Height to time equation: water cylinder with pinhole

Click For Summary

Discussion Overview

The discussion revolves around deriving a relationship between the height of water in a cylinder with a pinhole and the time it takes for the water to flow out. Participants explore equations related to fluid dynamics, specifically focusing on weight flow rate and how it changes over time as the height of water decreases. The conversation includes attempts to integrate and differentiate equations to express height as a function of time.

Discussion Character

  • Exploratory
  • Technical explanation
  • Mathematical reasoning
  • Debate/contested

Main Points Raised

  • Jonathan presents an equation for weight flow rate and seeks to relate height to time, suggesting a form like h = kt.
  • Another participant asks about the weight of liquid in the tank as a function of time, indicating a need for clarity on the relationship between height and flow rate.
  • Jonathan expresses confusion about integrating a specific equation and requests clarification on the steps involved.
  • Participants discuss the derivation of height as a function of time, with Jonathan attempting to manipulate the equations to isolate height.
  • There is a proposal to rewrite the equation to facilitate integration, leading to further discussions about the integration process.
  • Participants explore the implications of initial conditions and constants of integration in their equations.
  • Jonathan shares experimental data and calculations related to the slope and intercept of a graph plotting height against time.
  • There is a discussion about the accuracy of the calculated discharge coefficient and the potential errors in the area measurements of the pinhole and tank cross-section.
  • Participants question the inclusion of constants in their equations and explore the implications of missing factors like π in their area calculations.

Areas of Agreement / Disagreement

Participants express various viewpoints on the integration steps and the accuracy of their calculations. There is no consensus on the correct approach to derive height as a function of time, and multiple competing interpretations of the equations and constants exist throughout the discussion.

Contextual Notes

Participants acknowledge the complexity of integrating the equations and the potential for errors in measurements, particularly regarding the area of the pinhole and the cross-sectional area of the tank. The discussion reflects a mix of exploratory reasoning and technical challenges without resolving the underlying mathematical uncertainties.

Jonathan Densil
Messages
49
Reaction score
0
Hi guys,

I was just doing an experiment with relating the weight flow rate of water out of cylinder with a pin hole at the bottom. The equation that I put together was: $$\dot{W}=\rho g C_d A \sqrt{2gh}$$ ##\dot{W}## is the weight flow rate, ##\rho## is the density of water, ##g## is the acceleration due to gravity, ##C_d## is the coefficient of discharge of the orifice, ##A## is the area of the orifice, ##h## is the height of the water above the hole. The problem that I am facing is that the weight flow rate changes with time along with the height of the water. Thus, I thought that if I can find an equation for the height as it relates to time, I can plug it into the equation above, and my equation would be complete. I also need to see how you got to whatever equation makes sense. I am looking for something like: ##h = kt##. As in k can be any function including any variables that make sense. I believe this requires derivatives and integrals so don't be afraid to include and explain them.

Thank you very much for your help.
Jonathan
 
Engineering news on Phys.org
If ##A_x## is the cross sectional area of the tank and h(t) is the height of liquid in the tank, what is the weight of liquid in the tank at any time?
 
The weight of the water in the bottle changes in relation to time. At 11.06 seconds, it is 10.51481546 N, at 46.18 seconds, it is 5.507255163 N. The ##A## in the equation above is the area of the hole. I was hoping to include the ##A_x## in the height-time equation. This is what Wikipedia gave:

Now,
3a8d6169bfcaad15b3368f7709400d75.png
where A and a are the cross sections of container and tube respectively, dh is the height of liquid in container corresponding to dx in the tube which decreases in same time dt.
db7e67a23640989fd765cc4ea061eaf7.png

2d15cfc92ff3e844b674bca0e0b7da16.png

843aaa5948420f8c9e3237089a36a50f.png

25d2e4208b8f845fe67918061931c1e3.png

c2dafac728b624e1933984f44ec09dba.png

a3f81f8dd4e5ef2bad91ebce74acbbb0.png

I guess this makes sense if you are solving for time. I want to solve for height. First of all, I don't know where the ##\frac{Adh}{a\sqrt(2gh)}## came from. Second of all, I don't understand how they integrated ##\int\frac{Adh}{a\sqrt(2gh)}##, did they move the dh in the numerator out to become ##\int\frac{A}{a\sqrt(2gh)}dh##? If what they have done is right, then can you please rearrange and solve the derivative and integral in terms of height and show steps, and if it is not right then can you please propose and explain your solution Thank you for your help,

Jonathan
 
Well, I guess I'll have to answer my own question.

$$W=\rho g A_xh$$So,$$\frac{dW}{dt}=\rho g A_x\frac{dh}{dt}=-\rho g C_DA\sqrt{2gh}$$
This gives me:$$\frac{dh}{dt}=-\frac{A}{A_x}C_D\sqrt{2gh}$$
Do you know how to solve this equation for h as a function of t, subject to the initial condition h = h0 at t = 0?
 
