Energy stored in an electrostatic system

Click For Summary
SUMMARY

The discussion focuses on deriving the expression for energy stored in an electrostatic system characterized by charge density ## \rho ## and volume R. The work required to assemble the system is calculated using the integral forms of charge density and electric potential, leading to the expression ## W = \frac {\epsilon _0 } 2 \int_{all space} E^2 d \, \tau ##. The conversation also explores the distinction between free and bound charges in dielectrics, with the final work expressions for both types of charges clearly delineated. The discussion raises questions about the assumptions made in the derivation, particularly regarding the treatment of charge distribution and the integration limits.

PREREQUISITES
  • Understanding of electrostatics and electric fields
  • Familiarity with integral calculus in physics
  • Knowledge of dielectric materials and their properties
  • Proficiency in vector calculus, particularly divergence and gradient operations
NEXT STEPS
  • Study Griffiths' "Introduction to Electrodynamics" for detailed derivations of electrostatic energy
  • Explore the concept of electric displacement field (D-field) in dielectrics
  • Learn about the mathematical treatment of charge distributions in electrostatics
  • Investigate the implications of boundary conditions in electrostatic problems
USEFUL FOR

Students and professionals in physics, electrical engineering, and materials science who are interested in electrostatics, energy storage in electric fields, and the behavior of dielectrics under electric fields.

Pushoam
Messages
961
Reaction score
53
<Moderator's note: Thread moved from a technical forum, so homework template missing>

To do: To find an expression for energy stored in an electrostatic system with charge density ## \rho ## and volume R.
[ I am using R to denote the region filled with the given charge density as I want to keep 'V' reserved for potential ].

By the term "energy of the system " what we mean is : work required to assemble the system

So, I have to calculate work required to assemble the system i.e. W.

Let's consider the system at the time when its volume is Δ R and I bring charge dq to a point M with position vector ##\vec r ## on its surface.
upload_2017-8-11_12-42-55.png


Work done by me in this process is
dW = V(##\vec r ##) dq

##V \left ( \vec r \right ) = k \int _{ΔR}~ \frac { \rho (\vec {r'}) }{r"} d \, τ' ##
## dq = \rho (\vec {r}) dτ ##
So, ## dW = k \int _R~ \frac { \rho (\vec {r'}) }{r"} d \, τ' ~ \rho (\vec {r}) dτ ##
## W = \int _R~ \rho (\vec {r}) \{ k \int _{ΔR}~ \frac { \rho (\vec {r'}) }{r"} d \, τ'\} d\,τ ##

where ΔR depends on r.

Is this correct so far?

Another way:

W = ½ ##\int_R ~ \rho (\vec r) V (\vec r) d \, τ##
## \rho (\vec r) V (\vec r) = ε_0 (∇⋅ \vec E ) V = ε_0 ( ∇⋅( V \vec E ) - \vec E⋅ ∇ V ) ##
## W = ½ \int_R~ ε_0 ( ∇⋅ (V \vec E ) - \vec E⋅ ∇ V ) d \,τ ##
## = ½ \int_S ~ ε_0 V \vec E ⋅ d \vec a + ½ \int_R ε_0 E^2 d \, τ ##
Taking the region of integration to be infinite, (as the charge density outside R is 0), the first integral on R.H.S. becomes 0. Hence, we have,
## W = \frac {\epsilon _0 } 2 \int_{all space} E^2 d \, \tau ##In case of dielectrics, this will be the work required for assembling both free charges and bound charges.

For dielectrics, ## \rho = \rho_b + \rho_f,##
So,
W = ½ ##\int_R ~ \rho (\vec r) V (\vec r) d \, τ##
= ½ ##\int_R~ (\rho_b + \rho_f )V (\vec r) d \, τ##
W =½ ## \int_R~ \rho_b V d \, τ + ½ \int_R \rho_f V (\vec r) d \, τ##

Can I take the first term on the R.H.S. as the work required to assemble the bound charges and the second term as the work required to assemble the free charges ?

If yes, then,

##W_f = ½ \int_R \rho_f V (\vec r) d \, τ
\\ \rho_f=∇.\vec D##
And doing some further calculation,
## W_f = ½ \int_{all space} \vec D . \vec E ~d \, τ ##

Is this correct so far?
 

Attachments

  • upload_2017-8-11_12-40-21.png
    upload_2017-8-11_12-40-21.png
    3.4 KB · Views: 523
  • upload_2017-8-11_12-41-34.png
    upload_2017-8-11_12-41-34.png
    6.7 KB · Views: 539
Last edited by a moderator:
Physics news on Phys.org
Calculating work done required in building free charges up from zero to the final configuration in dielectrics

Here, the volume of the system( dielectrics ) R is fixed. So, as I bring free charge Δq to the system, its free charge density ## \rho_f ## gets changed by ##Δ \rho_f ##. Change in free charge density creates change in bound charge density ( only ## \rho_b ## or both## \rho_b## and ##σ_b## ?).

