Finding the velocity of flow described by a vector field

Click For Summary

Homework Help Overview

The discussion revolves around a problem involving a surface in xyz-space defined parametrically and a fluid flow described by a velocity potential. Participants are tasked with finding the velocity of the flow and evaluating it at a specific point.

Discussion Character

  • Exploratory, Assumption checking, Problem interpretation

Approaches and Questions Raised

  • Participants are attempting to understand how to derive the velocity from the given potential and are questioning the validity of the solution provided for evaluating the velocity at a specific point. There is confusion regarding the summation of different equations into a single numerical value without a clear explanation of the underlying principles.

Discussion Status

Some participants have expressed doubts about the correctness of the solution, particularly regarding the interpretation of velocity as a scalar rather than a vector. Clarifications are being sought about the representation of the surface and the calculations involved.

Contextual Notes

There are indications of missing information in the parametric representation of the surface, which may affect the understanding of the problem. Participants are also addressing the potential misinterpretation of the velocity vector's magnitude.

Snoldermus
Messages
3
Reaction score
1

Homework Statement


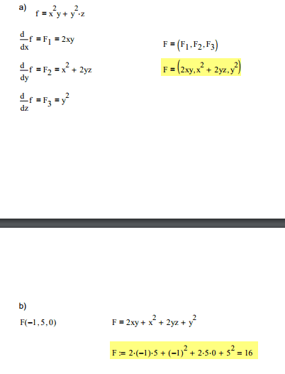
Consider the surface, S, in the xyz-space with the parametric representation: S: (, ) = [cos() , sin() , ] −1/2 ≤ ≤ 1/2 0 ≤ ≤ os().
The surface is placed in a fluid with the velocity potential f of a flow: = y*^2 + z*^2
a) Find the velocity of the flow described by a vector field (, , ).

b) What is the velocity at the point = (−1,5,0)

Homework Equations

The Attempt at a Solution



so this is the solution given for a and b, however i don't understand the answer at b. How can the different equations just be summed into one number, i would understand it if was squared--> then taken the sum of the numbers --> then taken the squareroot. Can anyone confirmed that this solution is wrong?[/B]
upload_2017-12-30_0-59-2.png
 

Attachments

  • upload_2017-12-30_0-58-51.png
    upload_2017-12-30_0-58-51.png
    5.1 KB · Views: 614
  • upload_2017-12-30_0-59-2.png
    upload_2017-12-30_0-59-2.png
    5.1 KB · Views: 502
Physics news on Phys.org
Snoldermus said:
parametric representation: S: (, ) = [cos() , sin() , ] −1/2 ≤ ≤ 1/2 0 ≤ ≤ os().
Please clarify the surface S(,) and missing arguments for cosine, sine and the z coordinate.
 
Sry, i copied it and it messed it up a bit, thought i fixed it though here is a picture should be clear
upload_2017-12-30_1-57-38.png
 

Attachments

  • upload_2017-12-30_1-57-38.png
    upload_2017-12-30_1-57-38.png
    10.8 KB · Views: 474
Velocity is a vector, so just saying that velocity is 16 seems to be wrong.

Also the magnitude of the velocity vector at that point is not 16.
 
  • Like
Likes   Reactions: scottdave
Thanks :) what i thought aswell
 
  • Like
Likes   Reactions: Delta2

Similar threads

  • · Replies 5 ·
Replies
5
Views
2K
  • · Replies 1 ·
Replies
1
Views
3K
  • · Replies 10 ·
Replies
10
Views
2K
  • · Replies 10 ·
Replies
10
Views
2K
Replies
5
Views
1K
  • · Replies 8 ·
Replies
8
Views
2K
  • · Replies 3 ·
Replies
3
Views
1K
  • · Replies 2 ·
Replies
2
Views
2K
  • · Replies 4 ·
Replies
4
Views
2K
Replies
2
Views
2K