Help Solving a Trigonometric Equation

Click For Summary

Homework Help Overview

The discussion revolves around solving a trigonometric equation involving sine and cosine functions. Participants explore various methods and substitutions to simplify the equation and find the values of theta.

Discussion Character

  • Exploratory, Mathematical reasoning, Assumption checking

Approaches and Questions Raised

  • Participants discuss factoring techniques and substitutions, such as using identities involving sine and cosine. Some express confusion about their attempts and seek hints for further progress.

Discussion Status

Several hints and alternative methods have been shared, including algebraic tricks and substitutions. Participants are actively engaging with each other's suggestions, and some are reflecting on their own attempts and results without reaching a definitive conclusion.

Contextual Notes

There are indications of misreading the problem and adjustments in the values used during calculations. Participants also mention the complexity of algebraic manipulations and the potential for errors in rounding or substitutions.

vibha_ganji
Messages
19
Reaction score
6
Homework Statement
3.44(cos^2 (theta)) - 25 sin(2 * theta) = -19.62
Relevant Equations
cos ^2 theta = cos theta times cos theta
sin (2* theta) = sin theta times cos theta times 2
I’m stuck on how to begin. I’ve tried to factor out sin theta from both of the terms on the left hand side but that led to nowhere. Could I have a hint on how to continue? Than you!
 
  • Like
Likes   Reactions: Delta2
Physics news on Phys.org
Try substituting ## \sin^2{\theta}=1-\cos^2{\theta} ##, and the rest is algebra.
My mistake, I misread the problem. Try ## \cos^2{\theta}=(\cos(2 \theta)+1)/2 ##.
## a \cos(2 \theta)+b \sin(2 \theta) ## then simplifies with an algebraic "trick".
 
  • Like
Likes   Reactions: Delta2
One additional hint on the algebraic trick, because it is not obvious unless you have seen it before:
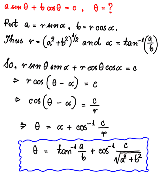
##a \cos{\theta}+b \sin{\theta}=\sqrt{a^2+b^2} \cos(\theta-\phi) ## where ## \phi=\arctan(b/a) ##.
Be sure and prove to yourself the formula I just gave you.
 
  • Like
Likes   Reactions: Delta2
@vibha_ganji Were you successful at solving it? We welcome your feedback. :)
 
  • Like
Likes   Reactions: SammyS
Charles Link said:
One additional hint on the algebraic trick, because it is not obvious unless you have seen it before:
##a \cos{\theta}+b \sin{\theta}=\sqrt{a^2+b^2} \cos(\theta-\phi) ## where ## \phi=\arctan(b/a) ##.
Be sure and prove to yourself the formula I just gave you.
I have managed to do the original problem (See original post #1) using a slightly different method than the one you (@Charles Link) mentioned. I will wait and see @vibha_ganji 's effort first before giving my own. However, in your post #3 above, you mentioned a different point that got me thinking about it as a separate problem in its own right. Let me type it below.

Problem : If ##\pmb{a\cos\theta+b\sin\theta=c}##, what is ##\pmb{\theta=?}##.

Attempt : I copy and paste my solution below using a well known "trick" I learned in high school where you express both ##a## and ##b## in terms of sine's and cosine's of the same angle (say ##\alpha##) times a variable (say ##r##).

1644150670822.png
 
  • Like
Likes   Reactions: Charles Link
@vibha_ganji : While I won't tell you how, I will give you the answers to your problem. I would also advise you to learn how to type mathematics on here (using ##\mathbf{\LaTeX})## so as to make your questions and solutions look more readable.

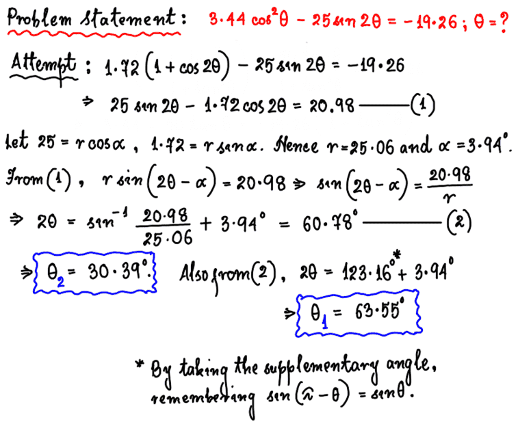
Your problem statement : Solve the trigonometric equation ##3.44\cos^2\theta-25\sin 2\theta=-19.62##.

