Help please integrating this function over a rectangular area

Click For Summary

Discussion Overview

The discussion revolves around the integration of functions, specifically focusing on the integral $$I=\int_0^2a\cos(ax)dx$$ and related integrals. Participants explore the mechanics of integration, the connection between different integrals, and the application of integration techniques in various contexts. The conversation includes elements of homework help, conceptual clarification, and technical reasoning.

Discussion Character

  • Homework-related
  • Technical explanation
  • Conceptual clarification
  • Debate/contested

Main Points Raised

  • One participant requests guidance on the stages of integration, indicating a struggle with the topic.
  • Another participant presents the integral $$I=\int_0^2a\cos(ax)dx$$ and asks for its evaluation, noting that the result is a function of the constant ##a##.
  • A participant suggests that the original poster clarify which specific parts of the integration process are confusing, recommending a review of foundational concepts.
  • One participant expresses difficulty in understanding the transition from sine to cosine in the context of integration, specifically regarding the integral $$\int_{x=\pi/2}^\pi \sin(2y)~dy$$ and its evaluation.
  • Another participant points out that integral 2 is not the conclusion but rather a result of a previous integral, indicating a need for clarity on how different integrals relate to each other.
  • There is a mention of a substitution involving ##u = (1 - \cos^2\theta)##, with participants questioning the clarity and correctness of the provided work and notation.
  • One participant highlights confusion regarding the differentiation process and the notation used in the context of finding derivatives related to the integral.

Areas of Agreement / Disagreement

Participants express varying levels of understanding and confusion regarding integration techniques and the relationships between different integrals. There is no consensus on the clarity of the integration processes discussed, and multiple viewpoints on the challenges faced by the original poster remain present.

Contextual Notes

Some participants note the lack of adequate crossover in the textbook from theoretical integration to practical applications, indicating potential limitations in the instructional material. There are also unresolved questions regarding the notation and clarity of the mathematical expressions presented.

Martyn Arthur
Messages
128
Reaction score
25
TL;DR
Area Integration
Hi I struggle with integration generally. Could you be able please to talk me through the stages of this one?
thanks
martyn
1707055144566.png
 
Physics news on Phys.org
Can you do the integral $$I=\int_0^2a\cos(ax)dx$$where ##a=~##constant? If so, what do you get? Do you see why the resut is a function of ##a##, i.e. you can write ##I=f(a)## which means "you give me a value for ##a## and I will give you a value for ##I##?"
 
Martyn Arthur said:
Could you be able please to talk me through the stages of this one?
It would be helpful if you told us exactly which parts you don't understand. If your answer is "all parts," then my suggestion would be to go back to the start of the section in your textbook where iterated integration is introduced.

BTW, questions like this one normally should be posted in the Homework Help section, under Calculus & Beyond, and should include your efforts to find a solution.
 
Thanks;
I did the underlying theory of integration in year one of the degree but the cross over to this second year has been difficult with little explanation.

I understand the basics of the overall thing, sin is a basic integral of cos et al.
I understand that integral 3 is integrating the second piece of the action.
I understand the maths of that calculation.
I am completely lost as to the overall mechanics of the conversion of sin to (-1/2cos).
Given that integral 2 produces a conclusion how do they fit together.
To try to make myself clear its the process that confuses me.
thanks
martyn
 

Attachments

  • 1707060375100.png
    1707060375100.png
    15 KB · Views: 100
  • 1707060406148.png
    1707060406148.png
    15.6 KB · Views: 110
By reference to Mark44 thanks,
I take the point about homework which I note.
I hope my later post makes my problem more clear..
There is no adequate crossover in the text from the integration procedures which I understand to the practical application that is now produced.
I think some gentle support on the "bits" of a couple of points will see me through to a fuller understanding.
 
Martyn Arthur said:
I am completely lost as to the overall mechanics of the conversion of sin to (-1/2cos).
This integral is $$\int_{x=\pi/2}^\pi \sin(2y)~dy$$
Integration here is pretty straightforward, using a substitution; namely u = 2y, so du = 2dy, so dy = 1/2 du. This produces the (indefinite) integral ##\int \sin(u)~ (1/2) du##.
Can you evaluate that one?

Martyn Arthur said:
Given that integral 2 produces a conclusion how do they fit together.
Integral 2 is not the conclusion. It is the result of the integral in parentheses in integral 1.
 
Martyn Arthur said:
I am completely lost as to the overall mechanics of the conversion of sin to (-1/2cos).
I suspect at this level you are expected to recognise a common anti-derivative like this.
 