##Δq = \int_R (ρ_f + Δ ρ_f ) d \, τ - \int_R ρ_f d \, τ = \int_R Δρ_f d \, τ ##Work done on bringing this incremental charge from infinity to a point with position vector ## \vec r ## inside the dielectrics is

##ΔW = Δq V(\vec r )## (1)

## ΔW = V(\vec r ) \int_R Δρ_f d \, τ ## (1.1)

But, the Griffith says in eq. 4.56 3rd ed. : ## ΔW = \int_R Δρ_f V(\vec r ) d \, τ ##
So, something may be wrong in (1).
I think Δq gets spread in all over the dielectrics. It doesn't remain at ## \vec r ## in the dielectrics.
So, eq (1) has to be modified.
Let's say that a very small amount of Δq i.e. Δ (Δq) remains at ## \vec r ## after the spreading. Now, work done on this charge is

##Δ(ΔW) = Δ(Δq) V( \vec r )##

On integrating both sides,

## ΔW = Δ\int _R Δ(Δρ_f) V(\vec r ) d \, τ ##

This also doesn't match the Griffith's expression.
I guess the way Griffith's brings the free charge is following:
He doesn't bring the charge Δq at ## \vec r ##. He brings the charge Δq over all the region of dielectrics simultaneously so that its free charge density gets increased by ## Δρ_f ##. Now, ##Δ ρ_f (\vec r ) V(\vec r ) d \, τ ## is the work done in bringing the charge ## Δ ρ_f (\vec r ) d \, τ ## at ## \vec r ##. Hence, the work done in bringing Δq all over the dielectrics is

## ΔW = \int _R~ Δ ρ_f (\vec r ) ~ V(\vec r ) d \, τ ##

Where ## V (\vec r )## is potential due to the system at ## \vec r## at the time when the charge ## Δ ρ_f (\vec r ) d \, τ ## is brought to ## \vec r##.

## Δρ_f = ∇ρ_f ⋅ d \vec r = ∇ (∇⋅ \vec D )⋅ d \vec r##

Now, Griffiths takes ## Δ ρ_f = ∇. (Δ \vec D ) ##.
This means,
## \begin {align}
Δρ_f & = Δ (∇. \vec D ) & = ∇. (Δ \vec D )
\\& ⇒ [ ∇(∇. \vec D)]. d \vec r & = ∇. ( ∇ D_j .d \vec r ) \hat x_j
\\ & ⇒ \frac { \partial { [ \frac {\partial D_j } {\partial x_j } ] } } {\partial {x_i } } d x_i & = \frac { \partial { [ \frac {\partial D_j } {\partial x_k } d x_k ] } } {\partial {x_j } }
\end {align} ##

How to prove the equality in the last equation?

Since I understand the following steps, I am copying it from Griffiths.
upload_2017-8-12_17-32-23.png


Now, since we have to calculate W instead of ΔW, what Griffith does is : ## (Δ \vec D ) . \vec E = \frac {Δ(\vec D .\vec E )} 2 ##

This I can show as following:

## (Δ \vec D ) . \vec E = E_i (∇ D_i . d\vec r ) = \frac { Δ (E_i D_i )} 2 = \frac {Δ(\vec D .\vec E )} 2 ##

while taking the integration over all space, it is assumed that space outside R is vacuum.
Is this assumption necessary?


Now, Griffith takes Δ outside the integration. Can anyone please explain me how can one show the correctness of this step?
upload_2017-8-12_17-51-18.png


Can anyone please explain me the underlined part in the following footnote?
upload_2017-8-12_17-54-1.png


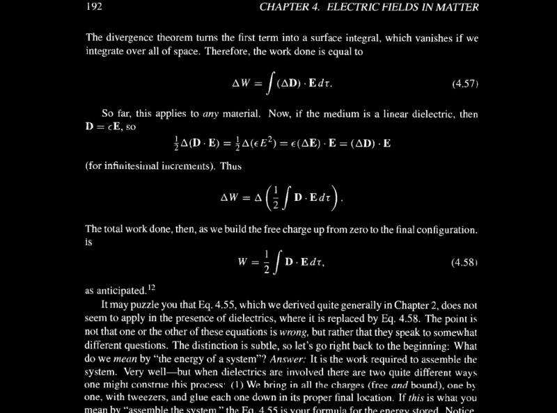
I am attaching Griffith's derivation of eqn. 2.42 and 4.58 given in 3rd ed.

upload_2017-8-12_18-2-32.png

upload_2017-8-12_18-4-58.png


upload_2017-8-12_18-7-13.png


upload_2017-8-12_18-8-46.png
 

Attachments

  • upload_2017-8-12_18-3-32.png
    upload_2017-8-12_18-3-32.png
    14.4 KB · Views: 535

Similar threads

  • · Replies 17 ·
Replies
17
Views
3K
  • · Replies 78 ·
3
Replies
78
Views
8K
Replies
1
Views
2K
  • · Replies 10 ·
Replies
10
Views
2K
Replies
12
Views
2K
  • · Replies 4 ·
Replies
4
Views
2K
  • · Replies 25 ·
Replies
25
Views
2K
Replies
4
Views
2K
Replies
31
Views
2K
  • · Replies 5 ·
Replies
5
Views
2K