Height to time equation: water cylinder with pinhole

Click For Summary

Discussion Overview

The discussion revolves around deriving a relationship between the height of water in a cylinder with a pinhole and the time it takes for the water to flow out. Participants explore equations related to fluid dynamics, specifically focusing on weight flow rate and how it changes over time as the height of water decreases. The conversation includes attempts to integrate and differentiate equations to express height as a function of time.

Discussion Character

  • Exploratory
  • Technical explanation
  • Mathematical reasoning
  • Debate/contested

Main Points Raised

  • Jonathan presents an equation for weight flow rate and seeks to relate height to time, suggesting a form like h = kt.
  • Another participant asks about the weight of liquid in the tank as a function of time, indicating a need for clarity on the relationship between height and flow rate.
  • Jonathan expresses confusion about integrating a specific equation and requests clarification on the steps involved.
  • Participants discuss the derivation of height as a function of time, with Jonathan attempting to manipulate the equations to isolate height.
  • There is a proposal to rewrite the equation to facilitate integration, leading to further discussions about the integration process.
  • Participants explore the implications of initial conditions and constants of integration in their equations.
  • Jonathan shares experimental data and calculations related to the slope and intercept of a graph plotting height against time.
  • There is a discussion about the accuracy of the calculated discharge coefficient and the potential errors in the area measurements of the pinhole and tank cross-section.
  • Participants question the inclusion of constants in their equations and explore the implications of missing factors like π in their area calculations.

Areas of Agreement / Disagreement

Participants express various viewpoints on the integration steps and the accuracy of their calculations. There is no consensus on the correct approach to derive height as a function of time, and multiple competing interpretations of the equations and constants exist throughout the discussion.

Contextual Notes

Participants acknowledge the complexity of integrating the equations and the potential for errors in measurements, particularly regarding the area of the pinhole and the cross-sectional area of the tank. The discussion reflects a mix of exploratory reasoning and technical challenges without resolving the underlying mathematical uncertainties.

  • #31
I'm sorry for taking so much of your time, I really appreciate what you've done for me, but what would I have to do to finish my equation where I can replace the height in my first equation so that the weight flow rate is in terms of time?
 
Engineering news on Phys.org
  • #32
Jonathan Densil said:
I'm sorry for taking so much of your time, I really appreciate what you've done for me, but what would I have to do to finish my equation where I can replace the height in my first equation so that the weight flow rate is in terms of time?
I don't understand why you want that, but, if it is important to you, the first step is to solve the equation in post #28 algebraically for h as a function of t.
 
  • #33
I am confused as to which equation you want me to solve, post # 28 has 3.
 
  • #34
Jonathan Densil said:
I am confused as to which equation you want me to solve, post # 28 has 3.
I meant post #27. Typo.
 
  • #35
After I have ##\sqrt{h}-\sqrt{h_0} = -\frac{AC_Dt\sqrt{2g}}{2A_x}##, I'm not sure how to isolate for ##h## on its own...sorry, could you please help me on that please?
 
  • #36
Jonathan Densil said:
After I have ##\sqrt{h}-\sqrt{h_0} = -\frac{AC_Dt\sqrt{2g}}{2A_x}##, I'm not sure how to isolate for ##h## on its own...sorry, could you please help me on that please?
##\sqrt{h}=\sqrt{h_0} -\frac{AC_Dt\sqrt{2g}}{2A_x}##

$${h}=h_0\left(1 -\frac{AC_D\sqrt{2g/h_0}}{2A_x}t\right)^2$$
 
  • #37
Oh, I thought you didn't want the height to be on the right side at all. Wouldn't it be :
$$h = h_0\left(1-\frac{AC_D\sqrt{2g}}{2A_xh_0}\right)$$
 
  • #38
Jonathan Densil said:
Oh, I thought you didn't want the height to be on the right side at all. Wouldn't it be :
$$h = h_0\left(1-\frac{AC_D\sqrt{2g}}{2A_xh_0}\right)$$
This equation is not correct. The algebra leading to it is not correct. You can't do this kind of thing if you have not adequately mastered algebra.

The only height on the right side of my equation is the initial height (which is a constant independent of time). So that just goes along with the other constants multiplying the t.
 
  • #39
sorry,

$$ h = h_0\left(1-\frac{AC_D\sqrt{2g}}{2A_xh_0}\right)^2$$
 
  • #40
Jonathan Densil said:
sorry,

$$ h = h_0\left(1-\frac{AC_D\sqrt{2g}}{2A_xh_0}\right)^2$$
That should be a ##\sqrt{h_0}## in the denominator, and the second term should have a t.
 
