Height to time equation: water cylinder with pinhole

Click For Summary

Discussion Overview

The discussion revolves around deriving a relationship between the height of water in a cylinder with a pinhole and the time it takes for the water to flow out. Participants explore equations related to fluid dynamics, specifically focusing on weight flow rate and how it changes over time as the height of water decreases. The conversation includes attempts to integrate and differentiate equations to express height as a function of time.

Discussion Character

  • Exploratory
  • Technical explanation
  • Mathematical reasoning
  • Debate/contested

Main Points Raised

  • Jonathan presents an equation for weight flow rate and seeks to relate height to time, suggesting a form like h = kt.
  • Another participant asks about the weight of liquid in the tank as a function of time, indicating a need for clarity on the relationship between height and flow rate.
  • Jonathan expresses confusion about integrating a specific equation and requests clarification on the steps involved.
  • Participants discuss the derivation of height as a function of time, with Jonathan attempting to manipulate the equations to isolate height.
  • There is a proposal to rewrite the equation to facilitate integration, leading to further discussions about the integration process.
  • Participants explore the implications of initial conditions and constants of integration in their equations.
  • Jonathan shares experimental data and calculations related to the slope and intercept of a graph plotting height against time.
  • There is a discussion about the accuracy of the calculated discharge coefficient and the potential errors in the area measurements of the pinhole and tank cross-section.
  • Participants question the inclusion of constants in their equations and explore the implications of missing factors like π in their area calculations.

Areas of Agreement / Disagreement

Participants express various viewpoints on the integration steps and the accuracy of their calculations. There is no consensus on the correct approach to derive height as a function of time, and multiple competing interpretations of the equations and constants exist throughout the discussion.

Contextual Notes

Participants acknowledge the complexity of integrating the equations and the potential for errors in measurements, particularly regarding the area of the pinhole and the cross-sectional area of the tank. The discussion reflects a mix of exploratory reasoning and technical challenges without resolving the underlying mathematical uncertainties.

  • #61
The one that we've been trying to figure out:
$$\dot{W} = \rho g C_D A \left(\sqrt{2gh_0}-\frac{t g C_D A}{A_x}\right)$$
When would I have to use this?
 
Engineering news on Phys.org
  • #62
Shouldn't that also have given -1.22 if I plug in 43.6 seconds or 48.02 seconds (I don't know which one to use, the average or the ##\Delta t##)?
 
  • #63
Jonathan Densil said:
The one that we've been trying to figure out:
$$\dot{W} = \rho g C_D A \left(\sqrt{2gh_0}-\frac{t g C_D A}{A_x}\right)$$
When would I have to use this?
Now that you know the value of Cd, you can plot this equation up and see what you get. Plot a graph of this equation so that we can compare it with the Logger Pro graph for dW/dt.
 
  • #64
Jonathan Densil said:
Shouldn't that also have given -1.22 if I plug in 43.6 seconds or 48.02 seconds (I don't know which one to use, the average or the ##\Delta t##)?
You calculate the derivative from the difference in the times, but you plot the derivative at the average of the times. It is just a coincidence that the difference and the average are about the same value for this particular case.
 
Last edited:
  • #65
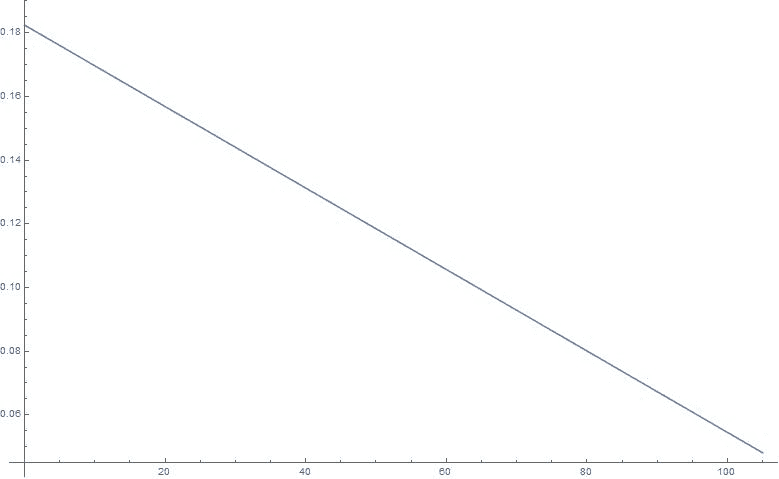
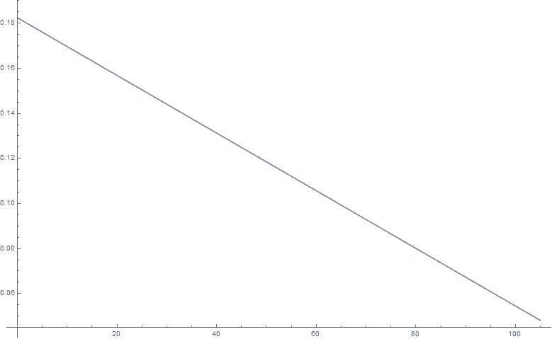
upload_2016-2-21_20-27-58.png


The weight flow rate against time. Sorry for the lack of labels, I did it in Mathematica and don't know how to add labels
 

Attachments

  • #66
Jonathan Densil said:
View attachment 96264

The weight flow rate against time. Sorry for the lack of labels, I did it in Mathematica and don't know how to add labels
Excellent. This is almost the exact negative of dW/dt calculated by Logger Pro from the raw data.

So you can see that, once you have determined Cd, you don't need the data any more.
 
Last edited:
  • #67
Thank you very, very much, I really appreciate your help. The equation works and very happy that I understand how I got it. I really am very thankful for your help. I struggled to make sense of it all for an entire week with my math and physics teachers at school. Thanks again,

Kind regards,
Jonathan
 
  • #68
Hello Chestmiller,

I just have a quick question about uncertainties. I took the derivative of the weight to get weight flow rate. So, if I have the uncertainty for the weight, how do I find the uncertainty of the weight flow rate.
 
  • #69
Jonathan Densil said:
Hello Chestmiller,

I just have a quick question about uncertainties. I took the derivative of the weight to get weight flow rate. So, if I have the uncertainty for the weight, how do I find the uncertainty of the weight flow rate.
I don't know how to do this. Maybe, if you submit it to the mathematics forums (specifying very precisely what is involved mathematically), you can get some help there. Mention that you have an analytic expression for the rate of weight loss vs time, and experimental data on weight as a function of time.
 
  • #70
Do you know any good, trustworthy forums as this one?
 
  • #71
My inclination would be Physics Forums, Science Education, Homework and Coursework Questions, Calculus and Beyond

You have an analytic expression for the derivative of a function based on a fit to experimental data on the function itself. You know the uncertainty of the fit to the experimental data, and you would like to determine the uncertainty in the corresponding analytic expression for the derivative.
 

Similar threads

  • · Replies 45 ·
2
Replies
45
Views
7K
Replies
8
Views
2K
Replies
50
Views
8K
Replies
7
Views
4K
Replies
0
Views
3K
  • · Replies 12 ·
Replies
12
Views
4K
  • · Replies 3 ·
Replies
3
Views
2K
Replies
5
Views
4K
Replies
25
Views
5K
Replies
14
Views
4K