Cts approximation, delta function integration, stat mech

Click For Summary
SUMMARY

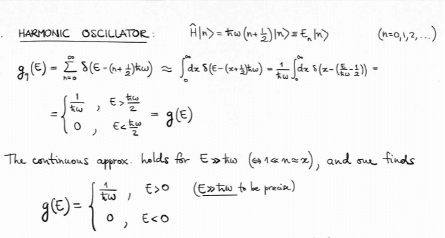
The discussion centers on the application of the delta function in the context of continuous approximation and integration in statistical mechanics. The key equation derived is the approximation of the sum involving the delta function, leading to the conclusion that the integral evaluates to \(\frac{1}{\bar{h}\omega}\) if \(E > \frac{1}{2}\bar{h}\omega\) and 0 otherwise. The confusion arises regarding the transition from the conditions on \(x'\) to inequalities on \(E\), which is clarified through the properties of the delta function. The final interpretation emphasizes the importance of understanding the delta function's role in defining the limits of integration.

PREREQUISITES
  • Understanding of delta function properties in integration
  • Familiarity with continuous approximation techniques
  • Knowledge of statistical mechanics concepts
  • Basic calculus, particularly integration techniques
NEXT STEPS
  • Study the properties of the delta function in detail
  • Explore continuous approximation methods in statistical mechanics
  • Learn about the implications of the delta function in quantum mechanics
  • Investigate the role of \(\bar{h}\) (reduced Planck's constant) in quantum systems
USEFUL FOR

Students and researchers in physics, particularly those focusing on statistical mechanics and quantum mechanics, as well as anyone seeking to deepen their understanding of delta function applications in integrals.

binbagsss
Messages
1,291
Reaction score
12

Homework Statement



g(E) question.png


Homework Equations

The Attempt at a Solution



So cts approx holds because ##\frac{E}{\bar{h}\omega}>>1##

So
##\sum\limits^{\infty}_{n=0}\delta(E-(n+1/2)\bar{h} \omega) \approx \int\limits^{\infty}_{0} dx \delta(E-(x+1/2)\bar{h}\omega) ##

Now if I do a substitution ##x'=x\bar{h}\omega## to loose the ##\bar{h}\omega## multiplying the ##x## , ##dx'=\bar{h}\omega dx##

I get
## dx' \frac{1}{\bar{h}\omega}\int\limits^{\infty}_{0}\delta(x'-(E-\frac{1}{2}\bar{h}\omega)) ##

Now, if I denote the region that ##x'## is integrated over by ##D## I get that this is:
##= \frac{1}{\bar{h}\omega} ## if ##x'=E-1/2\bar{h}\omega \in D##
##= 0 ## if ##x'=E-1/2\bar{h}\omega \notin D##

The solution however has:

gE sol.png


##= \frac{1}{\bar{h}\omega} ## if ##E>1/2\bar{h}\omega ##
##= 0 ## if ##E<1/2\bar{h}\omega ##

Excuse me if I'm being stupid but I have no idea how we have converted the requirements of a certain value of ##x'## to lie inside the region of integration or not, which I believe is the definition of the delta function, to inequalities imposed on ##E##?


Many thanks in advance
 
Physics news on Phys.org
binbagsss said:
## dx' \frac{1}{\bar{h}\omega}\int\limits^{\infty}_{0}\delta(x'-(E-\frac{1}{2}\bar{h}\omega)) ##

Don't you mean for [itex]dx'[/itex] to be inside the integral? If so, you're basically done. For any [itex]x_0[/itex],

[itex]\int_0^{\infty} \delta(x' - x_0) dx' = 0[/itex] if [itex]x_0 < 0[/itex]
[itex]\int_0^{\infty} \delta(x' - x_0) dx' = 1[/itex] if [itex]x_0 >0[/itex]

So we have the particular case [itex]x_0 = E-\frac{1}{2}\bar{h}\omega[/itex]
 
  • Like
Likes   Reactions: binbagsss

Similar threads

Replies
1
Views
3K
  • · Replies 2 ·
Replies
2
Views
1K
  • · Replies 3 ·
Replies
3
Views
3K
  • · Replies 3 ·
Replies
3
Views
2K
  • · Replies 3 ·
Replies
3
Views
2K
  • · Replies 2 ·
Replies
2
Views
4K
  • · Replies 1 ·
Replies
1
Views
2K
  • · Replies 7 ·
Replies
7
Views
2K
Replies
2
Views
2K
  • · Replies 2 ·
Replies
2
Views
2K