  • #41
Right that makes sense, I'm not sure why I mind-blanked there. I forgot I was factoring ##\sqrt{h_0}## and not ##h_0##. So now I can plug it into the first equation to get: $$\dot{W} =\rho g C_DA\sqrt{2gh_0}-\frac{t\rho g^2 C_D^2 A^2}{A_x}$$
$$ \dot{W} = \rho g C_DA\left(\sqrt{2gh_0}-\frac{tgC_DA}{A_x}\right)$$
Is this correct?
 
  • #42
Jonathan Densil said:
Right that makes sense, I'm not sure why I mind-blanked there. I forgot I was factoring ##\sqrt{h_0}## and not ##h_0##. So now I can plug it into the first equation to get: $$\dot{W} =\rho g C_DA\sqrt{2gh_0}-\frac{t\rho g^2 C_D^2 A^2}{A_x}$$
$$ \dot{W} = \rho g C_DA\left(\sqrt{2gh_0}-\frac{tgC_DA}{A_x}\right)$$
Is this correct?
I think so, but not the first version.
 
  • #43
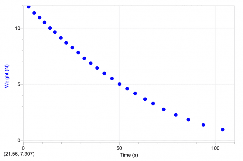
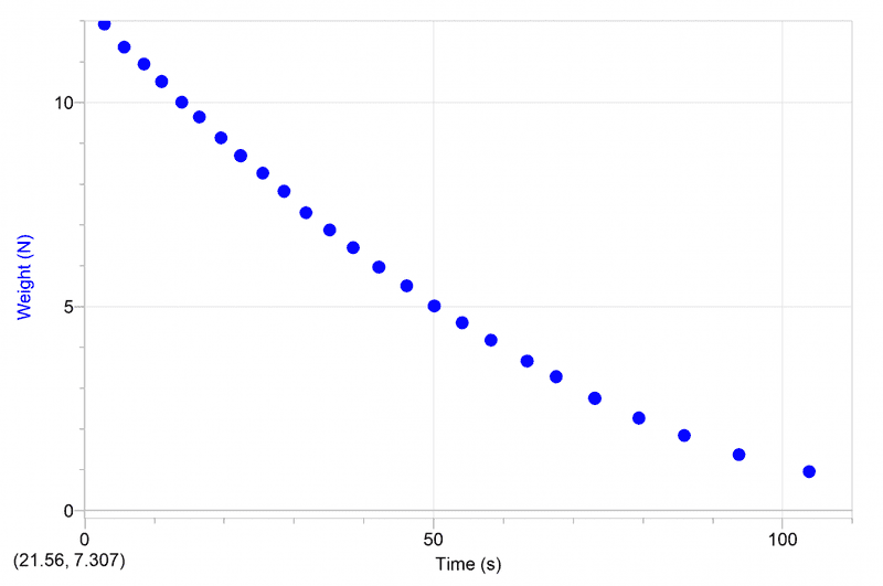
The second equation was just a factored version of the first one... is there any way of verifying that this equation makes sense? Here is the graph for weight to time:
upload_2016-2-21_18-6-35.png
 
  • #44
Jonathan Densil said:
The second equation was just a factored version of the first one... is there any way of verifying that this equation makes sense? Here is the graph for weight to time:
View attachment 96255
This is not the rate at which the weight is leaving, right? It is the weight itself vs time, right? If ##\sqrt{h}## vs time is a straight line, and W is proportional to h, then, if you plot ##\sqrt{W}## vs time, that should be a straight line also. Plot it up and see.
 
  • #45
upload_2016-2-21_18-14-18.png

You were right, it is a straight line.
 
  • #46
I am using a software from Vernier called Logger Pro, I used it to take the numerical derivative of the weight vales and plotted it against time. If my formula above is correct, then ##\dot{W} \propto t##. This is what it came up with:
upload_2016-2-21_18-31-5.png

However, the derivative values that it came up with were all much smaller than what I calculated by inputting time values into my formula. For example, at 8.52 seconds, I got the flow rate to be -0.907... but the software gave me -0.164 and at 38.5 seconds I got -0.3197... but the software got -0.128. Why is this the case, is it because my equation is wrong or is it because the software had no definite formula to get the derivative of and just used data points?
 
  • #47
Jonathan Densil said:
I am using a software from Vernier called Logger Pro, I used it to take the numerical derivative of the weight vales and plotted it against time. If my formula above is correct, then ##\dot{W} \propto t##. This is what it came up with:
View attachment 96258
However, the derivative values that it came up with were all much smaller than what I calculated by inputting time values into my formula. For example, at 8.52 seconds, I got the flow rate to be -0.907... but the software gave me -0.164 and at 38.5 seconds I got -0.3197... but the software got -0.128. Why is this the case, is it because my equation is wrong or is it because the software had no definite formula to get the derivative of and just used data points?
I'm having trouble following exactly what you did.
 
