Eigenstates of a free electron in a uniform magnetic field

Click For Summary
SUMMARY

The discussion focuses on deriving the Hamiltonian for a free electron in a uniform magnetic field, specifically using the vector potential A = (1/2)B x r. The resulting Hamiltonian is H = (-ħ^2 / 2m)∇^2 + (eB_0 / 2m)L_z + (e^2B_0^2 / 8m)(x^2 + y^2). The user encounters difficulties in obtaining eigenvalues from the proposed wavefunction ##\psi(x,y,z) = \phi(x,y)Z(z)## after substituting it into the Schrödinger equation. They seek clarification on potential errors in their Hamiltonian calculation or wavefunction application.

PREREQUISITES
  • Understanding of quantum mechanics, specifically the Schrödinger equation.
  • Familiarity with vector potentials and their role in magnetic fields.
  • Knowledge of angular momentum operators in quantum mechanics.
  • Proficiency in differential equations and separation of variables techniques.
NEXT STEPS
  • Review the derivation of the Hamiltonian for charged particles in magnetic fields using the vector potential.
  • Study the separation of variables method in solving the Schrödinger equation.
  • Explore the properties of angular momentum operators and their eigenvalues in quantum mechanics.
  • Investigate the implications of gauge invariance in quantum mechanics and its effect on wavefunctions.
USEFUL FOR

Students and researchers in quantum mechanics, particularly those studying the behavior of charged particles in magnetic fields, as well as educators looking for examples of Hamiltonian derivations and eigenvalue problems.

Zhuangzi
Messages
1
Reaction score
0
Homework Statement
Consider the (non-relativistic) Hamiltonian of a particle of charge -e in the presence of an external magnetic field B=B_0*ẑ, in the symmetric gauge A=(1/2)B x r.

a) Explicitly write the Hamiltonian described and show that p_z is a constant of motion.
b) Using your reasoning from (a), show that the problem admits a separation of variables with eigenfunctions of the form ψ(r)=exp(i*k_z*z)φ(x,y).
Relevant Equations
H = (1/2m)(p-qA)^2 + qV
L_z = -iħ(x∂_y - y∂_x)
B=B_0*ẑ
A=(1/2)B x r
ψ(r)=exp(i*k_z*z)φ(x,y)
I started with the first of the relevant equations, replacing the p with the operator -iħand expanding the squared term to yield:

H = (-ħ^2 / 2m)^2 + (iqħ/m)A·∇ + (q^2 / 2m)A^2 + qV

But since A = (1/2)B x r

(iqħ/m)A·∇ = (iqħ / 2m)(r x )·B = -(q / 2m)L·B = -(qB_0 / 2m)L_z

and A^2 = (1/4)(r^2*B^2 - (r·B)^2) = (B_0^2 / 4)(x^2 + y^2)

and V = 0

which gives a total Hamiltonian of

H = (-ħ^2 / 2m)^2 + (eB_0 / 2m) L_z + (e^2*B_0^2 / 8m)(x^2 + y^2).

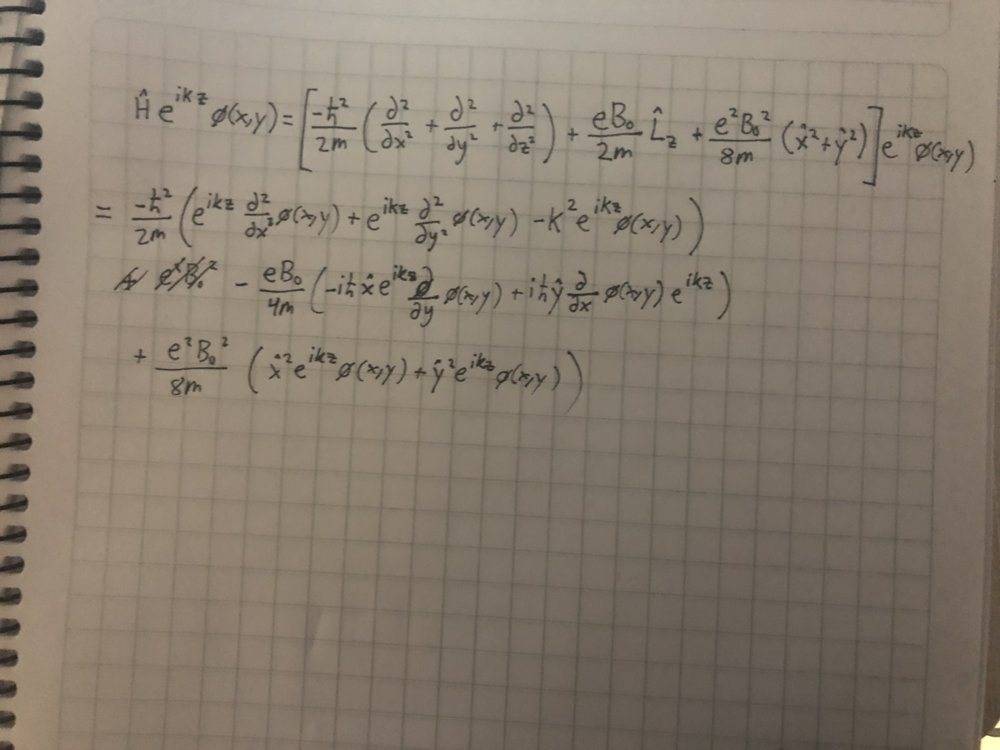
At this point, however, I get stuck. I tried plugging in the wavefunction suggested in the problem, but I couldn't get an eigenvalue to pop out (I've attached a picture of my work). I want to know if I've made a mistake in calculating the Hamiltonian or in applying it to the wavefunction.
 

Attachments

  • quantum.jpeg
    quantum.jpeg
    56.1 KB · Views: 346
Physics news on Phys.org
The idea is to assume a solution of the form ##\psi(x,y,z) = \phi(x,y)Z(z)##, substitute it into the Schrödinger equation, and show it separates into a differential equation for ##\phi## and one for ##Z##.
 

Similar threads

  • · Replies 3 ·
Replies
3
Views
5K
  • · Replies 6 ·
Replies
6
Views
4K
  • · Replies 4 ·
Replies
4
Views
3K
  • · Replies 0 ·
Replies
0
Views
2K
Replies
8
Views
4K
  • · Replies 1 ·
Replies
1
Views
2K
  • · Replies 2 ·
Replies
2
Views
2K
Replies
2
Views
3K
  • · Replies 1 ·
Replies
1
Views
3K
  • · Replies 1 ·
Replies
1
Views
3K