Change of variables in multiple integrals

Click For Summary

Homework Help Overview

The discussion revolves around finding the volume of a solid defined by the equations of a sphere and a cylinder, specifically the region inside both \( x^2 + y^2 + z^2 = 4 \) and \( x^2 + y^2 = 1 \). Participants explore the implications of the term "inside" and how it affects the interpretation of the problem.

Discussion Character

  • Exploratory, Assumption checking, Problem interpretation

Approaches and Questions Raised

  • Participants discuss the need to convert equalities to inequalities to define the volume region correctly. There are questions about the geometric interpretation of the inequalities and the shapes they represent in three-dimensional space.

Discussion Status

The conversation is ongoing, with participants offering different interpretations and methods for calculating the volume. Some express concerns about the correctness of others' approaches, while others emphasize the importance of visualizing the region of integration to avoid errors in setting up limits.

Contextual Notes

There are mentions of the complexity of the problem, with some participants suggesting that it may be more suitable for undergraduate students rather than advanced learners. The discussion also touches on the necessity of justifying methods and critically assessing calculations.

WMDhamnekar
MHB
Messages
381
Reaction score
30
Summary: Find the volume V of the solid inside both ## x^2 + y^2 + z^2 =4## and ## x^2 +y^2 =1##

My attempt to answer this question: given ## x^2 + y^2 +z^2 =4; x^2 + y^2 =1 \therefore z^2 =3 \Rightarrow z=\sqrt{3}##
## \displaystyle\iiint\limits_R 1dV = \displaystyle\int_0^{2\pi}\displaystyle\int_0^{\pi}\displaystyle\int_0^2 1 \rho^2 \sin{(\phi)} d\rho d\phi d\theta =\frac{32\pi}{3}##

Now using ##z=\sqrt{3}## we get ## \displaystyle\int_0^{2\pi}\displaystyle\int_0^\pi \displaystyle\int_0^{\sqrt{3}} 1 \rho^2\sin{\phi}d\rho d\phi d\theta = 4\sqrt{3}\pi##

Hence the area of the solid is ##\frac{32\pi}{3} -4\sqrt{3}\pi =\frac{4\pi}{3}*(8-3^{3/2})##
Actually, I couldn't draw out the graph of this solid.
I think the problem is solved now.
 
Last edited:
Physics news on Phys.org
I think you didn't understand correctly the statement of the problem. The key word for understanding (at least for my brain) is the word "inside". This means we have to convert equalities to inequalities and look for the region V where both inequalities hold, $$V={(x,y,z):x^2+y^2+z^2\leq 4, x^2+y^2\leq 1}$$.

But there is more, what region/shape do you think the inequality $$x^2+y^2\leq1$$ is? (hint: think in 3D)
 
WMDhamnekar said:
Summary: Find the volume V of the solid inside both ## x^2 + y^2 + z^2 =4## and ## x^2 +y^2 =1##

Now using z=3 we get ∫02π∫0π∫031ρ2sin⁡ϕdρdϕdθ=43π
I am afraid you are wrong here, because all you do is to calculate the volume of a sphere with radius 2 and another with radius ##\sqrt{3}##. And then calculate the volume of the spherical shell with ##\sqrt{3}\leq r\leq 2## This is not what the problem asks for.
 
  • Like
Likes   Reactions: WMDhamnekar
Delta2 said:
I am afraid you are wrong here, because all you do is to calculate the volume of a sphere with radius 2 and another with radius ##\sqrt{3}##. And then calculate the volume of the spherical shell with ##\sqrt{3}\leq r\leq 2## This is not what the problem asks for.
But the author has provided the same answer for this question. I think your logic is something different than author Prof.Michael Corral , schoolcraft college, United States of America. Name of the book "Vector Calculus Part 2"
 
Last edited:
  • Informative
Likes   Reactions: Delta2
WMDhamnekar said:
Actually, I couldn't draw out the graph of this solid.
Why not? The first equation represents a sphere of radius 2, centered at the origin. The second equation represents a circular cylinder of radius 1, whose central axis lies along the z-axis.

Being able to draw a sketch of the region of integration makes it less likely that you will set up the limits of integration incorrectly, as you did in your recent thread.

Edit: changed level of thread from A to I. This isn't post-graduate stuff.
 
  • Like
Likes   Reactions: scottdave
Mark44 said:
Why not? The first equation represents a sphere of radius 2, centered at the origin. The second equation represents a circular cylinder of radius 1, whose central axis lies along the z-axis.

Being able to draw a sketch of the region of integration makes it less likely that you will set up the limits of integration incorrectly, as you did in your recent thread.

Edit: changed level of thread from A to I. This isn't post-graduate stuff.
Sorry. This stuff may be meant for under-graduate Mathematics student.
 
Hold on while I do the calculation (using the fact that we talk here about the intersection of a sphere with a cylinder) and see if I get the same answer.
 
