Find possible values for a in this differential equation

Click For Summary

Homework Help Overview

The discussion revolves around finding possible values for a in a differential equation, with a focus on the characteristic equation and its roots. Participants are exploring the implications of boundary conditions y(0)=0 and y(6)=0 in relation to the solution forms.

Discussion Character

  • Exploratory, Conceptual clarification, Mathematical reasoning

Approaches and Questions Raised

  • Participants discuss the types of solution forms that could satisfy the boundary conditions, considering exponential and trigonometric functions. There is uncertainty about the thought process needed to determine the appropriate approach.

Discussion Status

Some participants are beginning to connect the choice of trigonometric equations to the conditions of the problem, while others express confusion about the relationships between parameters a, b, and α. There is an ongoing exploration of how to derive values for a based on the identified forms of solutions.

Contextual Notes

Participants mention constraints related to the conditions of the problem, specifically the requirement that 25 - 4a < 0, which influences the choice of solution forms. There is also a reference to learning preferences that involve iterative understanding through examples.

s3a
Messages
828
Reaction score
8

Homework Statement


The question is attached as Problem.jpg.

The answers for a are:
a_1 = 6.52415567780804
a_2 = 7.34662271123215
a_3 = 8.71740110027234


Homework Equations


Characteristic equation and its interpretation based on what the roots are.


The Attempt at a Solution


My attempt is attached as MyWork.jpg. Basically, assuming that I am right so far, I do not know how to proceed.

Any help would be greatly appreciated!
Thanks in advance!
 

Attachments

  • Problem.jpg
    Problem.jpg
    10.7 KB · Views: 498
  • MyWork.jpg
    MyWork.jpg
    37 KB · Views: 517
Physics news on Phys.org
Well, what kind of solution forms are going to make it easy to show y(0)=0 and y(6)=0?
 
I don't know what the thought process is for figuring that out. :(
 
s3a said:
I don't know what the thought process is for figuring that out. :(

Well, you get solutions that are exponentials and exponentials times trig functions. Which seems like the better choice to satisfy y(0)=0 and y(6)=0?
 
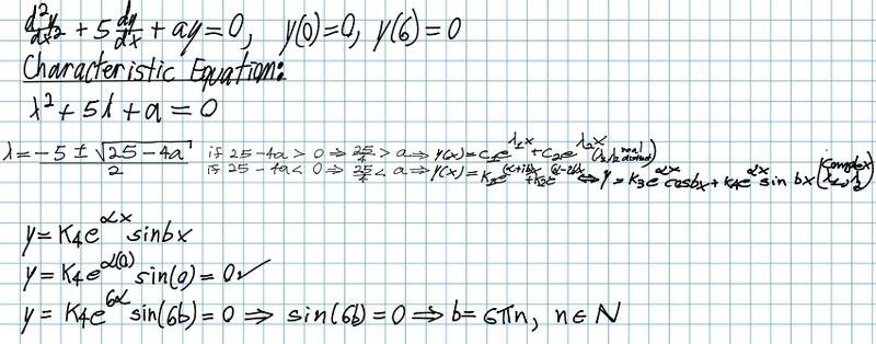
Well, having thought much more about, I am still confused but not as much and I'm thinking that if 25 - 4a > 0, both constants must be 0 which is not what we want so 25 - 4a < 0 must hold and then if I recall correctly from class (which is "cheating") then, I believe I must choose the trigonometric equation.

But, I was hoping you could tell me the ins and outs because, I learn best by reading solutions to things and then going "Aha!" and then forgetting and then coming back and getting another "Aha!" and then it makes intuitive sense and I never forget again.

Edit: Oh wait! I think I do see why it's the trigonometric equation!

So now k_3 = 0 and I have to do something with y = k_4 * e^(αx) * sin(bx), right? If so, what exactly must I do now?
 
s3a said:
Well, having thought much more about, I am still confused but not as much and I'm thinking that if 25 - 4a > 0, both constants must be 0 which is not what we want so 25 - 4a < 0 must hold and then if I recall correctly from class (which is "cheating") then, I believe I must choose the trigonometric equation.

But, I was hoping you could tell me the ins and outs because, I learn best by reading solutions to things and then going "Aha!" and then forgetting and then coming back and getting another "Aha!" and then it makes intuitive sense and I never forget again.

Edit: Oh wait! I think I do see why it's the trigonometric equation!

So now k_3 = 0 and I have to do something with y = k_4 * e^(αx) * sin(bx), right? If so, what exactly must I do now?

Right, now you are catching on. What kinds of values should b have in sin(bx) to make your boundary values work?
 
I fail to see what finding b will do without finding α.

Having said that, I found b = 6πn as can be seen in the attachment.
 

Attachments

  • MyWork.jpg
    MyWork.jpg
    48.6 KB · Views: 501
s3a said:
I fail to see what finding b will do without finding α.

Having said that, I found b = 6πn as can be seen in the attachment.

Once you know a value of b, you should be able to work back to find the corresponding value of a. 6*pi*n will work, but it's nowhere near the smallest value that will. How are you solving sin(bx)=0? What values can bx have?
 

Similar threads

  • · Replies 2 ·
Replies
2
Views
1K
  • · Replies 7 ·
Replies
7
Views
2K
  • · Replies 2 ·
Replies
2
Views
1K
  • · Replies 8 ·
Replies
8
Views
2K
  • · Replies 2 ·
Replies
2
Views
2K
  • · Replies 1 ·
Replies
1
Views
2K
  • · Replies 8 ·
Replies
8
Views
4K
  • · Replies 7 ·
Replies
7
Views
2K
  • · Replies 4 ·
Replies
4
Views
2K
Replies
6
Views
3K