Find forced response of VC(t) - Can someone check my work?

Click For Summary

Discussion Overview

The discussion revolves around finding the forced response of the voltage across a capacitor, VC(t), in a circuit described by a second-order differential equation. Participants explore various mathematical approaches and trigonometric identities to solve for the amplitude and phase angle of the response, engaging in a detailed examination of the calculations involved.

Discussion Character

  • Homework-related
  • Mathematical reasoning
  • Debate/contested

Main Points Raised

  • One participant presents a differential equation and attempts to express VC(t) in terms of cosine, leading to a complex expression involving trigonometric identities.
  • Several participants point out the loss of the phase angle θ in the simplification process and suggest restoring it to maintain consistency in the expression.
  • There is a discussion about equating the magnitudes of the cosine terms on both sides of the equation to solve for the amplitude A.
  • Participants raise the issue of multiple possible values for the phase angle due to the nature of the arctangent function, emphasizing the need to consider all quadrants when determining the angle.
  • One participant suggests that there may be an error in the ratio used for A and C, proposing that it should be 10/9 instead of 9/10 based on an alternative method of solving the problem.
  • Another participant explains their use of phasors and standard circuit analysis methods, asserting that these methods yield consistent results with the trigonometric identity presented.
  • There is a suggestion to simplify the original equation by dividing through by a common factor to facilitate the application of the trigonometric identity.

Areas of Agreement / Disagreement

Participants express differing views on the correct application of the trigonometric identity and the resulting values for A and θ. There is no consensus on the correct approach or final values, indicating that multiple competing views remain in the discussion.

Contextual Notes

Participants note potential issues with the application of trigonometric identities and the interpretation of phase angles, highlighting the complexity of the problem and the need for careful consideration of mathematical steps.

eehelp150
Messages
235
Reaction score
0

Homework Statement


upload_2016-11-13_23-54-31.png

Find the forced response of VC(t)

Homework Equations

The Attempt at a Solution


W=1000
[tex]\frac{d^2V_C(t)}{dt^2}+\frac{R}{L}\frac{dV_C(t)}{dt}+\frac{V_C}{LC}=\frac{Vin}{LC}[/tex]
[tex]V_C(t)=Acos(1000t+\theta)[/tex]
Plug in Vc(t),R,L,C into equation 1

[tex]-10^6Acos(10^3t+\theta)-10^7Asin(10^3t+\theta)+10^7Acos(10^3t+\theta)=5*10^7cos(10^3t)[/tex]

Simplifying:
[tex](9*10^6)Acos(10^3t+\theta)-10^7Asin(10^3t+\theta)=5*10^7cos(10^3t)[/tex]

Trig ID
[tex]\sqrt{(9*10^6)^2+(10^7)^2}*Acos(10^3t+tan^-1(-\frac{9*10^6}{-10^7}))[/tex]

[tex]13.45*10^6Acos(10^3t+41.98°)[/tex]Is everything I've done so far correct? How do I find A?
 
Physics news on Phys.org
eehelp150 said:
Trig ID
Above this line you have an equation, below this line you should also write an equation.

Above this line your expression contains a ##\theta## term, but its simplified expression below that line has lost the ##\theta## term. Can you restore the missing ##\theta## into that simplified equivalent expression?

The amplitude of the cosinusoid on the left equates to the amplitude of that on the right, so set them equal and solve to find ##A##.
 
NascentOxygen said:
Above this line you have an equation, below this line you should also write an equation.

Above this line your expression contains a ##\theta## term, but its simplified expression below that line has lost the ##\theta## term. Can you restore the missing ##\theta## into that simplified equivalent expression?

The amplitude of the cosinusoid on the left equates to the amplitude of that on the right, so set them equal and solve to find ##A##.
Is this correct?
[tex]\sqrt{(9*10^6)^2+(10^7)^2}*Acos(10^3t+\theta+tan^-1(-\frac{9*10^6}{-10^7}))=5*10^7cos(10^3t)[/tex]
[tex]13.45*10^6Acos(10^3t+\theta+41.98°)=5*10^7cos(10^3t)[/tex]
 
I'm not able right now to verify your mathematics, but that is the form that I expect.

So equate the left side cosine magnitude to that on the right side, and solve for A.
Similarly, equate the cosine arguments, and solve for θ.​
 
One trap to be aware of is that tan–1 can have multiple answers. Your calculator will give you only one, but you always need to consider whether the other/s are applicable to your particular problem.
 
NascentOxygen said:
I'm not able right now to verify your mathematics, but that is the form that I expect.

So equate the left side cosine magnitude to that on the right side, and solve for A.
Similarly, equate the cosine arguments, and solve for θ.​
So
13.45*10^6 A = 5*10^7
and
theta + 41.98 = 0
?
 
NascentOxygen said:
One trap to be aware of is that tan–1 can have multiple answers. Your calculator will give you only one, but you always need to consider whether the other/s are applicable to your particular problem.
The formula is tan^-1(-A/C)
if A is 9 and C is -10, wouldn't it be:
tan^-1(-9/-10)
tan^-1(9/10)
=41.98
 
eehelp150 said:
So
13.45*10^6 A = 5*10^7
and
theta + 41.98 = 0
?
That's how it's done, yes.
eehelp150 said:
The formula is tan^-1(-A/C)
if A is 9 and C is -10, wouldn't it be:
tan^-1(-9/-10)
tan^-1(9/10)
=41.98
Geometrically, you need to look at all 4 quadrants when determining the answer to tan –1 (0.9) because there are at least 2 answers.

