Finding the particular solution to an ODE with set boundary conditions.

Click For Summary

Homework Help Overview

The discussion revolves around finding a particular solution to an ordinary differential equation (ODE) with specified boundary conditions. Participants are exploring the implications of these conditions and the form of the general solution.

Discussion Character

  • Exploratory, Conceptual clarification, Mathematical reasoning, Assumption checking

Approaches and Questions Raised

  • Participants discuss the correct form of the homogeneous solution and the implications of boundary conditions. There are attempts to differentiate the general solution and substitute boundary conditions to derive simultaneous equations. Questions arise regarding the use of complex coefficients and the validity of certain transformations.

Discussion Status

The discussion is active, with participants providing corrections and suggestions for reformulating the solution. Some participants are questioning the necessity of complex coefficients and exploring alternative representations of the solution.

Contextual Notes

There are indications of confusion regarding the boundary conditions and the nature of the coefficients in the solution. Participants are navigating through the implications of using complex numbers in their solutions.

Jack_O
Messages
64
Reaction score
0

Homework Statement



80234296.jpg


Homework Equations



N/A

The Attempt at a Solution



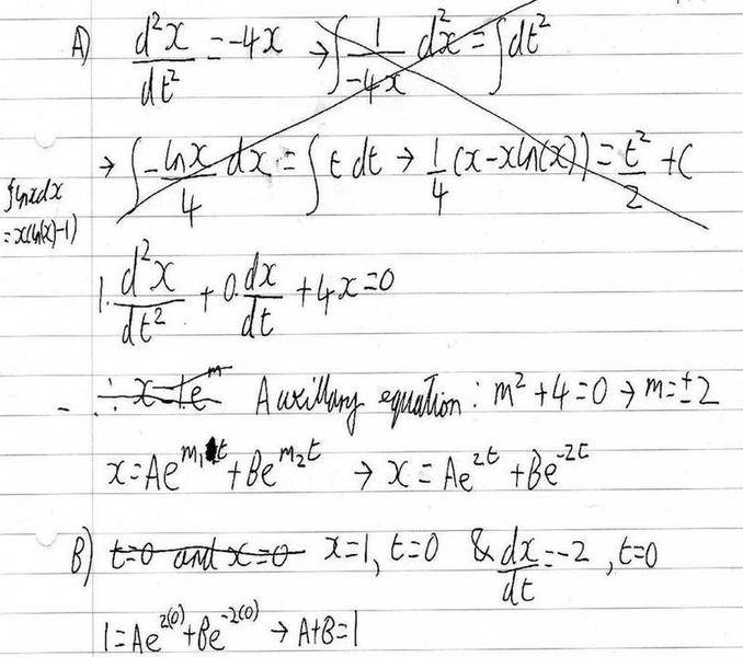
5184b1eb.jpg


The problem and attempt are as above, I'm not sure where to go from here though. I'm not sure what to do with the boundary condition of dx/dt=-2 and t=0.
Any help appreciated.
 
Physics news on Phys.org
The answer to your auxiliary equation is wrong, m=+/- 2i not +/- 2 so the homogeneous solution is of the form [tex]x_{h}=C_{1}cos(2t)+C_{2}Sin(2t)[/tex]
 
Thanks for pointing that out, I've had another go and realized i needed to differentiate the general solution and then sub in the other boundaries to get the other simultaneous equation. My completed solution looks like this:

742403f1.jpg


I have also done part c), got the answer x=(i/sqrt3)[-e^(2it)+e^(-2it)]
 
make your solution without complex coefficients so [tex]y_{h}=C_{1}sin2t+C_{2}cos2t[/tex]

then work out the result [tex]C_{1}sin0+C_{2}cos0=1[/tex]
[tex]C_{2}=1[/tex]

[tex]y_{h}'=2C_{1}cos2t-2C_{2}sin2t[/tex]

[tex]2C_{1}cos0-2C_{2}0=-2[/tex]

[tex]-2C_{1}-2=-2[/tex]

[tex]C_{1}=0[/tex]...
 
If i use Euler's formula to sub out e^(2it) for cos(2t)+i*sin(2t) won't i still be left with complex coefficients? Their are complex numbers in the (1+i) term. I don't see how i can cancel out all the complex numbers.
 

Similar threads

Replies
3
Views
2K
  • · Replies 1 ·
Replies
1
Views
1K
  • · Replies 8 ·
Replies
8
Views
2K
Replies
6
Views
2K
  • · Replies 1 ·
Replies
1
Views
2K
  • · Replies 1 ·
Replies
1
Views
2K
  • · Replies 8 ·
Replies
8
Views
4K
  • · Replies 4 ·
Replies
4
Views
3K
  • · Replies 4 ·
Replies
4
Views
3K
Replies
0
Views
1K