  • Like
Likes   Reactions: Mark44
Fair comment; working on it
 
You guys are so patient. Given the following
xr^3(1-cos^2θ)cos^2θ
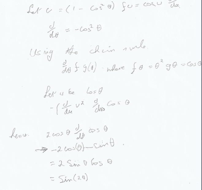
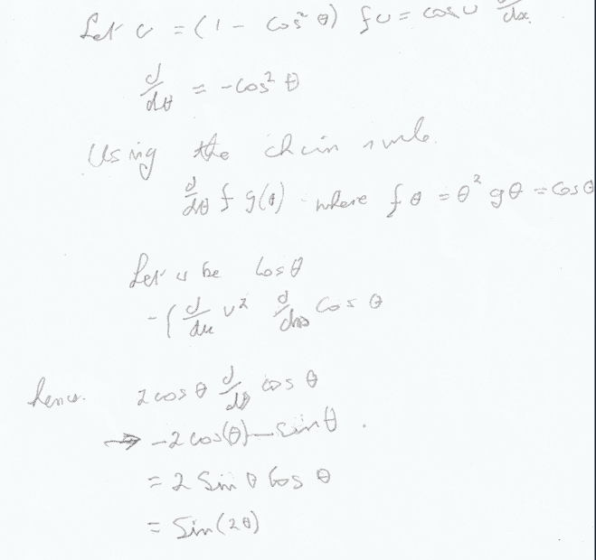
I need to make the substitution u = (1-cos^2θ) have I got it right?
Thanks
1707572578128.png
 

Attachments

  • 1707571048398.png
    1707571048398.png
    2.9 KB · Views: 112
  • 1707571540299.png
    1707571540299.png
    2.9 KB · Views: 131
  • #10
Martyn Arthur said:
You guys are so patient. Given the following
xr^3(1-cos^2θ)cos^2θ
I need to make the substitution u = (1-cos^2θ) have I got it right?
Thanks
View attachment 340095
I can't make any sense of this of the attachments. They are the same image double-posted and are as follows:
$$xr^3(1 - \cos^2)(\cos^2)$$
What does this mean? Why is ##\theta## missing from the attachments?
What are you supposed to do with this?

The work you show also makes little sense, partly because some of it is cut off, partly because it's hard to decipher, and partly because much of the rest doesn't make sense.

At the top you have "Let ##u = (1 - \cos^2\theta)##" and then <something> u = ##\cos u## <something>
In the 2nd equation on the left side you have a squiggle -- is it f? Or is it an integral sign? On the right side the top of the fraction is cut off. Is where I have ? supposed to be d?

On the next line you have ##\frac d {d\theta} = -\cos^2 \theta##

This doesn't make sense for a couple of reasons:

1) On the left side you have a differentiation operator, but are missing whatever it is that you are differentiating? Should this have been ##\frac{du}{d\theta}##?

2)Assuming that you meant ##\frac{du}{d\theta}## on the left side of the second line, the right side is not the derivative of ##1 - \cos^2\theta##

If the goal is to find the derivative of ##1 - \cos^2 \theta##, your answer at the bottom is correct, but there is a lot of cruft and incorrect stuff along the way.

Note that ##1 - \cos^2 (\theta) = \sin^2(\theta)## so

##\frac d {d\theta}(1 - \cos^2 (\theta)) = \frac d {d\theta}(\sin^2(\theta)) = 2\sin(\theta) \cdot \frac d {d\theta} (\sin(\theta)) = 2\sin(\theta) \cdot \cos(\theta) = \sin(2\theta)##
 
  • #11
Thread closed. @Martyn Arthur, since this is a new problem, please start a new thread. The appropriate place for it is the Homework Help section, under Calculus and Beyond.
 
  • Like
Likes   Reactions: Martyn Arthur

Similar threads

  • · Replies 5 ·
Replies
5
Views
3K
  • · Replies 4 ·
Replies
4
Views
3K
  • · Replies 24 ·
Replies
24
Views
5K
  • · Replies 5 ·
Replies
5
Views
4K
  • · Replies 23 ·
Replies
23
Views
6K
  • · Replies 37 ·
2
Replies
37
Views
5K
  • · Replies 3 ·
Replies
3
Views
2K
  • · Replies 2 ·
Replies
2
Views
4K
  • · Replies 2 ·
Replies
2
Views
2K
  • · Replies 11 ·
Replies
11
Views
3K