Gaussian integral to polar coordinates - limit help?

Click For Summary

Discussion Overview

The discussion revolves around the conversion of the Gaussian integral to polar coordinates, specifically focusing on the limits of integration when changing from Cartesian to polar coordinates. Participants explore the implications of these conversions for different ranges of integration, including from negative to positive infinity and from zero to infinity, as well as the potential for using polar coordinates in finite domains.

Discussion Character

  • Exploratory
  • Technical explanation
  • Debate/contested
  • Mathematical reasoning

Main Points Raised

  • One participant expresses confusion about why the limits become π/2 when integrating from 0 to ∞, while they become 0 to 2π when integrating from -∞ to ∞.
  • Another participant explains that the entire plane corresponds to r going from 0 to infinity and θ from 0 to 2π in polar coordinates.
  • A participant notes that when squaring the original integral from 0 to ∞, it corresponds to integrating over the first quadrant, leading to a result that is 1/4 of the integral over the entire plane.
  • There is a suggestion that the double integration with polar coordinates may not be useful for finite domains that are not circular, as it could complicate the integration process.
  • One participant questions whether polar integration can be applied to integrals with finite limits, such as from -6 to 3, and expresses a preference for numerical methods if polar coordinates complicate the process.
  • Another participant confirms the reasoning behind the use of 2π for the entire polar plane when squaring the integral from -∞ to ∞.

Areas of Agreement / Disagreement

Participants generally agree on the reasoning behind the limits of integration in polar coordinates for the Gaussian integral, but there remains uncertainty regarding the application of polar coordinates to finite domains and the implications of squaring the integral.

Contextual Notes

Some participants mention that the result of certain integrals cannot be expressed in terms of elementary functions and may require special functions or numerical methods, highlighting limitations in the approach discussed.

maistral
Messages
235
Reaction score
17
I'm trying my very best to understand it, but really, I just couldn't get it. I read four books now, and some 6 pdf files and they don't give me a clear cut answer :(

Alright, so this integral;
∫e-x2dx from -∞ to ∞, when converted to polar integral, limits become from 0 to 2∏ for the outer integral, then 0 to ∞ for the inner integral.

What I don't understand is, why is it if the original integral is ∫e-x2dx from 0 to ∞, the outer integral's limits become ∏/2? Why is it not ∏?

Further, what if I need to integrate the same function, say from 0 to 1? Will polar integration help me? If it does, what will happen?

Thanks and more power guys.
 
Physics news on Phys.org
Oh, to add: I know the "apparent magic" that is supposed to happen here (The double integral thing by assigning the entire integral to a since variable, say I then squaring it, then the dummy variable thing, then convert dxdy to rdrd(theta)), but what I really don't get is the polar conversion of the limit. Thanks. :D
 
So the region is all of the plane, so you started with the rectangular limits, x and y each go from negative to positive infinity.

In polar coordinates, that (entire plane) corresponds to r going from 0 to infinity, while theta goes from 0 to 2pi.
 
So if your original integral goes from 0 to infty, then you square it and get an integral over the part of the plane where both x and y go from 0 to infty. In other words, it is just over the first quadrant. And your calculated integral is 1/4 what you would have computed over the whole plane. So when you take the square root, you get 1/2 of the original integral that went from -infty to infty as expected.
 
Thanks, I got it now why was it ∏/2.

I couldn't get the explanation why did it became 2∏ when integrating from -∞ to ∞, though.

Is it because, if my original integral goes from -∞ to ∞, then I square it, it would generate an area from -y to y axis, and -x to x axis? And since that is basically the entire Cartesian plane, I have to use 2∏ which is also the entire Polar plane? I don't know, I'm just building it from the ∏/2 example.

A little follow up too, will this double integration w/ polar coordinates can solve integrals like, say, ∫e-x2dx from -6 to 3? I wanted accurate answers, but if it's too much hassle I guess I'm better off with the trapezoidal technique with very small stepsizes. Thanks guys.
 
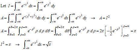
Hi !
(details of integrations in attachment)
 

Attachments

  • Gauss Integral.JPG
    Gauss Integral.JPG
    11.3 KB · Views: 3,552
maistral said:
A little follow up too, will this double integration w/ polar coordinates can solve integrals like, say, ∫e-x2dx from -6 to 3? I wanted accurate answers, but if it's too much hassle I guess I'm better off with the trapezoidal technique with very small stepsizes. Thanks guys.

Of course, in case of a finite domain of integration, if it is not circular, but rectangular, the polar coordinates are of no use : Integration would be much too complicated.
Even with cartesian coordinates, the result cannot be expressed in terms of a finite number of elementary functions. It requiers infinite series or, on closed form, a special function namely the erf function (see attachment)
Numerical values for the erf function are provided by numerical calculus softwares.
Efficient algorithms can be found on the web. For example, an algorithm for erf computation is shown on page 14 of the paper "Régressions et équations intégrales" :
http://www.scribd.com/JJacquelin/documents
 

Attachments

  • Erf.JPG
    Erf.JPG
    2 KB · Views: 758
Last edited:
Oh! Thanks very much for the help. :D

And yeah, just to confirm, is my thinking "correct"?

Is it because, if my original integral goes from -∞ to ∞, then I square it, it would generate an area from -y to y axis, and -x to x axis? And since that is basically the entire Cartesian plane, I have to use 2∏ which is also the entire Polar plane? I don't know, I'm just building it from the ∏/2 example.

I just wanted to be sure. :D
 
Yes, it is correct.
 

Similar threads

  • · Replies 4 ·
Replies
4
Views
2K
  • · Replies 4 ·
Replies
4
Views
2K
  • · Replies 4 ·
Replies
4
Views
2K
  • · Replies 6 ·
Replies
6
Views
3K
  • · Replies 1 ·
Replies
1
Views
3K
  • · Replies 19 ·
Replies
19
Views
5K
  • · Replies 5 ·
Replies
5
Views
2K
  • · Replies 12 ·
Replies
12
Views
3K
  • · Replies 8 ·
Replies
8
Views
3K
  • · Replies 31 ·
2
Replies
31
Views
5K