Control Theory State-Space method with derivative input

Click For Summary
SUMMARY

The discussion focuses on the application of the state-space method in control theory, specifically addressing differential equations with and without derivative inputs. It references Ogata's "Modern Control Engineering" and illustrates the formulation of state variables for equations such as x'(t) + x(t) = u(t) and x'(t) + x(t) = u(t) + u'(t). The conversation also touches on the challenges of deriving output equations when dealing with higher-order derivatives, emphasizing the need for careful representation of state variables in the context of transfer functions.

PREREQUISITES
  • Understanding of state-space representation in control theory
  • Familiarity with differential equations and transfer functions
  • Knowledge of Ogata's Modern Control Engineering concepts
  • Basic grasp of canonical forms in control systems
NEXT STEPS
  • Study the derivation of state variables from higher-order differential equations
  • Explore the implications of transfer function orders in state-space modeling
  • Learn about canonical forms and their applications in control systems
  • Investigate the relationship between state-space models and output equations
USEFUL FOR

Control engineers, students of control theory, and researchers interested in advanced state-space methods and their applications in system modeling.

Chacabucogod
Messages
56
Reaction score
0
Hi,

I'm reading Ogata's Modern Control Engineering, and when he talks about the representation of a differential equation in state space he divides the method in two. The first one is when the input of the differential equation involves no derivative term, for example:

x'(t)+x(t)=u(t)

The next step is doing it with a differential equation that has inputs that have derivatives. For example:

x'(t)+x(t)=u(t)+u'(t)

He then mention that the state varibles will be

x1=y-β0u
x2=y'-β1u-β0u' and so on...

I've tried finding a reason for this and the nearest I've come is the following PDF, which has errors:

http://www.ece.rutgers.edu/~gajic/psfiles/canonicalforms.pdf

Anybody got an idea how that can be derived?
 
Engineering news on Phys.org
note: this is not mine...
http://lpsa.swarthmore.edu/Representations/SysRepTransformations/TF2SS.html

Consider the third order differential transfer function:

img7D.gif


We start by multiplying by Z(s)/Z(s) and then solving for Y(s) and U(s) in terms of Z(s). We also convert back to a differential equation.

img58.gif


We can now choose z and its first two derivatives as our state variables

img5C.gif


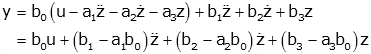
Now we just need to form the output

img89.gif


Unfortunately, the third derivative of z is not a state variable or an input, so this is not a valid output equation. However, we can represent the term as a sum of state variables and outputs:

img8A.gif


and

img8C1.gif


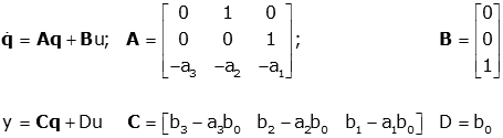
From these results we can easily form the state space model:

img8E.gif


In this case, the order of the numerator of the transfer function was less than that of the denominator. If they are equal, the process is somewhat more complex.
 
Last edited by a moderator:

Similar threads

Replies
1
Views
2K
  • · Replies 12 ·
Replies
12
Views
4K
  • · Replies 3 ·
Replies
3
Views
3K
  • · Replies 4 ·
Replies
4
Views
5K
  • · Replies 3 ·
Replies
3
Views
3K
Replies
4
Views
5K
  • · Replies 21 ·
Replies
21
Views
15K
Replies
1
Views
2K
  • · Replies 17 ·
Replies
17
Views
5K