Find the flux of this vector field

Click For Summary

Homework Help Overview

The original poster seeks assistance in finding the flux of a vector field through a specified surface, which is described as the upper nappe of a cone defined by the equation z = √(x² + y²), with z ranging from 0 to 1.

Discussion Character

  • Exploratory, Mathematical reasoning

Approaches and Questions Raised

  • Participants discuss the use of cylindrical coordinates to describe the surface and propose parametric equations for the surface. There is mention of performing a cross product and an integral as part of the solution process.

Discussion Status

Some participants have provided guidance on the integration process, suggesting the order of integration and noting that certain trigonometric functions may yield zero when integrated over the specified limits. There is no explicit consensus on the final approach or solution.

Contextual Notes

The discussion involves the interpretation of the vector field and the surface, with participants exploring different aspects of the problem setup and the implications of their chosen coordinate system.

asi123
Messages
254
Reaction score
0

Homework Statement



I need to find the flux of this vector field (in the pic) that goes through this plan (in the pic) and z goes from 0 to 1.
How am I suppose to do that?


Homework Equations





The Attempt at a Solution

 

Attachments

  • 2.jpg
    2.jpg
    4.6 KB · Views: 433
Physics news on Phys.org
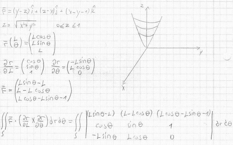
The surface is [itex]z= \sqrt{x^2+ y^2}[/itex], the upper nappe of a cone. In cylindrical coordinates, that is z= r. So good parametic equations would be [itex]x= r cos(\theta)[/itex], [itex]y= r sin(\theta)[/itex], [itex]z= r[/itex] which means that the vector equation would be
[itex]\vec{r}(r, \theta)= r cos(\theta)\vec{i}+ r sin(\theta)\vec{j}+ r \vec{k}[/itex]. Since z goes from 0 to 1, r goes from 0 to 1 and [itex]theta[/itex], of course, from 0 to [itex]2\pi[/itex].

Does that help?
 
HallsofIvy said:
The surface is [itex]z= \sqrt{x^2+ y^2}[/itex], the upper nappe of a cone. In cylindrical coordinates, that is z= r. So good parametic equations would be [itex]x= r cos(\theta)[/itex], [itex]y= r sin(\theta)[/itex], [itex]z= r[/itex] which means that the vector equation would be
[itex]\vec{r}(r, \theta)= r cos(\theta)\vec{i}+ r sin(\theta)\vec{j}+ r \vec{k}[/itex]. Since z goes from 0 to 1, r goes from 0 to 1 and [itex]theta[/itex], of course, from 0 to [itex]2\pi[/itex].

Does that help?

Check this out, is that what you meant?
 

Attachments

  • scan0002.jpg
    scan0002.jpg
    57.1 KB · Views: 479
Once you have done the cross product, and the integral, yes, that should be correct. I would recommend you do the integrations with respect to [itex]\theta[/itex] first. Most of those trig functions, integrated from 0 to [itex]2\pi[/itex] will give 0.
 
HallsofIvy said:
Once you have done the cross product, and the integral, yes, that should be correct. I would recommend you do the integrations with respect to [itex]\theta[/itex] first. Most of those trig functions, integrated from 0 to [itex]2\pi[/itex] will give 0.

10x a lot.
 
asi123 said:
10x a lot.

10-4 good buddy!
 

Similar threads

  • · Replies 1 ·
Replies
1
Views
2K
Replies
5
Views
1K
Replies
6
Views
2K
  • · Replies 6 ·
Replies
6
Views
2K
  • · Replies 4 ·
Replies
4
Views
2K
  • · Replies 2 ·
Replies
2
Views
2K
  • · Replies 3 ·
Replies
3
Views
2K
Replies
7
Views
2K
  • · Replies 5 ·
Replies
5
Views
2K
  • · Replies 5 ·
Replies
5
Views
2K