How can I convert sigma notation into a finite geometric series?

Click For Summary

Homework Help Overview

The discussion revolves around converting sigma notation into a finite geometric series, specifically in the context of a convolution question in linear systems. Participants are attempting to understand the relationship between the sigma notation and its equivalent finite series representation.

Discussion Character

  • Exploratory, Conceptual clarification, Mathematical reasoning

Approaches and Questions Raised

  • Participants are exploring the conversion of sigma notation to a finite series, with attempts to manually expand the summation and substitute values for n. Questions are raised about the meaning of variables α and β, as well as the unit step function u[n].

Discussion Status

Some participants have provided clarifications regarding the variables involved and the nature of the unit step function. There is an acknowledgment of the formula for the sum of a geometric series, but no consensus on the specific steps to convert the sigma notation has been reached.

Contextual Notes

Participants note that the original problem is related to convolution in linear systems, and there is a request for additional context to better understand the variables and functions involved. The lack of explicit values for α and β is also highlighted as a point of confusion.

A.J.710
Messages
56
Reaction score
1

Homework Statement


http://postimage.org/]Screen_Shot_2015_09_14_at_4_30_06_PM.png[/PLAIN]
image url


Homework Equations


N/A

The Attempt at a Solution


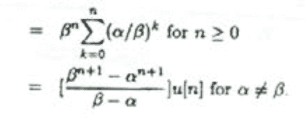
I have to solve a different question using a similar method to this one but I cannot figure out how they got the sigma notation into the last equation format. I tried writing out the summation manually as well as the equation substituting n for 0,1,2,3 but they don't match up and I cannot do my next problem without figuring this one out first.
 
Last edited by a moderator:
Physics news on Phys.org
A.J.710 said:

Homework Statement


Screen_Shot_2015_09_14_at_4_30_06_PM.png[/PLAIN]
image url


Homework Equations


N/A

The Attempt at a Solution


I have to solve a different question using a similar method to this one but I cannot figure out how they got the sigma notation into the last equation format. I tried writing out the summation manually as well as the equation substituting n for 0,1,2,3 but they don't match up and I cannot do my next problem without figuring this one out first.
A little context would be helpful.

What are α and β? What does u[n] represent?
 
Last edited by a moderator:
SteamKing said:
A little context would be helpful.

What are α and β? What does u[n] represent?

α and β are just variables, there is no value to them in the question. u[n] is a unit step function basically making the function true at n > 0 and 0 at n < 0.

The original question is a convolution question x[n] * h[n] in linear systems but what is in the picture is all that is really involved. There is nothing else too it I could post.
 
In the summation, you have ##(\frac{\alpha}{\beta})^0 + (\frac{\alpha}{\beta})^1 + (\frac{\alpha}{\beta})^2 + \dots + (\frac{\alpha}{\beta})^n ##, which is a finite geometric series with n + 1 terms. There's a formula for the sum of a geometric series.
 

Similar threads

Replies
3
Views
3K
Replies
2
Views
2K
  • · Replies 6 ·
Replies
6
Views
2K
Replies
4
Views
2K
Replies
4
Views
5K
Replies
3
Views
8K
  • · Replies 3 ·
Replies
3
Views
4K
  • · Replies 8 ·
Replies
8
Views
4K
  • · Replies 6 ·
Replies
6
Views
18K
  • · Replies 6 ·
Replies
6
Views
3K