Find V(L) for Lumped vs distributive circuits

  • Context: Engineering 
  • Thread starter Thread starter nagr
  • Start date Start date
  • Tags Tags
    Circuits
Click For Summary

Discussion Overview

The discussion revolves around finding the voltage across a load (V(L)) in two different circuit configurations: a lumped circuit and a distributed circuit. Participants explore the implications of reflection in these circuits, the necessary parameters for calculations, and the equations relevant to both scenarios.

Discussion Character

  • Homework-related
  • Technical explanation
  • Debate/contested

Main Points Raised

  • One participant notes that in the first problem, reflection may be present due to the mismatch between load impedance (Zl) and characteristic impedance (Zo), despite initially thinking it could be ignored.
  • Another participant asserts that lumped circuits, by definition, do not involve reflections, suggesting a clear distinction between the two problems.
  • Participants discuss the equation relating load voltage to source voltage, with one mentioning the need to find the input impedance (Zin) to proceed with calculations.
  • There is a focus on the equations involving voltage at different points along the transmission line, including the relationship between V0+ and V0- through the reflection coefficient (Γ).
  • One participant expresses uncertainty about how to proceed without specific values for frequency and relative permittivity (εr), which complicates their calculations for L' and C'.
  • Another participant emphasizes the need to compute Zin and relate it to the source voltage to find V(L), referencing the voltage divider concept.

Areas of Agreement / Disagreement

Participants exhibit disagreement regarding the presence of reflections in the lumped circuit scenario, with some asserting that reflections are not relevant while others argue otherwise. The discussion remains unresolved as participants explore different equations and parameters without reaching a consensus.

Contextual Notes

Participants highlight limitations due to missing values such as frequency and εr, which affect their ability to calculate L' and C'. There is also uncertainty regarding the application of certain equations, particularly in relation to the definitions of lumped versus distributed circuits.

Who May Find This Useful

This discussion may be useful for students or individuals interested in circuit theory, particularly those studying the differences between lumped and distributed circuits and the implications of impedance mismatches.

nagr
Messages
5
Reaction score
0

Homework Statement


Find V(L) voltage across load
29384ki.png



Homework Equations


Vg=2cos(wt)
Zg=Zl=200
Zo=50
[itex]\Gamma[/itex]=[itex]\frac{Zl-Zo}{Zl+Zo}[/itex]
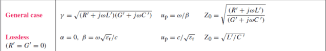
L'R'=με (all TEM lines)
μ0=4∏E-7
ε0=8.854E-12
11aycee.png


The Attempt at a Solution


Basically I think that with the 1st one, i don't have to deal with reflection or whatever. i could be wrong, since Zo does not equal Zl in both problems, which means there has to be reflection. but the equation I used for the 1st problem was in my book, and its similar to the voltage source equation. 2cos(wt-θ) where θ=wl/c. Since we have to graph V(L) for both as a function of length which is in terms of wavelength, this is also listed in book as θ=2∏*(l/λ). The only other thing that confuses me is that frequency is not given, so i can't find w. How can I vary both length (in terms of wavelength) and frequency, which is nowhere mentioned in the problem?? maybe i am doing this wrong.

for the 2nd problem. i think this is basically the same as the 1st one, except now we deal with reflection. since we also deal with R' L' G' C' (with R'=G'=0). the main breakthrough I've had with this problem is finding [itex]\Gamma[/itex]=0.6 which was easy. But i have no idea what to do from here. if I ASSUME that the relative permittivity is the same as in in air (that is εr=1) THEN i calculate R' L' using the equations Zo=50=sqrt(L'/C') and β=w*sqrt(L'C')=w*sqrt(με), and if i do that I get C'=6.671E-11 and L'=1.668E-7 but, i don't want to assume anything. can someone help me? i have the equations but there's no problem like this in my book, plus I am lacking values like frequency and εr, so I am not sure what exactly to do.
 
Last edited:
Physics news on Phys.org
1st problem: there is definitely reflection, not that that's important here.
What equation relates load voltage to source voltage with the given parameters w, L', C', l, RL, RG, Z0?

2nd problem: this is a lumped circuit. There are by definition no reflections with lumped circuits.
 
the only equation i see in my book is V(z)=V0+(e-jβz)+V0-(ejβz)
at the load voltage VL is at z=0 and given by V0+ + V0-
V0+/V0- are related to reflection coefficient by: V0- = [itex]\Gamma[/itex]V0+

to find V0+ i would have to find Zin. where Zin=Z0[(zL+jtanβl)/(1+j(zLtanβl)] where zL=ZL/Z0=4 and β=w*sqrt(L'C')=w*sqrt(με). So I have Zin=50[(4+jtanβl)/(1+j(4tanβl)] but i have trouble finding β without L' and C'. my book also has another equation β=2∏/λ but I am not sure if i should use that.
 
Last edited:
Your answer will include ω, L' and C', also l plus the given parameters Zg, ZL. You can't get numerical answers without those but you can compare V(0) for a transmission line vs. the lumped circuit.

You also have the relations in that post, plus β = ω√(L'C') and Z0 = √(L'/C').

Start with your equation from post 3 for V(z), solve for V(0) as function of V(l).

You then have to compute Zin since that forms a voltage divider with Zg. You have the formula for that too I see.

So V(l) = Vs[Zin/(Zin + Zg).

Then relate V(l) to V(0).
 
Last edited:

Similar threads

Replies
19
Views
3K
  • · Replies 2 ·
Replies
2
Views
2K
  • · Replies 2 ·
Replies
2
Views
2K
  • · Replies 28 ·
Replies
28
Views
4K
  • · Replies 19 ·
Replies
19
Views
2K
  • · Replies 5 ·
Replies
5
Views
3K
  • · Replies 2 ·
Replies
2
Views
5K
Replies
16
Views
4K
  • · Replies 4 ·
Replies
4
Views
2K
  • · Replies 4 ·
Replies
4
Views
2K