Draw the magnitude and phase angle of a voltage in this AC circuit

Click For Summary

Discussion Overview

The discussion revolves around the analysis of an AC circuit involving inductors and capacitors, specifically focusing on the magnitude and phase angle of the voltage across components. Participants are sharing their solutions and code implementations, seeking validation and clarification on their approaches.

Discussion Character

  • Technical explanation
  • Mathematical reasoning
  • Debate/contested

Main Points Raised

  • Some participants express uncertainty about the correctness of their solutions and seek confirmation.
  • One participant notes the unusual treatment of inductors (L) and capacitors (C) in the context of the circuit analysis.
  • A participant shares MATLAB code for calculating voltage across the circuit components, detailing the conversion from polar to rectangular form and the application of voltage division rules.
  • Another participant comments on the improved clarity of the results, mentioning specific phase relationships and frequency dependencies observed in the circuit behavior.

Areas of Agreement / Disagreement

Participants do not appear to reach a consensus on the correctness of the initial solutions, and there are indications of differing views on the treatment of circuit components. The discussion remains unresolved regarding the accuracy of the calculations and interpretations presented.

Contextual Notes

Some assumptions regarding the circuit parameters and the definitions of reactance may not be explicitly stated. The mathematical steps involved in the calculations may also have unresolved aspects.

Fatima Hasan
Messages
315
Reaction score
14
Homework Statement
Consider the simple ac circuit of figure 1(b). The frequency of the AC source varies between 100 Hz to 500 Hz. Draw the magnitude and phase angle of the voltage across the capacitor. Try to increase the frequency by step of 5 Hz.
The circuit is attached below.
Relevant Equations
-
My solution is attached below.
I am not sure if my answer is correct or not , I want to confirm it.
 

Attachments

  • Capture.PNG
    Capture.PNG
    10.2 KB · Views: 309
  • ans1.PNG
    ans1.PNG
    25.9 KB · Views: 299
  • ans2.PNG
    ans2.PNG
    11.6 KB · Views: 310
Physics news on Phys.org
Fatima Hasan said:
if my answer is correct or not
From the code ?

244974


it seems strange to me that L and C are treated similarly ...

PS: PF has
Matlab:
 ... your code here ...  [\CODE] tags that present it much mure usefully:

[code=matlab] for i = 1:((500-100)/5 + 1) 
     w(i) = ...
 
  • Like
Likes   Reactions: DaveE and Fatima Hasan
BvU said:
[\CODE] tags that present it much mure usefully:
Thank you !

C should be = 1/(Xc*j*w(i))
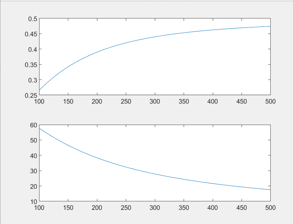
I resolve it again and here's what I got :
Matlab:
clc;
clear all;
v=100*(sind(0)*j+cosd(0)); %convert from polar to rectangular form
r=10;
xl=10*10^(-3);
xc=50*10^(-6);
f=100:5:500;
for i=1:((500-100)/5+1)
    w(i)=f(i)*2*pi;
    l(i)=j*w(i)*xl;
    c(i)=1/(xc*j*w(i));
    vc(i)=v*c(i)/(c(i)+l(i)+r); %apply VDR
end
figure(1)
subplot (2,1,1) , plot(f,abs(vc))
subplot (2,1,2) , plot(f,rad2deg(angle(vc)))
 

Attachments

  • answer.PNG
    answer.PNG
    11.4 KB · Views: 260
  • Like
Likes   Reactions: BvU
Looks a lot better now !
Checks are 90 degree phase difference at ##\ 2\pi f = {1\over \sqrt{LC}}\ ##
and V(C) dropping off with ##1/\omega^2\ ## at higher frequencies.
 
  • Like
Likes   Reactions: DaveE and Fatima Hasan

Similar threads

  • · Replies 2 ·
Replies
2
Views
1K
  • · Replies 3 ·
Replies
3
Views
2K
Replies
17
Views
4K
  • · Replies 7 ·
Replies
7
Views
3K
  • · Replies 13 ·
Replies
13
Views
2K
  • · Replies 1 ·
Replies
1
Views
2K
  • · Replies 2 ·
Replies
2
Views
2K
  • · Replies 1 ·
Replies
1
Views
2K
  • · Replies 4 ·
Replies
4
Views
3K
Replies
19
Views
3K