Mathematically, you can say there are an infinite number of solutions, but in electronic circuits, we usually consider those phase angles restricted to the range: –180°...+180°
 
Just a heads up, I think that somewhere along the line the 9/10 should have been 10/9. I haven't checked closely through the math to see exactly how this happened, but l suspect it would be where the "Trig ID" took place.

I say that it should have been 10/9 because solving for Vc via another method yields a phase angle of -48.01°, which corresponds to atan(-10/9).
 
  • #10
gneill said:
Just a heads up, I think that somewhere along the line the 9/10 should have been 10/9. I haven't checked closely through the math to see exactly how this happened, but l suspect it would be where the "Trig ID" took place.

I say that it should have been 10/9 because solving for Vc via another method yields a phase angle of -48.01°, which corresponds to atan(-10/9).
Can you show the other method?
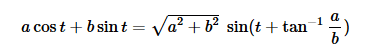
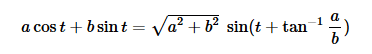
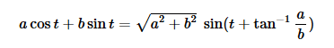
My professor wrote this trig identity on this board:
Acos(x)+Csin(x)=sqrt(A^2+C^2)*cos(x+tan^-1(-A/C))

but this website: http://myphysicslab.com/springs/single-spring/trig-identity-en.html
upload_2016-11-15_9-15-15.png
 
  • #11
eehelp150 said:
Can you show the other method?
I used phasors (which uses complex values for impedances) and standard circuit analysis methods. All the usual analysis methods work with phasors (Ohm's law, KVL, KCL, nodal analysis, mesh analysis, etc.), so it's just like solving a circuit with resistors except it uses complex numbers.
My professor wrote this trig identity on this board:
Acos(x)+Csin(x)=sqrt(A^2+C^2)*cos(x+tan^-1(-A/C))

but this website: http://myphysicslab.com/springs/single-spring/trig-identity-en.html
View attachment 108950
The trig identity is fine. Your professor's negative sign is merely accounting for the sign of the sine term in the problem rather than making the value of ##a## negative.

The issue will be with why you found A/C to be 9/10 rather than 10/9.
 
  • #12
gneill said:
I used phasors (which uses complex values for impedances) and standard circuit analysis methods. All the usual analysis methods work with phasors (Ohm's law, KVL, KCL, nodal analysis, mesh analysis, etc.), so it's just like solving a circuit with resistors except it uses complex numbers.

The trig identity is fine. Your professor's negative sign is merely accounting for the sign of the sine term in the problem rather than making the value of ##a## negative.

The issue will be with why you found A/C to be 9/10 rather than 10/9.
upload_2016-11-15_9-30-7.png

Isn't A = 9*10^6 and C = -10^7?
 
  • #13
I'm thinking that perhaps the issue is with applying the trig identity correctly. The underlying trig identity being invoked is:

##cos(a + b) = cos(a) cos(b) - sin(a) sin(b)##

and we want to associate cos(a) and sin(a) with the coefficients in your equation. Let's start by getting rid of the large exponents in your equation. Dividing through by ##10^7## and letting ##b = (ω t + θ)## for now yields:

##\frac{9}{10} A cos(b) - 1~A sin(b) = 5 cos(ω t)##

Then the 9/10 and 1 are associated with the cos(a) and sin(a) of the trig identity. That means that the angle a is given by:

##a = tan^{-1} \left( \frac{sin(a)}{cos(a)} \right) = tan^{-1} \left( \frac{1}{9/10} \right) = tan^{-1} \left( \frac{10}{9} \right)##

which is the 10/9 that I found by the different approach.
 
Last edited:
  • #14
gneill said:
I'm thinking that perhaps the issue is with applying the trig identity correctly. The underlying trig identity being invoked is:

##cos(a + b) = cos(a) cos(b) - sin(a) sin(b)##

and we want to associate cos(a) and sin(a) with the coefficients in your equation. Let's start by getting rid of the large exponents in your equation. Dividing through by ##10^7## and letting ##b = (ω t + θ)## for now yields:

##\frac{9}{10} A cos(b) - 1~A sin(b) = 5 cos(ω t)##

Then the 9/10 and 1 are associated with the cos(a) and sin(a) of the trig identity. That means that the angle a is given by:

##a = tan^{-1} \left( \frac{sin(a)}{cos(a)} \right) = tan^{-1} \left( frac{1}{9/10} \right) = tan^{-1} \left( \frac{10}{9} \right)##

which is the 10/9 that I found by the different approach.
final answer:
Vc(t)=3.7cos(10^3t-48)
 

Similar threads

Replies
2
Views
3K
  • · Replies 13 ·
Replies
13
Views
5K
Replies
2
Views
2K
  • · Replies 2 ·
Replies
2
Views
3K
  • · Replies 15 ·
Replies
15
Views
2K
  • · Replies 4 ·
Replies
4
Views
2K
Replies
1
Views
1K
Replies
10
Views
2K
Replies
7
Views
2K
  • · Replies 6 ·
Replies
6
Views
2K