Thank you very much for your help, I really do appreciate it but, if I am talking complete nonsense it is because I am in Grade 11 and teaching myself calculus on my own time. So...please bear with me. I'm not sure how to deal with the initial conditions that you set but, I think what you can do is multiply both sides by dt and take the integral of both sides, exposing the height on the left.
$$dh=-\frac{A}{A_x}dtC_D\sqrt{2gh}$$
$$\int dh=\int-\frac{A}{A_x}dtC_D\sqrt{2gh}$$ This would give...
$$h= ...something\ t\ something...$$
I also wanted to get rid of the h under the root sign, and just have h = some function and variables and t.
I know that this isn't solved or probably anywhere close to what you wanted but this, this is as far as I have gone, after which I don't know how to proceed. If I am at least on the right track, please say so and if I am not, please correct me. Thank you again for your patience.

Jonathan
 
Suppose I rewrote the equation as $$h^{-1/2}dh=-\frac{A}{A_x}C_D\sqrt{2g}dt$$
Could you integrate each side of the equation then, at least as an indefinite integral (i.e., with an arbitrary constant)?
 
Would this be:
$$\int \frac{dh}{\sqrt{h}} =\int -\frac{A}{A_x}C_D\sqrt{2g}dt$$ By factoring constants:
$$\int \frac{dh}{\sqrt{h}} = -\frac{A}{A_x}C_D\sqrt{2g}\int dt$$ Solving:
$$ 2\sqrt{h} = -\frac{A}{A_x}C_Dt\sqrt{2g}$$ Solving for h:
$$ h = \frac{2gt^2A^2C_D^2}{4A_x^2}$$
Did I do this correctly?
 
Jonathan Densil said:
Would this be:
$$\int \frac{dh}{\sqrt{h}} =\int -\frac{A}{A_x}C_D\sqrt{2g}dt$$ By factoring constants:
$$\int \frac{dh}{\sqrt{h}} = -\frac{A}{A_x}C_D\sqrt{2g}\int dt$$ Solving:
$$ 2\sqrt{h} = -\frac{A}{A_x}C_Dt\sqrt{2g}$$ Solving for h:
$$ h = \frac{2gt^2A^2C_D^2}{4A_x^2}$$
Did I do this correctly?
Not quite. You left out the constant of integration:
$$ 2\sqrt{h} = -\frac{A}{A_x}C_Dt\sqrt{2g}+C$$
To determine the constant of integration, you need to substitute the initial condition into this equation. What do you get for C? When you substitute this back into the equation for arbitrary h, what do you get then?
 
When ##h = h_0##, ##t = 0##, and ##h_0 = 0.14## m, I get ##C = 2\sqrt{0.14}## or ##\frac{\sqrt{14}}{5}## or ##0.7483314774##
 
  • #10
Jonathan Densil said:
When ##h = h_0##, ##t = 0##, and ##h_0 = 0.14## m, I get ##C = 2\sqrt{0.14}## or ##\frac{\sqrt{14}}{5}## or ##0.7483314774##
This is correct, but I has hoping that you would substitute ##C=2\sqrt{h_0}## algebraically into the equation for h, and then solve for h. Alternately, you could leave the equation in terms of ##\sqrt {h}##. This would show that ##\sqrt {h}## is a linear function of t, with an initial value of ##\sqrt {h_0}##. What would you get if you plotted your data on a graph of ##\sqrt {h}## versus t? What would be the slope and what would be the intercept? What would you get if you plotted ##\sqrt{W}## vs t?
 