Solution : ##\text{I leave this for you.}##

Answers : I find there are two answers : ##\boxed{\theta_1 = 62.7^{\circ}\; , \; \theta_2 = 31^{\circ}}##. Both values of ##\theta## plugged into the left hand side of the given equation yield the value on the right hand side (##-19.62##).
 
  • Like
Likes   Reactions: Charles Link
brotherbobby said:
I find there are two answers
I think you can also add any multiple of ## 180^{\circ} ## to either of those two answers and it will also be a solution.
 
and one alternative solution would be to write ## \sin(2 \theta)=2 \sin{\theta} \cos{\theta} ##, and use ## \sin{\theta}=\pm \sqrt{1-\cos^2{\theta}} ##, but that gets rather clumsy with the algebra.

Edit: In any case, I solved it this way also, and got the same answers.
 
Last edited:
Charles Link said:
and one alternative solution would be to write ## \sin(2 \theta)=2 \sin{\theta} \cos{\theta} ##, and use ## \sin{\theta}=\pm \sqrt{1-\cos^2{\theta}} ##, but that gets rather clumsy with the algebra.

Edit: In any case, I solved it this way also, and got the same answers.
Yes but I had a small problem. I could not solve it using the method you just mentioned, wherein you substitute ##\sin 2\theta = 2\sin\theta \cos\theta## and ##\cos^2\theta=1-\sin^2\theta##. I should give you my failed attempt right now before I tell you of other proceedings.
1644224901578.png

I did it by replacing the ##\cos^2\theta## term and the ##\sin 2\theta## term by ##\tan^2\theta##. I got a quadratic in ##\tan\theta## which was simple enough to solve, yielding the two values I had written down in my post #6 above.

However, the method I tried above has a simpler route to which you alluded earlier in your response to the creator of this thread, @vibha_ganji . Trouble is, when I tried that method, I got different answers. I'd like to do it again and copy and paste it for you below.

1644226413949.png

These values are a bit different from the ones I obtained earlier. Do you think the error lies in the rounding off?
 
  • #10
The ## z=\sin{\theta} ## can be solved for fairly routinely. You get a 4th power in ## z ##, but it is quadratic in ## z^2 ##.

Meanwhile you changed the -19.62 to -19.26. If you correct that, I'm almost certain you will get the same answer.
 
  • #11
Charles Link said:
The ## z=\sin{\theta} ## can be solved for fairly routinely. You get a 4th power in ## z ##, but it is quadratic in ## z^2 ##.

Meanwhile you changed the -19.62 to -19.26. If you correct that, I'm almost certain you will get the same answer.
Thank you. I got the answers using the method of putting ##z=\sin\theta##. I was wrong in my post (#9) above where I claimed that terms of the order of ##z^3## would appear. Of course if that happened I wouldn't know how to solve the equation analytically.

To sum up, the two principal value answers to the equation are ##\boxed{\theta_1 = 62.7^{\circ}\; , \; \theta_2 = 31^{\circ}}##. I hope the creator of this thread can carry out the solution and verify.
 
  • Like
Likes   Reactions: Charles Link

Similar threads

  • · Replies 14 ·
Replies
14
Views
2K
  • · Replies 6 ·
Replies
6
Views
3K
Replies
7
Views
2K
  • · Replies 1 ·
Replies
1
Views
2K
  • · Replies 8 ·
Replies
8
Views
2K
  • · Replies 3 ·
Replies
3
Views
2K
  • · Replies 4 ·
Replies
4
Views
2K
Replies
15
Views
2K
  • · Replies 5 ·
Replies
5
Views
3K
Replies
11
Views
3K