How can the inequality cosx ≥ (1-x^2/2) be proven?

Click For Summary

Homework Help Overview

The discussion revolves around proving the inequality cos(x) ≥ (1 - x^2/2). This is situated within the context of calculus, specifically relating to integration and the behavior of functions over certain intervals.

Discussion Character

  • Mixed

Approaches and Questions Raised

  • Participants explore various approaches, including examining the graph of the function y = cos(x) - 1 + (x^2/2) and considering the implications of integrals. Some express uncertainty about how to effectively prove the inequality, while others discuss the validity of the inequality in different intervals.

Discussion Status

The conversation is ongoing, with participants sharing insights and questioning assumptions about the inequality's validity across different domains. There is recognition of the need to analyze specific intervals, particularly [-2, 2], while also acknowledging the broader context of the original problem.

Contextual Notes

Participants note that the original problem states the inequality holds for all real numbers, leading to some confusion regarding the applicability of findings from restricted intervals. There is also mention of the need to consider the behavior of the functions involved outside the interval [-2, 2].

mech-eng
Messages
826
Reaction score
13
Homework Statement
Proof of the inequality ##cosx \ge (1-x^2/2##
Relevant Equations
##1\ge cosx \ge 0##
How can the inequality ##cosx \ge(1-x^2/2)## be proved? Would you please explain how to prove this inequality?

This is the only equation that I could think of. ##1\ge cosx \ge 0## but I cannot use it here.

Source: Thomas's Calculus, this is from an integration question there.

Thank you.
 
Physics news on Phys.org
mech-eng said:
How can the inequality ##cosx \ge(1-x^2/2)## be proved? Would you please explain how to prove this inequality?

This is the only equation that I could think of. ##1\ge cosx \ge 0## but I cannot use it here.

Source: Thomas's Calculus, this is from an integration question there.

Thank you.
PF rules require an effort on your part.
 
I know it intuitively but I cannot establish a good way. I cannot express it in a good form. For less than -2, ##1-x^2/2## is less than -1 so this is valid. For more than 2, ##1-x^2/2## is less than -1 this is also valid. Between -1 and 1, ##1-x^2/2## is between 1/2 and 1 and the equation is also valid.

Thank you.
 
Since the question is in a section about integration, one approach would be to look at the graph of ##y = \cos(x) - 1 + \frac {x^2} 2##, and see if the integral of this function is positive or negative.
 
Mark44 said:
Since the question is in a section about integration, one approach would be to look at the graph of ##y = \cos(x) - 1 + \frac {x^2} 2##, and see if the integral of this function is positive or negative.
What does the integral have to do with whether or not the function itself is positive, which is what is relevant to this question?
 
Orodruin said:
What does the integral have to do with whether or not the function itself is positive, which is what is relevant to this question?
If the integral is positive on some interval where cos(x) and 1 - x^2/2 don't intersect, it means that cos(x) >= 1 - x^2/2. That was my thinking. The OP mentioned that the problem was in a section on integration, which I presume comes in a section before Taylor's series are covered.
 
mech-eng said:
How can the inequality ##cosx \ge(1-x^2/2)## be proved? Would you please explain how to prove this inequality?

This is the only equation that I could think of. ##1\ge cosx \ge 0## but I cannot use it here.

Source: Thomas's Calculus, this is from an integration question there.

Thank you.

I see the ingredients of a solution sitting here though we are guessing a bit since we don't know the background... I assume 1st and 2nd derivatives are ok at this point.

I found "##1\ge \cos x \ge 0##" interesting because when I set ##x := \pi##

I get something that violates this. You are right that the magnitude of cosine of x is bounded in 0 and 1.

mech-eng said:
or less than -2, ##1-x^2/2## is less than -1 so this is valid. For more than 2, ##1-x^2/2## is less than -1 this is also valid.

Yes -- so why not use this fact to truncate your domain to ##x \in [-2,2]##.

Note this interval is closed and bounded (compact in reals) and thus any continuous function has a minimum in this interval. So check for values of the function ##g(x)## the border at ##x=-2## and ##x=2## and also use 1st (and 2nd) derivatives to find the minimum value of the function ##g##... I'd suggest using the one that Mark gave, i.e.
##g(x) = \cos(x) - 1 + \frac {x^2} 2## again for ##x \in [-2,2]##
 
  • Like
Likes   Reactions: mech-eng
StoneTemplePython said:
Yes -- so why not use this fact to truncate your domain to x∈[−2,2]x∈[−2,2]x \in [-2,2]

Yes, for the domain [-2,2] this is valid but in the original question it is said that this is valid for all real number which means the domain is [##-\infty, \infty##]. So this is confusing.

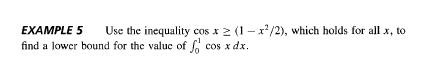
use the inequality.png
 
mech-eng said:
Yes, for the domain [-2,2] this is valid but in the original question it is said that this is valid for all real number which means the domain is [##-\infty, \infty##]. So this is confusing.

View attachment 241883

ok, let's be clear -- the original domain is ##(-\infty, \infty)## that's an open interval that doesn't actually include +/- ##\infty##

Second, let's partition that into 3 pieces -- i.e.

##(-\infty, \infty) = (-\infty, -2) \cup [-2, 2] \cup (2, \infty)##

so we have 3 different pieces to consider:
##\{(-\infty, -2) , [-2, 2], (2, \infty)\} ##

for ##(-\infty, -2)## and for ## (2, \infty)##

apply this argument

mech-eng said:
For less than -2, ##1-x^2/2## is less than -1 so this is valid. For more than 2, ##1-x^2/2## is less than -1 this is also valid.

The argument needs cleaned up a little bit but it is a key insight.

what remains is to consider the case of ##x \in [-2,2]## which was what I was pushing you to focus on in post 7.
 
  • Informative
Likes   Reactions: mech-eng
  • #10
Okay. Thank you. I got it. For all x beyond the interval [-2,2] ##1-x^2/2## is less than -1 which is also less than the minumum of cos x for all x.
 

Similar threads

Replies
7
Views
2K
  • · Replies 5 ·
Replies
5
Views
2K
Replies
7
Views
2K
  • · Replies 5 ·
Replies
5
Views
2K
Replies
8
Views
2K
Replies
2
Views
2K
  • · Replies 18 ·
Replies
18
Views
2K
  • · Replies 6 ·
Replies
6
Views
2K
  • · Replies 14 ·
Replies
14
Views
2K
  • · Replies 2 ·
Replies
2
Views
2K