Domain of f(x,y): Open or Closed?

  • Context: MHB 
  • Thread starter Thread starter Yankel
  • Start date Start date
  • Tags Tags
    Domain
Click For Summary
SUMMARY

The domain of the function \(f(x,y)=\frac{\sqrt{ln(x^{2}+y^{2}+1)}}{\left | x \right |+\left | y \right |+\sqrt[4]{xy-1}}\) is classified as a closed and unbounded set. The confusion arises from the distinction between closed sets and boundedness; a set can be closed even if it extends to infinity. The discussion clarifies that the definition of a closed set does not require it to be bounded or that every point is an interior point, as exemplified by the entire plane being a closed set.

PREREQUISITES
  • Understanding of closed and open sets in topology
  • Familiarity with the concept of boundedness in mathematical analysis
  • Knowledge of logarithmic and square root functions
  • Basic principles of real analysis
NEXT STEPS
  • Review the definitions of open and closed sets in topology
  • Study the properties of bounded and unbounded sets
  • Examine examples of closed sets in higher dimensions
  • Learn about the implications of infinity in mathematical intervals
USEFUL FOR

Mathematics students, educators, and anyone studying real analysis or topology who seeks clarity on the concepts of open and closed sets, particularly in relation to functions of multiple variables.

Yankel
Messages
390
Reaction score
0
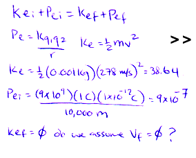
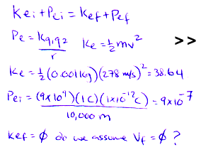
Hello all,

I am trying to determine if the domain of the function:

\[f(x,y)=\frac{\sqrt{ln(x^{2}+y^{2}+1)}}{\left | x \right |+\left | y \right |+\sqrt[4]{xy-1}}\]

Is an open set or closed set and if it's bounded.

The domain is in the attached graph.

View attachment 2468

The book say it is closed and unbounded. I wonder, how can it be closed, when it goes to infinity ?

I may be confusing boundary with open/close, but shouldn't it be open if it goes to infinity, or is it enough to say that since every point is interior it is closed ?

thanks !

Edit: What I mean is, isn't it like sets of 1 variables, were we always write [a,infinity) since infinity can't be closed ?
 

Attachments

  • Capture.PNG
    Capture.PNG
    1.7 KB · Views: 135
Last edited:
Physics news on Phys.org
You need to review the definition of "closed". It does not mean that the set is bounded or that every point is an interior point. For example, the whole plane is closed.

Yankel said:
What I mean is, isn't it like sets of 1 variables, were we always write [a,infinity) since infinity can't be closed ?
Interesting remark. A parenthesis as opposed to a square bracket means that the boundary does not belong to the interval. Infinity is not a real point, so by convention it is considered to not belong to any interval. And yes, for a finite interval both boundaries belong to it iff it is closed. However, this does not hold for infinite intervals.
 

Similar threads

  • · Replies 2 ·
Replies
2
Views
2K
  • · Replies 2 ·
Replies
2
Views
1K
  • · Replies 4 ·
Replies
4
Views
3K
  • · Replies 3 ·
Replies
3
Views
1K
  • · Replies 5 ·
Replies
5
Views
2K
  • · Replies 3 ·
Replies
3
Views
3K
  • · Replies 2 ·
Replies
2
Views
2K
  • · Replies 3 ·
Replies
3
Views
2K
  • · Replies 7 ·
Replies
7
Views
2K
Replies
6
Views
3K