  • #11
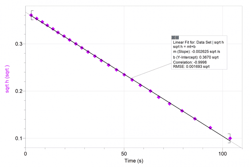
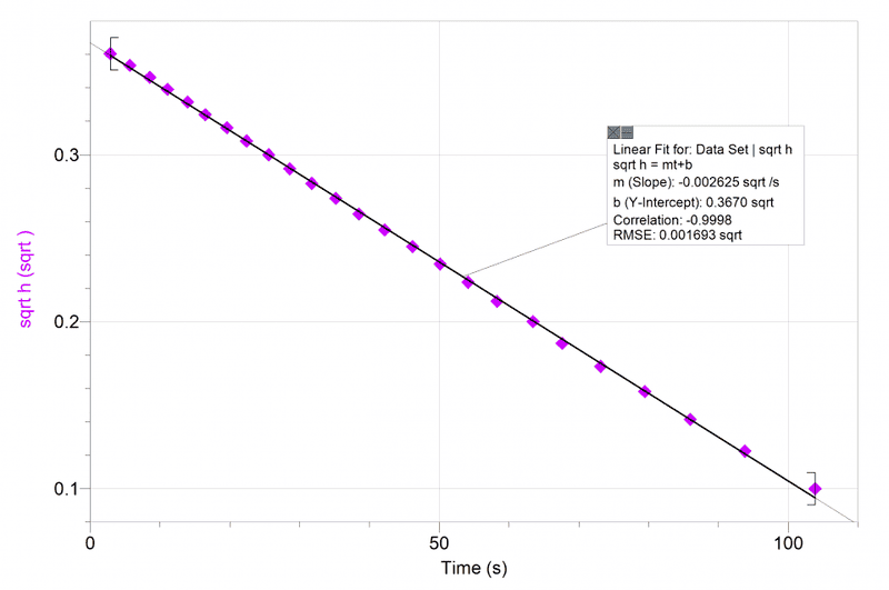
With time on the x-axis and the ##\sqrt{h}## on the y-axis, I get the slope to be ##-0.002625## and the intercept is ##0.3670##. The correlation is -0.9998.

upload_2016-2-21_12-54-32.png
 
  • #12
Jonathan Densil said:
With time on the x-axis and the ##\sqrt{h}## on the y-axis, I get the slope to be ##-0.002625## and the intercept is ##0.3670##. The correlation is -0.9998.

View attachment 96238
Excellent. Now the slope should be equal to some combination of the parameters in your model. Algebraically, from your final equation, what is the slope equal to? If you know the pinhole area, you should be able to use the slope of your graph to determine the discharge coefficient.
 
  • #13
um... I got ##9014.33573##
##A = 0.0000001781393481## ##m^2## (area of the pin hole)
##A_x=0.0094717086## ##m^2## (cross sectional area of the cylinder)
##g = 9.81## ##ms^-2##
##C=\frac{\sqrt{14}}{5}##
##m = -0.002625## (slope of the graph)
$$C_D=\frac{m-C}{-\frac{A}{A_x}\sqrt{2g}}$$
I don't think that is the right answer because when I looked up the coefficient of discharge for a hole like mine, I got 0.98... is there anything that I did wrong?
 
  • #14
Jonathan Densil said:
um... I got ##9014.33573##
##A = 0.0000001781393481## ##m^2## (area of the pin hole)
##A_x=0.0094717086## ##m^2## (cross sectional area of the cylinder)
##g = 9.81## ##ms^-2##
##C=\frac{\sqrt{14}}{5}##
##m = -0.002625## (slope of the graph)
$$C_D=\frac{m-C}{-\frac{A}{A_x}\sqrt{2g}}$$
I don't think that is the right answer because when I looked up the coefficient of discharge for a hole like mine, I got 0.98... is there anything that I did wrong?
The C shouldn't be in there.
 
  • #15
Without the C I get 31.50999077, it's still way off.
 
  • #16
Jonathan Densil said:
Without the C I get 31.50999077, it's still way off.
How accurate is the pin hole area?
 
  • #17
I used a ##\frac{3}{16}## inch diameter drillbit.
 
  • #18
Jonathan Densil said:
I used a ##\frac{3}{16}## inch diameter drillbit.
For a 3/16" hole, 1 get 100 x your area.
 
  • #19
True, you are right, the coefficient that I get is 0.315, thank you very much.
 
  • #20
Jonathan Densil said:
True, you are right, the coefficient that I get is 0.315, thank you very much.
Not so fast. That's still pretty far off. Is there a factor of ##\pi## missing somewhere?
 
  • #21
Well the cross sectional area of the tank is:
$$A = \frac{C^2}{4\pi}$$
$$A = \frac{0.345^2}{4\pi}$$
$$A = 0.0094717086\ m^2$$

The area of the hole:
$$A = \frac{\pi d^2}{4}$$
$$A = \frac{\pi 0.0047625^2}{4}$$
$$A = 0.00001781393481\ m^2$$

I'm not sure where the extra ##\pi## disappeared...
 
