Heat Capacity of a Van Der Waals' gas in an Open system

Click For Summary

Homework Help Overview

The discussion revolves around the heat capacity of a Van der Waals' gas in an open system, with references to the grand potential and entropy calculations. Participants are exploring the complexities of deriving heat capacities from thermodynamic principles, particularly in relation to ideal gases and the Sackur-Tetrode equation.

Discussion Character

  • Exploratory, Conceptual clarification, Mathematical reasoning, Problem interpretation

Approaches and Questions Raised

  • Participants discuss the calculation of heat capacities, the role of entropy, and the assumptions regarding the particle number as a function of temperature. There are attempts to relate the Van der Waals' gas behavior to ideal gas equations and to derive expressions for isobaric heat capacity.

Discussion Status

Some participants have identified mistakes in their calculations and have adjusted their approaches based on feedback. There is an ongoing exploration of the relationship between different thermodynamic quantities, but the discussion remains open without a definitive resolution regarding the complexities of the Van der Waals' gas.

Contextual Notes

Participants note the challenges posed by the complexity of the Van der Waals' gas compared to ideal gases, and there are references to specific equations and definitions that are being scrutinized. The context includes constraints from textbook problems and the nature of the homework assignment.

Astrocyte
Messages
15
Reaction score
4
Homework Statement
Find Cp-Cv for Van Der Waals' Gas
Relevant Equations
Grand Partition Function, Grand potential.
In our class, we're using Wassermann's Thermal physics as textbook.
I always try to solve all question which included in Text book.
But sometime when I meet a problem that look like easy but actually hard, I'm so embarrassed.
This problem do also.

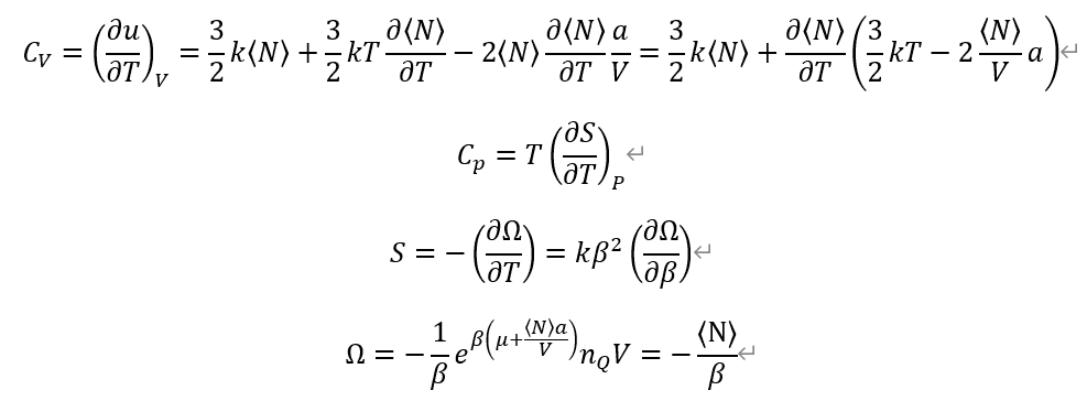
First, in the textbook grand potential for van der Waals' gas is
1603535055780.png

Next, I calculated routinely, but it's so complex.
The internal energy come from previous problem. I guess it's right.
1603535158385.png

From definition of each Heat capacities. And, Entropy from Grand potential Omega.
I used previous calculation on average particle number <N>.
<N>=exp( \beta (\mu + <N>a/V))*n_Q*V
Also, n_Q is quantum concentration, which come from Ideal gas partition function, and define (m/(2*\pi*\hbar^2*\beta)^3/2
So, n_Q also depends on \beta or Temperature T.
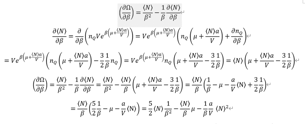
1603535178643.png

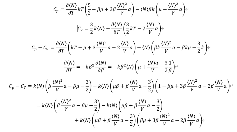
1603535213417.png

1603535257563.png

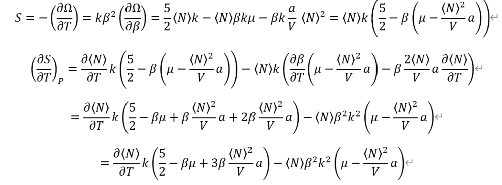
Entropy is so complex.
1603535626052.png

And I given up, because it's so complex for calculating by hand.
Where am I wrong?
 
Physics news on Phys.org
Well, one thing you're doing wrong is assuming N is a function of T.
 
  • Like
Likes   Reactions: Astrocyte
To find where i wrong, I tried to solve isobaric heat capacity in ideal gas.
So, I got entropy. it's the Sackur-Tetrode equation.
$$S=\braket{N} k[\frac{5}{2}-\beta\mu], when \;\mu \; is\; chemical\; potential.$$
it's same with
$$S=\braket{N}k[5/2-\ln{\frac{ \braket{N}}{(n_Q*V)} } ].$$
The definition of isobaric heat capacity is
$$C_{p}=T(\frac{\partial {S}}{\partial {T}})_{p},$$.
As we know, isobaric heat capacity in ideal gas is
$$C_{P}=\frac{5}{2} Nk.$$
But, I cannot prove it also...
I tried
$$C_{p}=T(\frac{\partial {S}}{\partial {T}})_{p,N}$$
It didn't work...
 
Are you familiar with the following equation for an arbitrary equation of state:

$$C_p-C_v=T\left(\frac{\partial V}{\partial T}\right)_P\left(\frac{\partial P}{\partial T}\right)_V$$
 
  • Like
Likes   Reactions: Astrocyte
Thanks!

I have checked all of my equation... And, I found several mistakes.

By your feedback, I tried it without derivative of N respective of T.

And I got a right Cp value. 5/2 Nk.

And also I will try the equation you gave me.

Really Really Thank you. :D
 
Astrocyte said:
Thanks!

I have checked all of my equation... And, I found several mistakes.

By your feedback, I tried it without derivative of N respective of T.

And I got a right Cp value. 5/2 Nk.

And also I will try the equation you gave me.

Really Really Thank you. :D
That Cp value is only for an ideal gas, right?
 
  • Like
Likes   Reactions: Astrocyte
Chestermiller said:
That Cp value is only for an ideal gas, right?

Yes. I only tried it about Cp value, because the van Der Waals gas's one is so complicated.
In addition, that Cp value come from
$$ \ln{\frac{⁡⟨N⟩}{nQV}} = \ln{\frac{⁡⟨N⟩βP}{nQ⟨N⟩}} = ln⁡{\frac{βP}{n_Q}} $$

in Entropy term.
And fortunately, In my midterm, my professor didn't ask about heat capacity, and Van der Waals' gas.
 

Similar threads

Replies
1
Views
2K
Replies
6
Views
3K
  • · Replies 8 ·
Replies
8
Views
3K
  • · Replies 23 ·
Replies
23
Views
12K
  • · Replies 6 ·
Replies
6
Views
4K
  • · Replies 7 ·
Replies
7
Views
3K
  • · Replies 1 ·
Replies
1
Views
3K
  • · Replies 8 ·
Replies
8
Views
3K
Replies
1
Views
2K
  • · Replies 3 ·
Replies
3
Views
9K