Error Propagation - Estimating Variance

Click For Summary

Homework Help Overview

The discussion revolves around error propagation in the context of statistical data analysis, specifically focusing on the implications of estimating variance when certain parameters are known. Participants explore the mathematical treatment of functions and their derivatives in relation to uncorrelated variables.

Discussion Character

  • Exploratory, Mathematical reasoning, Assumption checking

Approaches and Questions Raised

  • Participants express confusion regarding the squaring of terms in the context of expected values and the appearance of additional variables. Questions are raised about the derivation process and the implications of uncorrelated variables on the simplification of expressions.

Discussion Status

The conversation is active, with participants seeking clarification on specific mathematical steps and the reasoning behind them. Some guidance has been offered regarding the notation and the implications of the covariance matrix, but no consensus has been reached on the initial derivation or the treatment of certain terms.

Contextual Notes

Participants are navigating a complex topic in statistical analysis where assumptions about variable independence and the structure of functions are critical. The discussion highlights the need for careful interpretation of mathematical expressions in the context of error propagation.

unscientific
Messages
1,728
Reaction score
13

Homework Statement



Not exactly a homework question, but rather a section in Statistical Data Analysis:

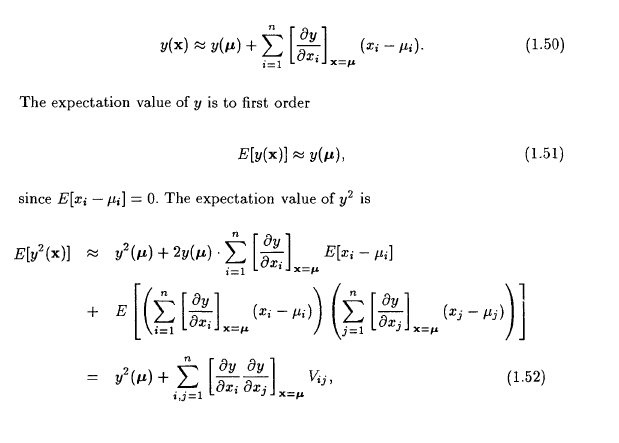
Suppose there is a pdf y(x)[/SUB] that is not completely known, but μi and Vij are known:

Homework Equations


The Attempt at a Solution



I understand how <y(x)> ≈ y(μ),

My confusion:

Why does <y(x2)>

1. Imply we square everything throughout?

<[y(μ) + Ʃ[∂y/∂x](xi - μi)]2>

2. give a xi and xj term? Where did the xj come from?

3. Why is it for i≠j when xi and xj are uncorrelated, the expression simplifies to

σ2y ≈ Ʃ[∂y/∂x]2σ2i

Where did the j go?

snywxy.png

154wqkw.png
 
Last edited:
Physics news on Phys.org
unscientific said:

Homework Statement



Not exactly a homework question, but rather a section in Statistical Data Analysis:

Suppose there is a pdf y(x)[/SUB] that is not completely known, but μi and Vij are known:

Homework Equations





The Attempt at a Solution



I understand how <y(x)> ≈ y(μ),

My confusion:

Why does <y(x2)>

1. Imply we square everything throughout?

<[y(μ) + Ʃ[∂y/∂x](xi - μi)]2>

2. give a xi and xj term? Where did the xj come from?

3. Why is it for i≠j when xi and xj are uncorrelated, the expression simplifies to

σ2y ≈ Ʃ[∂y/∂x]2σ2i

Where did the j go?


snywxy.png

154wqkw.png


It told you explicitly where the j "went": it said that ##V_{ii} = \sigma_i^2## and that ##V_{ij} = 0 ## for ##i \neq j##.
 
Ray Vickson said:
It told you explicitly where the j "went": it said that ##V_{ii} = \sigma_i^2## and that ##V_{ij} = 0 ## for ##i \neq j##.

Hmm, that makes sense.

What about the initial derivation? Why did they choose to square the entire RHS when it's a function of (x2) and not f2(x)? And the j's started appearing..
 
unscientific said:
Hmm, that makes sense.

What about the initial derivation? Why did they choose to square the entire RHS when it's a function of (x2) and not f2(x)? And the j's started appearing..

Do you honestly mean to say that you cannot tell the difference between ##g(x)^2## and ##g(x^2)##? The paper is working with ##g(x)^2##!
 
Ray Vickson said:
Do you honestly mean to say that you cannot tell the difference between ##g(x)^2## and ##g(x^2)##? The paper is working with ##g(x)^2##!

Ah I see, but where did the j's come from though? And nothing about y(x2) was said that day.
 
unscientific said:
Ah I see, but where did the j's come from though? And nothing about y(x2) was said that day.

Try it for yourself: write out ##(\sum_{i=1}^3 a_i)^2 = (a_1 + a_2 + a_3)^2## in complete detail, by expanding out the square. After doing that, re-write the result using summation notation.

This will be my last post on this topic.
 

Similar threads

  • · Replies 16 ·
Replies
16
Views
2K
Replies
3
Views
2K
  • · Replies 1 ·
Replies
1
Views
1K
Replies
1
Views
2K
  • · Replies 2 ·
Replies
2
Views
3K
Replies
2
Views
2K
  • · Replies 3 ·
Replies
3
Views
2K
  • · Replies 8 ·
Replies
8
Views
3K
  • · Replies 3 ·
Replies
3
Views
3K
  • · Replies 2 ·
Replies
2
Views
2K