  • #22
Jonathan Densil said:
Well the cross sectional area of the tank is:
$$A = \frac{C^2}{4\pi}$$
$$A = \frac{0.345^2}{4\pi}$$
$$A = 0.0094717086\ m^2$$

The area of the hole:
$$A = \frac{\pi d^2}{4}$$
$$A = \frac{\pi 0.0047625^2}{4}$$
$$A = 0.00001781393481\ m^2$$

I'm not sure where the extra ##\pi## disappeared...
So the tank is 11 cm in diameter. That's about 4". Does that sound about right?
 
  • #23
Yah, that sounds about right. I used a 2 Litre pop bottle. It has straight sides, a conical top, and the weird bit at the bottom. I just used drilled the hole above the weird bit at the bottom and measured from 14 cm above the hole, just under the conical top. So essentially a cylinder.The hole is pretty much a circle since I drilled it slowly and steadily with a sharp drill bit. Unless I was in a university lab with university equipment I don't think I could have gotten more accurate.
 
  • #24
You're missing a factor of 2 in your equation for the slope. It should be :

$$C_D=\frac{2m}{-\frac{A}{A_x}\sqrt{2g}}$$

Can you see where the factor of 2 comes from?
 
  • #25
I'm guessing it's because I'm plotting time against the square root of the height... but it still only gives me 0.63 if the 2 is negative. Does 0.63 as the coefficient of discharge make sense because the hole that I made isn't exactly perfect?
 
  • #26
Jonathan Densil said:
I'm guessing it's because I'm plotting time against the square root of the height... but it still only gives me 0.63 if the 2 is negative. Does 0.63 as the coefficient of discharge make sense because the hole that I made isn't exactly perfect?
The 2 isn't negative; the slope is negative. It seems like the value of 0.63 is, for whatever reason, the correct Cd for your system.

As far as the factor of 2 is concerned, rewrite your equation in terms of ##\sqrt{h}## rather than ##2\sqrt{h}##, and back out what the slope should be.
 
  • #27
Oh ya, I forgot that I had it written in ##2\sqrt{h}##. Now that I know all of the constants in my equation, how do I deal with the integral constant, should I replace it with the value of the constant (##\frac{\sqrt{14}}{5}##) or make ##C =2 \sqrt{h_0}## and then plug it back into the equation? If I use the latter method, I would have: $$2(\sqrt{h}-\sqrt{h_0}) = -\frac{A}{A_x}C_Dt \sqrt{2g}$$ If that was right, I wanted to have on ##h## on the left side because it would be easier to plug into my first equation at the beginning of this thread.
 
  • #28
Actually (this is exciting) the height is really the change in height:
$$\dot{W} = \rho C_D A \sqrt{2g\Delta h}$$ and the equation above is:
$$\Delta h= -\frac{2gt^2A^2C_D^2}{4A_x^2}$$
Thus,
$$\dot{W} = \frac{\rho C_D^2 A^2 gt}{A_x}$$
Would this be correct?
 
  • #29
Jonathan Densil said:
Oh ya, I forgot that I had it written in ##2\sqrt{h}##. Now that I know all of the constants in my equation, how do I deal with the integral constant, should I replace it with the value of the constant (##\frac{\sqrt{14}}{5}##) or make ##C =2 \sqrt{h_0}## and then plug it back into the equation? If I use the latter method, I would have: $$2(\sqrt{h}-\sqrt{h_0}) = -\frac{A}{A_x}C_Dt \sqrt{2g}$$ If that was right, I wanted to have on ##h## on the left side because it would be easier to plug into my first equation at the beginning of this thread.
Yes, but you can't plot the data and get a straight line when you do that. Anyhow, I'm sure you know how to solve this equation for h algebraically.

Chet
 
  • #30
Jonathan Densil said:
Actually (this is exciting) the height is really the change in height:
$$\dot{W} = \rho C_D A \sqrt{2g\Delta h}$$ and the equation above is:
$$\Delta h= -\frac{2gt^2A^2C_D^2}{4A_x^2}$$
Thus,
$$\dot{W} = \frac{\rho C_D^2 A^2 gt}{A_x}$$
Would this be correct?
None of this is correct.
 

Similar threads

  • · Replies 45 ·
2
Replies
45
Views
7K
Replies
8
Views
2K
Replies
50
Views
8K
Replies
7
Views
4K
Replies
0
Views
3K
  • · Replies 12 ·
Replies
12
Views
4K
  • · Replies 3 ·
Replies
3
Views
2K
Replies
5
Views
4K
Replies
25
Views
5K
Replies
14
Views
4K