Finding the Length of a Polar Curve Using Desmos and the Arc Length Formula

Click For Summary

Homework Help Overview

The discussion revolves around finding the length of a polar curve defined by the equation \( r = \theta \) over the interval \( 0 \leq \theta \leq 4\pi \). Participants are using Desmos for graphing and attempting to apply the arc length formula for polar curves.

Discussion Character

  • Exploratory, Mathematical reasoning, Assumption checking

Approaches and Questions Raised

  • Participants discuss the application of the arc length formula and express confusion about the integration process. There are attempts to simplify the integral and questions about the correct interpretation of variables.

Discussion Status

Some participants have made progress in understanding the relationship between \( r \) and \( \theta \), while others are still questioning the proper handling of variable changes and integration limits. There is acknowledgment of a hint that has guided some towards a solution, but no explicit consensus has been reached.

Contextual Notes

Participants are navigating the complexities of polar coordinates and integration, with some expressing uncertainty about the implications of their substitutions and the definitions involved in the arc length formula.

opus
Gold Member
Messages
717
Reaction score
131

Homework Statement


Use Desmos to graph the spiral ##r=\theta## on the interval ##0\leq\theta\leq4\pi##, and then determine the exact length of the curve and a four decimal approximation.

Hint: ##\int \sec^3(x)dx=\frac{1}{2}\sec(x)tan(x)+\frac{1}{2}\ln\left|\sec(x)+\tan(x)\right|+C##

Homework Equations


Arc Length of a Polar Curve is given as:
$$\begin{align} S & = \int_\alpha^{\beta}\sqrt{\left[f(\theta)\right]^2+\left[f'(\theta)\right]^2}d\theta\\
& = \int_\alpha^{\beta}\sqrt{r^2+\left(\frac{dr}{d\theta}\right)^2}d\theta \end{align}$$

The Attempt at a Solution


I have attached the required graph from Desmos.

Right off the bat, I am stuck here.
I start off with ##S=\int_0^{4\pi}\sqrt{(\theta)^2 + (\theta')^2}## and this makes no sense.
I also tried using the identity ##r^2=x^2+y^2## but then it of course gave me a nasty polynomial in two variables as the integrand.

I'm not seeing where this hint is coming into play.
Any ideas?
 

Attachments

  • Screen Shot 2019-03-21 at 11.59.39 PM.png
    Screen Shot 2019-03-21 at 11.59.39 PM.png
    7.9 KB · Views: 410
Physics news on Phys.org
What is ##d\theta/d\theta##?
Also: Change of integration variables...
 
  • Like
Likes   Reactions: opus
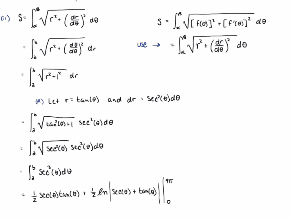
Ok I see it now I think, but I'm a little shaky on the nuances here.

From your hint, I got rid of the ##S = \int_\alpha^{\beta}\sqrt{\left[f(\theta)\right]^2+\left[f'(\theta)\right]^2}d\theta## and replaced it with ##\int_\alpha^{\beta}\sqrt{r^2+\left(\frac{dr}{d\theta}\right)^2}d\theta##
From here, ##\int_\alpha^{\beta}\sqrt{r^2+\left(\frac{d\theta}{d\theta}\right)^2}d\theta = \int_\alpha^{\beta}\sqrt{r^2+1}d\theta##
Then I let ##r=\tan(\theta)## and make the appropriate trigonometric substitutions and I get what's given in the hint.

Now for the "nuances" I mentioned, I am unsure exactly what to do with the interplay between the ##r## and ##\theta## here. What I did in my work, which I will post as an image, is kind of swap the r's for the theta's, and change the limits of integration from ##\alpha## and ##\beta## to ##a## and ##b##. I'm really not sure how to handle this in a mathematically proper way.

If you wouldn't mind having a look at my work in the image to see what I mean (kind of hard to explain in words), could you guide me in the right direction on how the notation/change of variables needs to be handled appropriately?
 

Attachments

  • Screen Shot 2019-03-22 at 1.04.19 AM.png
    Screen Shot 2019-03-22 at 1.04.19 AM.png
    30.9 KB · Views: 435
No, that is not correct, ##r = \theta##, not ##\tan\theta##.
 
  • Like
Likes   Reactions: Delta2 and opus
Ahhh I see what you mean. It wasn't pretty, but looks like my solution matches the answer key now. Thank you!
 
To show my work in helps of connecting the two threads:
Starting from ##\int_0^{4\pi}\sqrt{\theta^2+1}d\theta##,
Using u-substitution,
Let ##\theta=\tan(u)## and ##d\theta=\sec^2(u)du##

##\int_0^{\tan^{-1}{4\pi}}\sqrt{\tan^2(u)+1}\sec^2(u)du##
##=\int_0^{\tan^{-1}{4\pi}}\sec^3(u)du##
Which is followed by some messy algebra and trigonometry that evaluates approximately to 80.8.
 

Similar threads

  • · Replies 3 ·
Replies
3
Views
2K
  • · Replies 19 ·
Replies
19
Views
3K
  • · Replies 1 ·
Replies
1
Views
2K
  • · Replies 2 ·
Replies
2
Views
2K
  • · Replies 10 ·
Replies
10
Views
2K
  • · Replies 14 ·
Replies
14
Views
2K
Replies
3
Views
2K
  • · Replies 1 ·
Replies
1
Views
2K
  • · Replies 2 ·
Replies
2
Views
2K
Replies
3
Views
2K