Conical pendulum: what are the tension and the angle?

Click For Summary

Homework Help Overview

The discussion revolves around a conical pendulum problem involving a rock being whirled in a horizontal circle. Participants are examining the tension in the string and the angle of the pendulum, given specific parameters such as mass, string length, and speed.

Discussion Character

  • Exploratory, Assumption checking, Conceptual clarification

Approaches and Questions Raised

  • Participants are questioning whether the provided information is sufficient to solve the problem, with some expressing doubts about the clarity of the question. There are discussions about maintaining algebraic forms versus plugging in numbers, and inquiries into the relationships between trigonometric functions.

Discussion Status

The discussion is active, with participants exploring the adequacy of the information given in the problem. Some have offered guidance on maintaining algebraic expressions, while others are questioning the assumptions made about the problem's solvability.

Contextual Notes

There are concerns about the potential ambiguity in the problem statement, as participants note that similar questions in the textbook typically require straightforward calculations. The nature of the conical pendulum setup and the specific relationships between the variables are under scrutiny.

pkc111
Messages
224
Reaction score
26
Homework Statement
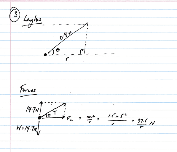
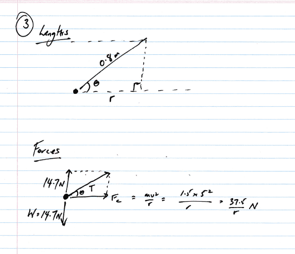
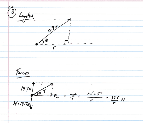
A rock with a mass 1.5 kg is being whirled in a horizontal circle on a string 0.8 m long. The speed of the rock is a constant 5 m/s. Find the magnitude and direction of the tension in the string.
COMMENT: There seems to be too many unknowns here.
Relevant Equations
Fc = mv2/r
W = mg
1585533320043.png
1585533348673.png
 
Physics news on Phys.org
pkc111 said:
Homework Statement:: A rock with a mass 1.5 kg is being whirled in a horizontal circle on a string 0.8 m long. The speed of the rock is a constant 5 m/s. Find the magnitude and direction of the tension in the string.
COMMENT: There seems to be too many unknowns here.
Relevant Equations:: Fc = mv2/r
W = mg

View attachment 259616View attachment 259617
So what is cos2(θ) in terms of sin(θ)?

By the way, it is far better style to keep everything algebraic. Don't plug in numbers until the end. For one thing, more people will take the trouble to check your work.
 
Thank you for your reply.
Are you saying that this question is solvable with the information provided in the question?
 
Cos my gut feeling is the question is wrongly written ..as every other question in this high school physics textbook chapter needs only very straightforward maths...Is someone able to say whether the information is enough to define a specific conic pendulum case which is solvable?
 
pkc111 said:
Thank you for your reply.
Are you saying that this question is solvable with the information provided in the question?
In your last equation in post #1 there is only one unknown, so it should be solvable.
I repeat, what equation relates sin to cos (and involves no other trig function)?
 

Similar threads

  • · Replies 3 ·
Replies
3
Views
3K
  • · Replies 20 ·
Replies
20
Views
2K
Replies
5
Views
1K
  • · Replies 15 ·
Replies
15
Views
2K
  • · Replies 4 ·
Replies
4
Views
1K
  • · Replies 1 ·
Replies
1
Views
2K
  • · Replies 9 ·
Replies
9
Views
3K
  • · Replies 2 ·
Replies
2
Views
1K
  • · Replies 2 ·
Replies
2
Views
1K
  • · Replies 28 ·
Replies
28
Views
3K