Euler's equation pressure difference

Click For Summary

Discussion Overview

The discussion revolves around calculating the pressure difference (PC - PA) in a fluid dynamics context using Euler's equation. Participants explore various approaches to derive the pressure difference without breaking the problem into components, while addressing specific values and conditions related to the scenario.

Discussion Character

  • Homework-related, Technical explanation, Debate/contested

Main Points Raised

  • One participant presents an initial setup for calculating the pressure difference using given values and equations, but expresses uncertainty about the correctness of their answer.
  • Another participant points out a potential error in the setup, indicating that vectors and scalars are improperly mixed in the equations.
  • A participant identifies the unit vector in the direction from point C to A as (3/5)##\hat i## + (4/5)##\hat j##.
  • Further contributions involve discussions about the directional derivative and the dot product of vectors, with some participants attempting to clarify the correct application of these concepts.
  • One participant calculates a specific value for the pressure difference and questions whether the method used is the only approach, referencing an alternative solution seen online.
  • Another participant suggests that the method discussed is essentially equivalent to resolving the equation into components, noting that the partial derivatives of pressure are constant for this problem.

Areas of Agreement / Disagreement

Participants express differing views on the correctness of the initial setup and the methods used to derive the pressure difference. There is no consensus on a single correct approach, and multiple interpretations of the problem remain evident.

Contextual Notes

Some participants highlight limitations in the initial setup, such as the mixing of vectors and scalars, and the need for clarity in applying the directional derivative. The discussion reflects a dependency on specific assumptions about the constancy of partial derivatives.

fayan77
Messages
84
Reaction score
0

Homework Statement



Screen Shot 2018-02-15 at 2.45.13 PM.png


I am after PC - PA
However I must do so without breaking into components. My problem has different values

L=3
H=4
SG=1.2
downward a = 1.5g
horizontal a = 0.9g
and my coordinate is conventional positive y up and positive x to the right
cos##\theta## = 3/5
sin##\theta## = 4/5

Homework Equations



- ##\frac {\partial} {\partial l}## (p+##\gamma##l) = ##\rho##a

- ##\nabla p## = ##\rho##a

The Attempt at a Solution


a = 0.9g##\hat i## -1.5g##\hat j##
therefore,
- ##\frac {dp} {dl}##-##\gamma## = ##\rho##(0.9g##\hat i## -1.5g##\hat j##)

where dp = PC - PA
dl = 5 because of the 3,4,5 triangle
and in order to get rid of (i hat and j hat) i use triangle relationship and project 0.9g##\hat i## to l direction using 0.9g(3/5) and -1.5g(4/5)
therefore,
- (PA - PC) / 5 = ##\rho##(0.9g(3/5)-1.5g(4/5)) + ##\gamma##
PC - PA= -5##\rho##g(.9(3/5)-1.5(4/5)+1)
PC - PA= not correct answer
 

Attachments

  • Screen Shot 2018-02-15 at 2.45.13 PM.png
    Screen Shot 2018-02-15 at 2.45.13 PM.png
    9.8 KB · Views: 1,050
Last edited by a moderator:
Physics news on Phys.org
This doesn't seem to have been set up correctly. You have vectors on one side of the equations and scalars on the other. That's a no-no.

The starting equation should be:
$$-\nabla{p}-\gamma\hat{j}=\rho\hat{a}$$
To get the derivative of p in the direction from C to A, you need to dot this equation with a unit vector in that direction. What is the equation for the unit vector in the direction from C to A?
 
(3/5)##\hat i## + (4/5)##\hat j##
 
fayan77 said:
(3/5)##\hat i## + (4/5)##\hat j##
When you dot ##\nabla p## with this unit vector, you get the "directional derivative" ##\frac{\partial p}{\partial l}##, where l is measured along the diagonal from C to A. What do you get when you dot the other terms in the equation with this unit vector?
 
let (3/5)##\hat i## + (4/5)##\hat j## = W
where ##\gamma## = ##\rho##g

-##\frac{\partial p}{\partial l}## -##\rho##g##\hat{j}## DOT W =##\rho\hat{a}## DOT W
-##\frac{\partial p}{\partial l}## = [##\rho##g##\hat{j}## DOT W] DOT [##\rho\hat{a}## DOT W]
-##\frac{\partial p}{\partial l}## = ##\rho##g[.9##\left( \frac 3 5 \right) \hat i## - .5##\left( \frac 4 5 \right) \hat j##]
 
fayan77 said:
let (3/5)##\hat i## + (4/5)##\hat j## = W
where ##\gamma## = ##\rho##g

-##\frac{\partial p}{\partial l}## -##\rho##g##\hat{j}## DOT W =##\rho\hat{a}## DOT W
-##\frac{\partial p}{\partial l}## = [##\rho##g##\hat{j}## DOT W] DOT [##\rho\hat{a}## DOT W]
-##\frac{\partial p}{\partial l}## = ##\rho##g[.9##\left( \frac 3 5 \right) \hat i## - .5##\left( \frac 4 5 \right) \hat j##]
That’s not done correctly. The dot product of two vectors is a scalar.
 
got it,
-##\frac{\partial p}{\partial l}## = ##\rho##g(.14)

-(PA - PC) / 5 = ##\rho##g(.14)

PC - PA = 5 (1.2)(1.94)(32.2)(.14) = 52.4

So what we did here was just projecting everything along CA?
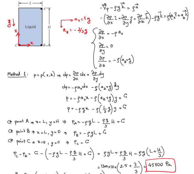
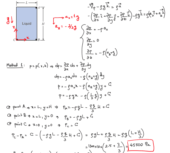
Is there another way of doing this? I saw a solution on the internet solved differently. Do you mind explaining the other solution?
Screen Shot 2018-02-15 at 7.29.06 PM.png
 

Attachments

  • Screen Shot 2018-02-15 at 7.29.06 PM.png
    Screen Shot 2018-02-15 at 7.29.06 PM.png
    26.6 KB · Views: 1,218
fayan77 said:
got it,
-##\frac{\partial p}{\partial l}## = ##\rho##g(.14)

-(PA - PC) / 5 = ##\rho##g(.14)

PC - PA = 5 (1.2)(1.94)(32.2)(.14) = 52.4

So what we did here was just projecting everything along CA?

Sure. What they wanted you to realize was that you can get the directional derivative by dotting the equation with a unit vector in the desired direction.
Is there another way of doing this? I saw a solution on the internet solved differently. Do you mind explaining the other solution?
View attachment 220408
This is just basically equivalent to resolving the equation into components, to get the partial derivatives in the x and y directions. I really don't like what they've done here. The only reason this method works is that, for this particular problem, the partial derivatives of p with respect to both x and y are constant, independent of x and y.
 
Last edited:
okay, and thank you for your help.
 

Similar threads

  • · Replies 1 ·
Replies
1
Views
4K
  • · Replies 26 ·
Replies
26
Views
4K
  • · Replies 2 ·
Replies
2
Views
3K
  • · Replies 7 ·
Replies
7
Views
1K
  • · Replies 1 ·
Replies
1
Views
3K
Replies
1
Views
2K
  • · Replies 14 ·
Replies
14
Views
4K
  • · Replies 1 ·
Replies
1
Views
1K
Replies
6
Views
3K