

and my last conclusion R<1 doesn't seem right at all too.
 
It isn't clear to me what is to be proven. We've only been shown the last part of the text that states "the theorem".
 
Stephen Tashi said:
It isn't clear to me what is to be proven. We've only been shown the last part of the text that states "the theorem".

I am sorry.
 

Attachments

  • 스크린샷 2016-06-23 오후 1.03.35.png
    스크린샷 2016-06-23 오후 1.03.35.png
    54.5 KB · Views: 629

Similar threads

  • · Replies 22 ·
Replies
22
Views
6K
  • · Replies 17 ·
Replies
17
Views
2K
  • · Replies 1 ·
Replies
1
Views
3K
  • · Replies 2 ·
Replies
2
Views
3K
  • · Replies 2 ·
Replies
2
Views
3K
  • · Replies 2 ·
Replies
2
Views
3K
  • · Replies 4 ·
Replies
4
Views
2K
  • · Replies 1 ·
Replies
1
Views
3K
  • · Replies 3 ·
Replies
3
Views
4K
  • · Replies 3 ·
Replies
3
Views
3K