alan123hk
- 817
- 450
I suggest you take a look at this video. This may make you more familiar with this interesting story that started many years ago. 
Last edited:
The discussion revolves around the decomposition of electric fields into conservative and non-conservative parts, particularly in the context of circuit analysis and electromagnetic theory. Participants explore the implications of this decomposition for practical calculations and theoretical understanding, referencing specific examples and models.
Participants express differing views on the necessity and validity of splitting electric fields in circuit analysis. While some find it a helpful method, others argue against its necessity, leading to an unresolved discussion with multiple competing perspectives.
Participants reference specific conditions under which their arguments hold, such as the assumption of no time-varying magnetic fields and the applicability of the lumped element model. The discussion also touches on the limitations of the provided diagrams and the clarity of the proposed calculation methods.
On your diagram, I'd call this into question:alan123hk said:EMF per quarter of the arc length
This is what I've been trying to express all the thread long.vanhees71 said:Which voltages you measure between any two points "on the circuit" depends on the wiring of the voltmeter you attach to the two points
alan123hk said:In the example below, we can write the instant result 0.2V without solving complex voltage loop equations.
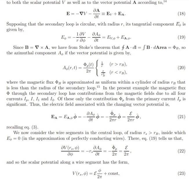
The last equation ##V=\epsilon \frac \phi {2 \pi}+const## is obviously false, because here V for angle zero is either undefined or experiances a leap. But any scalar potential function has to be continuous.alan123hk said:As is the case in this paper http://kirkmcd.princeton.edu/examples/lewin.pdf , the same circuits are also described with potentials. Quoted below.
Two practical points:alan123hk said:Some people may say why to complicate things, it seems that it has no practical value. But I disagree, like the above example, at least we understand why the voltage change is measured when the wire connected to the voltmeter deviates from this plane, maybe it can be used to detect whether the plane in the mechanical structure deviates from the original position.![]()
Sorry, I really don't understand why this is going wrong. This constant means that when the angle is 0, V can be any value. This is a boundary condition and the user may decide to substitute any value.SDL said:The last equation V=ϵϕ2π+const is obviously false, because here V for angle zero is either undefined or experiances a leap. But any scalar potential function has to be continuous.
This is a physical phenomenon. Whether it is useful or has practical use depends on each individual's opinion and situation. I respect your opinion even if you say it's completely useless, but I don't understand what you mean by extortion.hutchphd said:Two practical points:
The indiced emf is proportional to the time derivative of the flux and therefore seldom constant and happy
A standard form of magnetic field sensor (prior to hall effect sensors and FETs) was the flip coil.
Generally the fact that one can perform a Helmholtz decomposition of any well behaved vector field is not news and, while occasionally useful, it should not be extorted with the hammer.
This is true, but the problem isn't here. Assume the constant equals to zero. Angles 0 and ##2 \pi## are actually the same. At angle 0 V is 0 and at ##2 \pi## it equals to ##\epsilon##. Thus the potential is not defined. If we force V to be 0 at angle 0 anyway, then there would be a leap of this function and this is not allowed.alan123hk said:This constant means that when the angle is 0, V can be any value
You are right, now I also think there is something wrong with this equation, I don’t understand eitherSDL said:This is true, but the problem isn't here. Assume the constant equals to zero. Angles 0 and 2π are actually the same. At angle 0 V is 0 and at 2π it equals to ϵ. Thus the potential is not defined. If we force V to be 0 at angle 0 anyway, then there would be a leap of this function and this is not allowed.
Think, it was a challengealan123hk said:I don’t understand either
It's described by a scalar AND a vector potential, and that must be so, because the electric field is not a conservative field in this case, due to Faraday's Law!alan123hk said:@vanhees71
I'm not trying to describe the non-existent potential created by the induced electric field, but the scalar field created by the accumulated charge on this circuit.
As is the case in this paper http://kirkmcd.princeton.edu/examples/lewin.pdf , the same circuits are also described with potentials. Quoted below.
Are these published in peer-reviewed format anywhere?alan123hk said:Some references for the surface charge of current-carrying conductors.
In order to find a useful approximate solution, one must rigorously define the purpose and range of the approximation, and never lose sight of the validity thereof. Much good physics has been done by making assumptions and rigorously deriving the results thereof.alan123hk said:This is just to find out the current, voltage and the amount of charge on the capacitor . I mean find out the electric field in all the surrounding space. The electric field in the entire space includes the induced electric field generated by the inductor and the electric field generated by the capacitor. They are stacked together.
I admit that there is only one non-conservative field, but on the other hand, how can there be a faster way to find this non-conservative field (even an approximation) directly without considering the electric fields generated by the inductor and capacitor separately?
Maybe this reference would help:alan123hk said:Can't we then try to describe and calculate the real electric field produced by a current-carrying conductor?
The reference above is a chapter from this book: Herman A. Haus, James R. Melcher. Electromagnetic Fields and Energy.hutchphd said:published in peer-reviewed format anywhere?
Thanks. I don't believe I've seen that before. Very Nice.SDL said:Maybe this reference would help:
https://web.mit.edu/6.013_book/www/chapter10/10.1.html
See "Example 10.1.2. Electric Field of a One-Turn Solenoid".
Thanks for the link, Example 10.12 demonstrates how to use good mathematical techniques to derive analytical solutions to physics problems.SDL said:Maybe this reference would help:
https://web.mit.edu/6.013_book/www/chapter10/10.1.html See "Example 10.1.2. Electric Field of a One-Turn Solenoid".
Which is unique. QED.alan123hk said:Of course, this does not have the ability to find the electric field distribution