Fluid mechanics - Linearized shallow water equations

Click For Summary
SUMMARY

The discussion focuses on deriving the wave equation from the linearized shallow water equations in a one-dimensional setup. The governing equations include momentum and mass continuity, represented as (1) and (2). The user seeks clarification on eliminating the disturbance term u' to arrive at the wave equation (3). Ultimately, the user successfully finds the intermediate steps required for this derivation, indicating a resolution to their initial query.

PREREQUISITES
  • Understanding of linearized shallow water equations
  • Familiarity with momentum and mass continuity equations
  • Knowledge of partial derivatives and their notation
  • Basic concepts of wave equations in fluid mechanics
NEXT STEPS
  • Study the derivation of wave equations from fluid dynamics principles
  • Explore the implications of neglecting terms in fluid mechanics equations
  • Learn about the stability analysis of shallow water equations
  • Investigate numerical methods for solving shallow water equations
USEFUL FOR

Students and professionals in fluid mechanics, particularly those focusing on shallow water equations and wave dynamics, will benefit from this discussion.

kmot
Messages
7
Reaction score
1
Hi,

In a text describing solution to linearized shallow water equations, I am not able to move forward.

It's a 1 dimensional shallow water setup. There is a steady state
1608989852741.png
(velocity) and
1608989862952.png
(height of free surface). On top of this steady state there are u' and h' as disturbances. The goal is to solve for h'(x,t)

1608989771671.png


The governing equations are:
(1)
1608989324189.png
(momentum)
(2)
1608989337300.png
(mass continuity)

Subscripts denote partial derivatives.

The text says these two can be combined to arrive at wave equation, without providing further details of how:
(3)
1608989399570.png


But with anything I tried I wasn't able to eliminate u' completely. I'm always left with a term including u' in (3). Perhaps the term that can't be eliminated can be neglected, but I don't see why.

Would somebody be willing to provide a step by step guide how to go from (1) & (2) to (3), including reasoning of why something can be neglected (if neglecting is needed)?

Thank you very much
 
Last edited:
Physics news on Phys.org
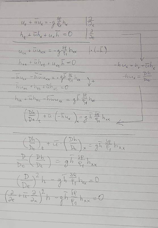
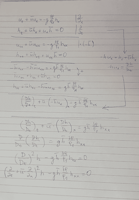
I found the solution. Here are the intermediate steps
1609003715700.png
 
  • Like
Likes   Reactions: boneh3ad

Similar threads

  • · Replies 6 ·
Replies
6
Views
2K
  • · Replies 18 ·
Replies
18
Views
3K
Replies
11
Views
1K
  • · Replies 3 ·
Replies
3
Views
2K
  • · Replies 48 ·
2
Replies
48
Views
5K
Replies
6
Views
2K
  • · Replies 11 ·
Replies
11
Views
3K
  • · Replies 6 ·
Replies
6
Views
1K
  • · Replies 13 ·
Replies
13
Views
3K
  • · Replies 3 ·
Replies
3
Views
2K