  • #48
Logger Pro did a numerical derivation of the weight values up in post #43. Those are the weight instances as a function of time. For example at time A the weight was x Newtons and at time B, the weight was y Newtons. If you plot the weight against time, the slope at any point in time would be the flow rate at the instance in time. I made Logger Pro take a numerical derivation of the weight values as a function of time to get the weight flow rate which I then plotted in post #46. Since I couldn't figure out the equation that relates force and time from the graph, I took a numerical derivation instead of an analytical derivation. My problem is, when I plugged in values for time into my equation, I got a different answer for the weight flow rate than what Logger Pro got. So my question is why is this the case? Is my equation wrong or is Logger Pro wrong? And is there any more surefire way of getting the weight flow rate from my data?
 
  • #49
Jonathan Densil said:
Logger Pro did a numerical derivation of the weight values up in post #43. Those are the weight instances as a function of time. For example at time A the weight was x Newtons and at time B, the weight was y Newtons. If you plot the weight against time, the slope at any point in time would be the flow rate at the instance in time. I made Logger Pro take a numerical derivation of the weight values as a function of time to get the weight flow rate which I then plotted in post #46. Since I couldn't figure out the equation that relates force and time from the graph, I took a numerical derivation instead of an analytical derivation. My problem is, when I plugged in values for time into my equation, I got a different answer for the weight flow rate than what Logger Pro got. So my question is why is this the case? Is my equation wrong or is Logger Pro wrong? And is there any more surefire way of getting the weight flow rate from my data?
The derivatives that you calculated by hand seem way out of line with the graph of weight vs time. Did you remember to divide by ##\Delta t##?
 
  • #50
Why would I need to divide by time. I just plugged in the parameters and values into my equation above. If I did divide by time I would get ##-0.10655...## and ##-0.008305...# respectively for 8.52 seconds and 38.5 seconds.
 
  • #51
I didn't calculate the derivative by hand, I just made Logger Pro do a numerical derivative from the data given with respect to time. I tried to verify it by using my formula and plugging in values.
 
  • #52
In any case, what does a negative flow rate mean? Do you just take the absolute value of it because clearly the slope of the tangent of the graph in post #43 is negative.
 
  • #53
Jonathan Densil said:
I didn't calculate the derivative by hand, I just made Logger Pro do a numerical derivative from the data given with respect to time. I tried to verify it by using my formula and plugging in values.
The finite difference approximation to the dW/dt is ##\Delta W/\Delta t##. I didn't say to divide by time. I said to divide by the time interval between the point A and point B. The graph of W dot vs time made by Logger Pro looks consistent with the graph of W vs time to me.
 
  • #54
Jonathan Densil said:
In any case, what does a negative flow rate mean? Do you just take the absolute value of it because clearly the slope of the tangent of the graph in post #43 is negative.
Sure. The weight is decreasing with time, right?
 
  • #55
Yah, the weight is decreasing, but how do I divide my formula by the time interval? Can you show me please an example with my data of how to get the same answer that Logger Pro is getting?
 
  • #56
Jonathan Densil said:
Yah, the weight is decreasing, but how do I divide my formula by the time interval? Can you show me please an example with my data of how to get the same answer that Logger Pro is getting?
Give me the weights and times at two points, A and B.
 
  • #57
Point A: 9.131339746N at 19.58 seconds
Point B: 3.281800887 N at 67.6 seconds
 
  • #58
Jonathan Densil said:
Point A: 9.131339746N at 19.58 seconds
Point B: 3.281800887 N at 67.6 seconds
$$\frac{\Delta W}{\Delta t}=\frac{3.2818-9.1313}{67.6-19.58}=-0.122$$
This is over a rather large time interval, so we need to associate this value of dW/dt with the average value of time over the time interval (19.58+67.6)/2=43.6 sec. See where the point (43.6, -0.122) would fall on the Logger Pro graph
 
  • #59
Ohhhh... so in what cases would I use my formula?
 
  • #60
Jonathan Densil said:
Ohhhh... so in what cases would I use my formula?
I don't understand. What is "your formula?"
 

Similar threads

  • · Replies 45 ·
2
Replies
45
Views
7K
Replies
8
Views
2K
Replies
50
Views
8K
Replies
7
Views
4K
Replies
0
Views
3K
  • · Replies 12 ·
Replies
12
Views
4K
  • · Replies 3 ·
Replies
3
Views
2K
Replies
5
Views
4K
Replies
25
Views
5K
Replies
14
Views
4K