Electric field and potential at the origin

Click For Summary

Discussion Overview

The discussion revolves around calculating the electric field vector and potential at the origin of the x0y coordinate system due to a longitudinal charge placed on a half circle with radius a. Participants explore different methods for solving the problem, including the use of Coulomb's law and integration techniques.

Discussion Character

  • Homework-related
  • Mathematical reasoning
  • Technical explanation

Main Points Raised

  • One participant attempts to find the electric field and potential using Coulomb's law, expressing uncertainty about the integration limits and the resulting potential being infinite.
  • Another participant questions the choice of integrating from a to infinity and suggests that the electric field depends on y, proposing an alternative method to calculate potential without using electric fields.
  • A participant clarifies their reasoning for the integration limits, indicating that the reference point for potential is at infinity, and discusses the alternative approach involving direct integration of charge contributions.
  • Some participants agree that the alternative method for calculating potential is correct and acknowledge that using electric fields would require a more complex path integration.
  • There is a consensus that solving the problem via electric fields is more complicated and may serve as a cross-check rather than the primary method for this homework problem.

Areas of Agreement / Disagreement

Participants generally agree that the alternative method for calculating potential is simpler and correct, while there is no consensus on the best approach to use for the problem, as some still consider the electric field method valid despite its complexity.

Contextual Notes

Participants express uncertainty regarding the integration limits and the implications of the reference point for potential. The discussion highlights the complexity of integrating electric fields along a path and the potential for different interpretations of the problem setup.

cdummie
Messages
147
Reaction score
5

Homework Statement


I have to find a electric field vector and a potential of the point in the origin of the x0y coordinate system (0,0) due to a longitudinal charge placed on a half circle as shown in the picture, with radius a.

Homework Equations


Coulombs law.

The Attempt at a Solution


слика.png


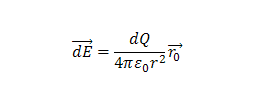
Using Coulombs law:
Кулонов закон.png


Vector E has two components:
разлагање вектора.png


Which means E=Ey.

Since dQ=Q'dl=Q'adθ

ипсилон компонента.png


If someone notices any mistakes up here, please point it out, since i haven't noticed any.

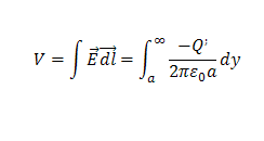
Now, for potential:

потенцијал.png


dl=dy because E has only y component, now when i integrate this i have V=∞, which seems wrong to me, so if someone knows how to solve this please post solution here.
 
Physics news on Phys.org
Why do you integrate from a to infinity?
Also, E will depend on y. There is an easier way to calculate the potential, without electric fields.
 
mfb said:
Why do you integrate from a to infinity?
Also, E will depend on y. There is an easier way to calculate the potential, without electric fields.

Well i thought, since distance from point whose potential i want to know and charge is a i put first limit a, and since reference point is at infinity (i think i haven't pointed that out in the statement). I think i know what do you mean by easier way its probably dV=dQ/4πξ0a and then since dQ=Q'dl when i integrate it i get V=Q'/4ξ0. Is this correct? If it is then i should get the same thing doing it the way i did up there, but obviously i won't get the same thing as here.
 
Yes that is correct.

cdummie said:
Well i thought, since distance from point whose potential i want to know and charge is a i put first limit a, and since reference point is at infinity
The approach with the electric field would need a path from the reference point to the position where you want to know the potential. And you would have to calculate the electric field everywhere along this path. The second part is quite messy.
 
mfb said:
Yes that is correct.

The approach with the electric field would need a path from the reference point to the position where you want to know the potential. And you would have to calculate the electric field everywhere along this path. The second part is quite messy.
That means that second approach is better for finding potential (i mean it's easier), I've done it that that way, but i thought if i solve it using electric field it could confirm that i did it correctly since the second approach seemed simple and i thought, if it's that simple, then probably i did something wrong. Anyway, thank you for help. :)
 
Solving it via electric fields is much more work. It would be a cross-check, but too tricky for such a homework problem.
 
  • Like
Likes   Reactions: cdummie

Similar threads

  • · Replies 2 ·
Replies
2
Views
3K
  • · Replies 4 ·
Replies
4
Views
1K
  • · Replies 2 ·
Replies
2
Views
2K
  • · Replies 5 ·
Replies
5
Views
1K
Replies
12
Views
3K
  • · Replies 21 ·
Replies
21
Views
3K
  • · Replies 8 ·
Replies
8
Views
2K
  • · Replies 6 ·
Replies
6
Views
3K
  • · Replies 22 ·
Replies
22
Views
4K
  • · Replies 9 ·
Replies
9
Views
4K