Differential equation involving a time series

Click For Summary
SUMMARY

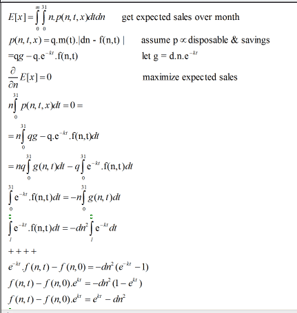
The discussion focuses on solving a differential equation involving a time series, specifically the function f(n,t) defined as f(n,t)=f(n,0)e^{kt} + e^{kt} - dn^2. The user seeks guidance on techniques for solving this equation and understanding its implicit nature. Key aspects include the importance of initial conditions in determining the solution. The equation suggests an exponential growth model influenced by time and quantity.

PREREQUISITES
  • Understanding of differential equations (DEs)
  • Familiarity with exponential functions and their properties
  • Knowledge of initial value problems in calculus
  • Basic concepts of time series analysis
NEXT STEPS
  • Research techniques for solving implicit differential equations
  • Learn about initial value problems and their applications in modeling
  • Explore time series forecasting methods
  • Study the implications of exponential growth in mathematical modeling
USEFUL FOR

Mathematicians, data scientists, and anyone involved in modeling time-dependent phenomena using differential equations.

AbusesDimensAnalysis
Messages
1
Reaction score
0
Hey all, it's been awhile since done any calculus or DE's but was trying out some modelling (best price price per item for bulk value deals as a function of time and amount), in the last line i have f(n,t) implicitly.

Any pointers or techniques for solving such things?

241165
 

Attachments

  • 1554151800007.png
    1554151800007.png
    10.7 KB · Views: 406
Physics news on Phys.org
Why is it implicitly? You have ##f(n,t)=f(n,0)e^{kt} + e^{kt} -dn^2## if I saw this correctly (it's a bit tiny for my old eyes). Looks as if you only have to figure out the initial conditions.
 

Similar threads

  • · Replies 8 ·
Replies
8
Views
2K
  • · Replies 25 ·
Replies
25
Views
4K
  • · Replies 8 ·
Replies
8
Views
2K
  • · Replies 10 ·
Replies
10
Views
2K
  • · Replies 4 ·
Replies
4
Views
3K
  • · Replies 7 ·
Replies
7
Views
2K
  • · Replies 8 ·
Replies
8
Views
3K
  • · Replies 1 ·
Replies
1
Views
3K
  • · Replies 16 ·
Replies
16
Views
4K
  • · Replies 1 ·
Replies
1
Views
2K