[E&M] Question on the Image charge method of a grounding sphere

Click For Summary

Discussion Overview

The discussion revolves around the image charge method applied to a grounding sphere, as presented in Jackson's text. Participants explore the implications of this method on electric fields, forces, and surface charge densities, delving into both theoretical and mathematical aspects.

Discussion Character

  • Technical explanation
  • Conceptual clarification
  • Mathematical reasoning
  • Debate/contested

Main Points Raised

  • One participant describes the initial setup involving an image charge and the subsequent calculations of potential and electric field, expressing confusion about the force on an area element and its relation to the electric field.
  • Another participant outlines the electric field behavior on the surface of the conductor sphere, noting that the field outside is given by ##E=\frac{\sigma}{\epsilon_0}## and is zero inside, referencing the Maxwell stress tensor to relate force per unit area to the electric field.
  • A third participant suggests integrating Coulomb's law to derive the total force on a surface element, indicating that this approach leads to a specific result related to the electric field.
  • A later reply introduces a convention for defining the electric field at the surface of the sphere using the Heaviside step function, acknowledging that this may not align with both macro and micro physics but serves as a practical mathematical tool.

Areas of Agreement / Disagreement

Participants express differing views on the definition of the electric field at the surface of the sphere, with some arguing it cannot be defined precisely, while others propose conventions for practical calculations. The discussion remains unresolved regarding the exact nature of the electric field at the surface.

Contextual Notes

Participants reference specific equations and concepts from Jackson's text, indicating a reliance on established theoretical frameworks. There is an acknowledgment of limitations in defining the electric field at the surface, as well as the dependence on mathematical conventions.

Shell_E
Messages
3
Reaction score
1
So I was reading Jackson's discussion on Image charge method of a grounding sphere.
1569989299202.png

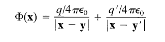
He first assumed an image charge q inside Sphere with radius a, so the potential for real change and image charge is
1569988859382.png
.
The by set potential equal to 0 at x=a, he solved q' and y'
1569988905756.png

Then he can get potential, thus get E field, also can get force on real charge q.
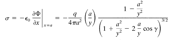
Then he figured out surface charge density by:
1569988929636.png

Then he mentioned that the force on unit area da is just :
1569989038794.png

1569989064843.png

So this is the part I don't get, I understand that σ *da = dq is the charge on area da, but what is the rest part? I don't really get why dF = dq * (σ /2ε ), is that indicate the E field at da is (σ /2ε )? if so, how do we get this?

Thank you!
 
  • Like
Likes   Reactions: Delta2
Physics news on Phys.org
Hi.

1. Say on thin volume surface surrounding da on conductor sphere,
##E=\frac{\sigma}{\epsilon_0}## outside surface and ##E=0## inside surface.

2. Maxwell stress tensor says force per unit area on outside surface is ##\frac{\epsilon_0}{2} E^2=\frac{\sigma^2}{2\epsilon_0}##

3. 1, 2 and ##dF=\sigma da E## tempt us to regard

Shell_E said:
E field at da is (σ /2ε )?
value of which is exact average of outside field and inside field mentioned in 1.

I do not think electric field at the exact point of sphere charge be defined neither physically nor mathematically.
 
Hi.
Further to post #2 I found texts around Fig.I.5 in Introduction of Jackson Third edition is helpful showing microscopic and macroscopic view of plate charge. It says about plate condenser but applies to our sphere.

Though I said electric field working on sphere charge is not defined, we may make use of convention that
[tex]E=H_{1/2}(x) \frac{\sigma}{\epsilon_0}[/tex]
where Heaviside step function_1/2 is 0 for x<0 inside, 1/2 for x=0 on surface and 1 for x>0 outside. As Jackson explained it does not correspond to both macro and micro physics and I take it for practical mathematical convention to meet equation ##dF=\frac{E}{\epsilon_0} \sigma da##.
 

Similar threads

  • · Replies 2 ·
Replies
2
Views
2K
  • · Replies 4 ·
Replies
4
Views
2K
  • · Replies 7 ·
Replies
7
Views
3K
  • · Replies 16 ·
Replies
16
Views
2K
  • · Replies 11 ·
Replies
11
Views
3K
  • · Replies 5 ·
Replies
5
Views
2K
  • · Replies 4 ·
Replies
4
Views
2K
  • · Replies 8 ·
Replies
8
Views
2K
  • · Replies 17 ·
Replies
17
Views
2K
  • · Replies 4 ·
Replies
4
Views
3K