Fourier series expansion. Find value of a term in expansion

Click For Summary
SUMMARY

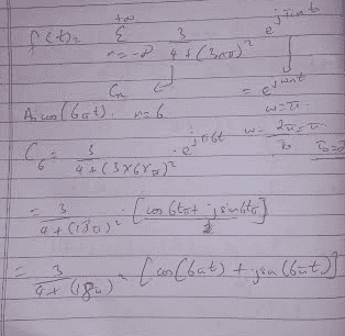
The discussion centers on the Fourier series expansion of a signal f(t) defined as f(t) = summation (n = -inf to n = +inf) [3/(4+(3n pi)²) * e^(j pi n t). The value of the term A0cos(6 pi) is derived from the coefficients of the expansion, specifically using the formula for Cn, which involves integration over T0. The confusion arises from the calculation of the sine term A0sin(6 pi t), where it is established that the coefficient bn equals zero for n = 6, leading to the conclusion that A0sin(6 pi t) is also zero due to the properties of the sine function.

PREREQUISITES
  • Understanding of Fourier series and their mathematical representation
  • Familiarity with complex exponentials and Euler's formula
  • Knowledge of integration techniques in the context of signal processing
  • Basic trigonometric identities and properties of sine and cosine functions
NEXT STEPS
  • Study the derivation of Fourier coefficients in detail
  • Learn about the implications of symmetry in Fourier series expansions
  • Explore the relationship between sine and cosine terms in Fourier series
  • Investigate the application of Fourier series in signal processing and communications
USEFUL FOR

Students and professionals in electrical engineering, applied mathematics, and physics who are working with signal analysis and Fourier series expansions.

jaus tail
Messages
613
Reaction score
48

Homework Statement


Fourier series expansion of a signal f(t) is given as
f(t) = summation (n = -inf to n = +inf) [3/(4+(3n pi)2) ) * e j pi n t

A term in expansion is A0cos(6 pi )
find the value of A0

Repeat above question for A0 sin (6 pi t)

Homework Equations


Fourier expansion is summation n = -inf to +inf Cn ejwnt
where Cn is Integration over T0 x(t) e-jwnt dt

The Attempt at a Solution


upload_2017-1-28_15-14-27.png

In book they've said Cn is right.
But then they say an is 2 times real part of Cn
and have done an = 6/[4 + (18 pi)2

For third part they've put A0sin (6 pi t) = bn sin (n w t)
and for n = 6, this is zero.

I didn't understand this part. Why did they multiply it by 2 first and then how did it become zero in the second.

I understand that sin ( 6 pi) is zero but how can sin ( 6 pi t) be zero? Wouldn't this vary as 't' varies?[/B]
 
Physics news on Phys.org
The coefficients of [itex]\cos n\pi t[/itex] and [itex]\sin n\pi t[/itex] come not just from [itex]c_n[/itex], but also [itex]c_{-n}[/itex]: [tex] c_ne^{i n\pi t} + c_{-n}e^{-in\pi t} = (c_n + c_{-n})\cos n\pi t + i(c_n - c_{-n})\sin n\pi t[/tex]
 
  • Like
Likes   Reactions: jaus tail
Oh yeah. Thanks. I didn't think about C-n.
 

Similar threads

  • · Replies 1 ·
Replies
1
Views
2K
  • · Replies 3 ·
Replies
3
Views
2K
  • · Replies 1 ·
Replies
1
Views
2K
  • · Replies 3 ·
Replies
3
Views
2K
  • · Replies 2 ·
Replies
2
Views
1K
  • · Replies 3 ·
Replies
3
Views
2K
  • · Replies 16 ·
Replies
16
Views
2K
  • · Replies 1 ·
Replies
1
Views
2K
  • · Replies 2 ·
Replies
2
Views
2K
  • · Replies 8 ·
Replies
8
Views
3K