Does this line lie in this plane?

  • Thread starter Thread starter jegues
  • Start date Start date
  • Tags Tags
    Line Plane
Click For Summary
SUMMARY

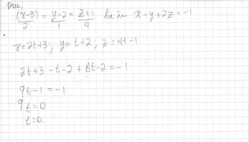
The discussion centers on determining whether a given line lies within a specified plane by analyzing parametric equations. The user translated the line into its parametric form and substituted it into the plane's equation, leading to the expression 9t - 1 ≠ -1. The key conclusion is that for the line to lie in the plane, the equation must hold true for all values of t, not just for a single instance such as t=0. This highlights the necessity of evaluating the relationship across the entire line rather than at isolated points.

PREREQUISITES
  • Understanding of parametric equations in geometry
  • Familiarity with plane equations in three-dimensional space
  • Knowledge of the concept of equivalence in mathematical expressions
  • Basic skills in algebraic manipulation and simplification
NEXT STEPS
  • Study the properties of lines and planes in three-dimensional geometry
  • Learn about the conditions for intersection between lines and planes
  • Explore the concept of parametric equations in greater depth
  • Review algebraic techniques for solving inequalities and equivalences
USEFUL FOR

Students in geometry, mathematics enthusiasts, and anyone seeking to understand the relationship between lines and planes in three-dimensional space.

jegues
Messages
1,085
Reaction score
3

Homework Statement


See figure for problem statement. It asks if a given line lies in a given plane.


Homework Equations





The Attempt at a Solution



Okay so first I translated the line into its parametric equations and then I subbed those into the equation of the plane respectively.

After simplifying you'll find that,

[tex]9t-1 = -1[/tex]

Now my solutions manual states the following,

*NOTE* There is no symbol for not-equivalent in tex, so I'm writing NE

[tex]9t -1 NE -1[/tex]

Why is this so?

Why not let t = 0, and then -1 = -1 and then all will be well in world, no?

What am I missing?
 

Attachments

  • LIP.jpg
    LIP.jpg
    27.8 KB · Views: 466
Physics news on Phys.org
jegues said:
*NOTE* There is no symbol for not-equivalent in tex, so I'm writing NE

\neq works :wink:

[tex]9t -1 \neq -1[/tex]

Why is this so?

Why not let t = 0, and then -1 = -1 and then all will be well in world, no?

What am I missing?

Each value of [itex]t[/itex] corresponds to a single point on the line. If the entire line were to lie in the plane, the equation would have to be true for all values of [itex]t[/itex] (all points on the line), not just [itex]t=0[/itex]
 

Similar threads

Replies
7
Views
3K
Replies
4
Views
2K
Replies
9
Views
2K
Replies
5
Views
2K
Replies
6
Views
4K
  • · Replies 3 ·
Replies
3
Views
2K
  • · Replies 2 ·
Replies
2
Views
1K
  • · Replies 11 ·
Replies
11
Views
2K
  • · Replies 3 ·
Replies
3
Views
2K
  • · Replies 2 ·
Replies
2
Views
2K