D'Alembert's principle on a pulley system

Click For Summary

Homework Help Overview

The discussion revolves around applying D'Alembert's principle to analyze a pulley system, comparing results obtained through Newton's equations and D'Alembert's approach. The original poster expresses confusion over discrepancies in acceleration calculations for one of the masses.

Discussion Character

  • Exploratory, Assumption checking, Mathematical reasoning

Approaches and Questions Raised

  • The original poster attempts to reconcile results from different methods of analysis, while others inquire about the clarity of the original poster's work and suggest using LaTeX for better presentation of equations.

Discussion Status

Participants are actively engaging with the original poster's problem, offering suggestions for improving the clarity of the work presented. There is acknowledgment of a potential error in sign in the calculations, and some participants have indicated that the methods appear to be set up correctly.

Contextual Notes

There are constraints regarding the clarity of images shared, and the original poster has faced challenges with image uploads due to size limitations. The discussion includes references to formatting equations using Mathjax.

LuccaP4
Messages
24
Reaction score
9
Homework Statement
Given the system described in the picture, find the acceleration of every mass using:
a) Newton's equations
b) D'Alembert's principle

Note: Pulley's masses are negligible.
Relevant Equations
[tex] \displaystyle\sum_{i=1}^N (m_i \ddot r_i - F_i) \delta r_i = 0 [/tex]
This is the problem's picture:
picture 1.png


My problem is that what I got for one acceleration (m3's) via Newton's equations is not the same as via D'Alembert's principle (I've checked on my PC if they are the same expression).
I can't find the mistake. Any suggestion is welcome.

I attach pictures of what I did:
2288a7a3b188450ea26fbd11729010e9.png

48ccaa012a384fcd28769cce1f1b50f0.png

f8d10c4bfd0a14640ee842a6b57fc740.png

f4c4400c8a3eb2ab0d0a8bc4899ef57c.png


Thank you!
 
Last edited:
  • Like
Likes   Reactions: Abhishek11235 and Delta2
Physics news on Phys.org
Can you post your work in Latex format?

Your writing comes out as very clean and precise but your image quality is very hard to read as they stand.

You can find some directions on the latex markup in a link in my signature below.
 
I struggled just to write the principle on Latex. I'll try uploading a better image.

Edit: It won't let me upload the images because they're too big. Guess I'll type it.
 
Last edited:
Done!
 
That’s great but did you know our site uses Mathjax which means you can write your equations as part of your post using the double # at the front and back of your expression:

## E=mc^2##

# # E = m c^2 # #

removing the spaces between the double # sequence.
 
Thanks for the data! I'll learn it for the next time.
 
Hopefully now one of our physics advisors will respond.
 
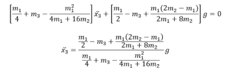
It looks like you set up both methods correctly. I did not check all of your work, but I did check to see if your two answers for ##\ddot x_3## match.

Your Newton's law result is
1587357576850.png


Your D'Alembert result is

1587357665791.png


When solving the first equation here for ##\ddot x_3##, you missed an overall negative sign. (Maybe you just forgot to type it.) Other than that, your two results for ##\ddot x_3## are equivalent.

The result can be simplified to look a little nicer with some manipulations. Try taking your result from Newton's law and combining the terms to make one fraction.
 
  • Like
Likes   Reactions: LuccaP4 and Delta2
Yes, I typed it wrong (copy-paste from above :doh:) but wrote it right. The numerator is negative.
So if they're equivalent, I'll try simplifying the result and go on with the other accelerations.
Thanks for your answer!
 
  • Like
Likes   Reactions: TSny
  • #10
I solved it, thanks for the help. I attach the entire solution, if anyone is interested.
 

Attachments

  • Like
Likes   Reactions: TSny

Similar threads

  • · Replies 25 ·
Replies
25
Views
3K
  • · Replies 17 ·
Replies
17
Views
3K
  • · Replies 4 ·
Replies
4
Views
4K
Replies
15
Views
2K
  • · Replies 16 ·
Replies
16
Views
3K
  • · Replies 10 ·
Replies
10
Views
5K
  • · Replies 22 ·
Replies
22
Views
3K
  • · Replies 27 ·
Replies
27
Views
3K
  • · Replies 22 ·
Replies
22
Views
7K
  • · Replies 5 ·
Replies
5
Views
2K