How do I Evaluate the Integral using Substitution and Simplification?

  • Thread starter Thread starter Nyasha
  • Start date Start date
  • Tags Tags
    Integrate
Click For Summary

Homework Help Overview

The discussion revolves around evaluating the integral 18∫₀⁴ √(4 - (y - 2)²) dy, with a focus on substitution methods, particularly trigonometric substitution. Participants are exploring how to properly apply the substitution y = 2sin(θ) and the implications for the limits of integration.

Discussion Character

  • Exploratory, Assumption checking, Problem interpretation

Approaches and Questions Raised

  • Participants discuss using the substitution y = 2sin(θ) and express confusion about how to convert the limits of integration. There are suggestions for alternative substitutions, such as y = 4sin²(θ). Some participants propose making two substitutions, including u = y - 2, to simplify the integral further.

Discussion Status

The discussion is ongoing, with various approaches being considered. Some participants have offered guidance on handling the limits of integration and the substitution process, while others are questioning the feasibility of the original substitution. There is no explicit consensus on a single method yet.

Contextual Notes

Participants are grappling with the constraints of the problem, particularly regarding the limits of integration and the appropriateness of the chosen substitutions. The original poster's confusion about the substitution leading to y = 4 is a point of contention.

Nyasha
Messages
127
Reaction score
0

Homework Statement



[tex] 18\int_0^4 \sqrt{4- (y-2)^2}dy[/tex]

Homework Equations



According to the textbook l am supposed to use [tex]y=2sin\theta[/tex] for substitution

The Attempt at a Solution



[tex]y=2sin\theta[/tex]

[tex]dy=2cos\theta d\theta[/tex]

[tex] 18\int_0^4 \sqrt{4- (2sin\theta-2)^2}2cos\theta d\theta [/tex]
( I am stuck at converting the limits of my integral using [tex]y=2sin\theta[/tex] )


[tex] 18\int_0^4 \sqrt{4- (4sin^2\theta-4sin\theta-4sin\theta+4)}2cos\theta d\theta [/tex]

[tex] 18\int_0^4 \sqrt{4- (4sin^2\theta-8sin\theta+4)}2cos\theta d\theta [/tex]


( How do l simplify this integral )
 
Physics news on Phys.org
Nyasha said:

Homework Statement



[tex] 18\int_0^4 \sqrt{4- (y-2)^2}dy[/tex]

Homework Equations



According to the textbook l am supposed to use [tex]y=2sin\theta[/tex] for substitution

Ermmmm... how can [itex]y[/itex] ever equal 4 with this substitution?
 
gabbagabbahey said:
Ermmmm... how can [itex]y[/itex] ever equal 4 with this substitution?
That is where l am stuck and also on how to simply this integral
 
Try a different substitution!:smile:

...maybe [itex]y=4\sin^2\theta[/itex] :wink:
 
I would make two substitutions: u = y - 2, so du = dy, and then the trig substitution.

As far as your limits of integration, you can carry them along all the way through until you finally undo both substitutions, when your antiderivative will be in terms of y.

You can remind yourself that the limits of integration are y values by doing adding "y = " on the lower limit of integration, like so:
[tex]18\int_{y = 0}^4 \sqrt{4- (2sin\theta-2)^2}2cos\theta d\theta[/tex]

That should help you remember that these are y values.

Alternatively, you can change the limits of integration for each substitution. If you're careful, both techniques will work.
 
Mark44 said:
I would make two substitutions: u = y - 2, so du = dy, and then the trig substitution.

As far as your limits of integration, you can carry them along all the way through until you finally undo both substitutions, when your antiderivative will be in terms of y.

You can remind yourself that the limits of integration are y values by doing adding "y = " on the lower limit of integration, like so:
[tex]18\int_{y = 0}^4 \sqrt{4- (2sin\theta-2)^2}2cos\theta d\theta[/tex]

That should help you remember that these are y values.

Alternatively, you can change the limits of integration for each substitution. If you're careful, both techniques will work.


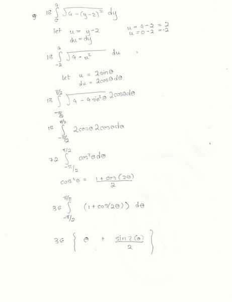
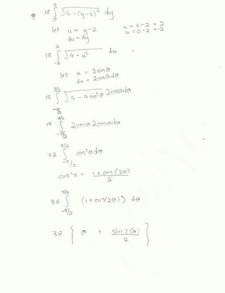
Engineeringcalculus.jpg


Is this correct.
 
Nyasha said:
Engineeringcalculus.jpg


Is this correct.

Sure, but you didn't finish evaluating it by substituting in the limits...

Incidentally, there is also a neat little trick to evaluating the integral [tex]\int_{-\pi/2}^{\pi/2} \cos^2\theta d\theta[/tex]... If you sketch a graph of both sin^2 and cos^2 over that interval, you see they both have the same area underneath them

[tex]\implies \int_{-\pi/2}^{\pi/2} \cos^2\theta d\theta=\frac{1}{2}\int_{-\pi/2}^{\pi/2} (\cos^2\theta+\sin^2\theta) d\theta=\frac{1}{2}\int_{-\pi/2}^{\pi/2} (1)d\theta=\frac{\pi}{2}[/tex]
 
gabbagabbahey said:
Sure, but you didn't finish evaluating it by substituting in the limits...

Incidentally, there is also a neat little trick to evaluating the integral [tex]\int_{-\pi/2}^{\pi/2} \cos^2\theta d\theta[/tex]... If you sketch a graph of both sin^2 and cos^2 over that interval, you see they both have the same area underneath them

[tex]\implies \int_{-\pi/2}^{\pi/2} \cos^2\theta d\theta=\frac{1}{2}\int_{-\pi/2}^{\pi/2} (\cos^2\theta+\sin^2\theta) d\theta=\frac{1}{2}\int_{-\pi/2}^{\pi/2} (1)d\theta=\frac{\pi}{2}[/tex]


Thanks very much.
 

Similar threads

Replies
3
Views
2K
  • · Replies 34 ·
2
Replies
34
Views
3K
  • · Replies 8 ·
Replies
8
Views
2K
  • · Replies 3 ·
Replies
3
Views
2K
  • · Replies 14 ·
Replies
14
Views
3K
  • · Replies 2 ·
Replies
2
Views
2K
  • · Replies 7 ·
Replies
7
Views
5K
  • · Replies 1 ·
Replies
1
Views
2K
  • · Replies 3 ·
Replies
3
Views
2K
  • · Replies 3 ·
Replies
3
Views
2K