Complex Solutions to Oscillations

Click For Summary

Homework Help Overview

The discussion revolves around solving a problem related to complex solutions in oscillations, specifically focusing on the manipulation of equations and trial solutions in the context of differential equations.

Discussion Character

  • Exploratory, Assumption checking, Problem interpretation

Approaches and Questions Raised

  • The original poster attempts to differentiate equations and manipulate them to fit a specific form but encounters difficulties with first-order terms. They also explore a trial solution and seek guidance on their approach.

Discussion Status

Participants are actively engaging with the original poster's attempts, requesting more detailed descriptions of their work to better understand where issues may lie. There is a recognition of errors in previous attempts, and a willingness to revisit the problem has been expressed.

Contextual Notes

There is an emphasis on providing clear attempts and avoiding vague descriptions, which suggests a focus on detailed problem-solving processes. The original poster mentions being on public transport, indicating potential constraints on their ability to share detailed work immediately.

WWCY
Messages
476
Reaction score
15

Homework Statement


Screen Shot 2017-09-10 at 12.23.03 AM.png
Screen Shot 2017-09-10 at 12.22.55 AM.png


Homework Equations

The Attempt at a Solution


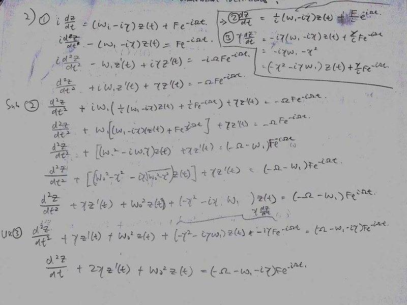
I tried differentiating both sides of 3 and re-arranging it such that it started to look like equation 2, however i got stuck with 2 first order terms z' and couldn't find a way to manipulate it into a function z.

I then tried using a trial solution provided: z(t) = e-iΩt and differentiating it according to what I derived above, before again, trying to rearrange them such that they would fit equation 2 had I subbed the trial solution into 2. I got stuck in both situations.

Any pointers and direction would be greatly appreciated
 
Physics news on Phys.org
Please show us your actual attempt instead of vaguely describing it. If you do not show us what you got, we can only guess where you went wrong.
 
WWCY said:
i got stuck with 2 first order terms z'
So reuse eqn 3.
 
haruspex said:
So reuse eqn 3.

I gave it a shot, does this look right?

21584608_10212603397174305_1475893820_n.jpg


If this is unreadable I'll upload an image of better quality later as I am on public transport right now, apologies!

Orodruin said:
Please show us your actual attempt instead of vaguely describing it. If you do not show us what you got, we can only guess where you went wrong.

I made a ridiculous error in my previous solution, i'll do up another one using the same line of reasoning and upload it to see where I went wrong.

Thank you both for the help.
 

Similar threads

Replies
9
Views
2K
  • · Replies 2 ·
Replies
2
Views
3K
  • · Replies 7 ·
Replies
7
Views
2K
Replies
7
Views
1K
Replies
3
Views
2K
  • · Replies 3 ·
Replies
3
Views
1K
  • · Replies 11 ·
Replies
11
Views
2K
  • · Replies 3 ·
Replies
3
Views
2K
  • · Replies 12 ·
Replies
12
Views
2K
  • · Replies 2 ·
Replies
2
Views
3K