WMDhamnekar said:
Sorry. This stuff may be meant for under-graduate Mathematics student.
My main point was the importance of being able to sketch the region over which integration takes place. If you can't do this, it's very unlikely that you'll get the correct limits of integration, so you're also not likely to get the correct value for the integral.
I can't overemphasize the importance of getting a good visual representation of what you're trying to integrate.
 
  • Like
  • Informative
Likes   Reactions: PhDeezNutz and WMDhamnekar
$$2\sqrt{3}\pi+\frac{2}{3}\pi(2-\sqrt{3})^2(4+\sqrt{3})$$
That's what I get. The first term is the volume of that cylinder with radius 1 and height ##2\sqrt{3}## and the second term is the volume of the two spherical caps with height ##2-\sqrt{3}##.
After some algebra (which I am bored to tex, sorry) reduces to the same answer as yours. But still I don't think you formed the correct integrals sorry.
 
  • Informative
Likes   Reactions: WMDhamnekar
  • #10
Delta2 said:
$$2\sqrt{3}\pi+\frac{2}{3}\pi(2-\sqrt{3})^2(4+\sqrt{3})$$
That's what I get. The first term is the volume of that cylinder with radius 1 and height ##2\sqrt{3}## and the second term is the volume of the two spherical caps with height ##2-\sqrt{3}##.
After some algebra (which I am bored to tex, sorry) reduces to the same answer as yours. But still I don't think you formed the correct integrals sorry.
Is it just coincidence that your answer and my answer correct? I think there are two different methods of answering this question.(My opinion may be wrong.). I shall check out your answer in my spare time.
 
  • #11
WMDhamnekar said:
Is it just coincidence that your answer and my answer correct? I think there are two different methods of answering this question.(My opinion may be wrong.). I shall check out your answer in my spare time.
In my opinion yes it is a coincidence that the two answers match, because all you calculated, as I already said, is the volume of a spherical shell , you did not calculate the volume that corresponds to the intersection of a sphere and a cylinder.
 
  • Like
  • Informative
Likes   Reactions: scottdave and WMDhamnekar
  • #12
WMDhamnekar said:
Is it just coincidence that your answer and my answer correct? I think there are two different methods of answering this question.(My opinion may be wrong.). I shall check out your answer in my spare time.
It's just a coincidence.

Can you critically assess your method and justify each step? Being able to do that is much more important than getting an answer that matches the one in the book. And when you can do that, you can have more confidence that the answer you obtained is correct.

Can you address Delta2's critique of your attempt? He pointed out specific problems with your solution, and so far, your only response has been, "but I got the answer in the book."
 
  • Like
  • Informative
Likes   Reactions: scottdave, WMDhamnekar and Delta2
  • #13
Btw, I used directly the formula for spherical cap . One way you can calculate the volume of a spherical cap using triple integral is by using a mix of cartesian and polar coordinates. That is after you setup the triple integral in cartesian coordinates x,y,z, you can use polar coordinates to do the integration w.r.t x and y, and cartesian coordinate to do the integration with respect to z.

If you are wondering, what the volume of a spherical cap has to do with this problem ,then all I can say is that the intersection of a sphere and a cylinder who has radius smaller than the sphere, and height bigger than the diameter of the sphere and with its axis passing through the center of the sphere, is a smaller cylinder and two spherical caps.

There is a way to do this , without referring to geometrical shapes at all, just by processing correctly the inequalities that define the region V in post #2.
 
Last edited:
  • #14
vela said:
It's just a coincidence.

Can you critically assess your method and justify each step? Being able to do that is much more important than getting an answer that matches the one in the book. And when you can do that, you can have more confidence that the answer you obtained is correct.
As it turns out, it is not merely a coincidence for that method to give the correct answer. However, the fact that it does work is not readily apparent, certainly not obvious.

@WMDhamnekar ,
I agree with vela that you should be able to defend this method, if you use this method. Likely the author covered the "why" of how it works.

I don't have access to the book by Prof. Michael Corral, but consider the following.

For any value of ##z_h## where ##|z_h|\le \sqrt{3}##, the following two areas are equal.

The area of a cross-section of the small sphere having radius of ##\sqrt{3}##.

The area of a cross-section of the large sphere having radius of ##2##, minus the area of a cross-section of the cylinder of radius ##1## .
 
  • Like
  • Informative
Likes   Reactions: WMDhamnekar and Delta2
  • #15
SammyS said:
Likely the author covered the "why" of how it works.

I don't have access to the book by Prof. Michael Corral.
It turns out a PDF of the book is available for free from http://www.mecmath.net.
 
  • #16
SammyS said:
For any value of zh where |zh|≤3, the following two areas are equal.
Congrats, that's a genuine observation and explains why his approach gives the same result, however to me its a kind of coincidence that this observation holds, it has to do that the radius of the cylinder is exactly 1.
 
  • #17
This approach does not depend upon the radius of the cylinder being 1.
 
  • #18
SammyS said:
This approach does not depend upon the radius of the cylinder being 1.
So you mean that the observation holds for any radius of the big sphere and the cylinder?
 
  • #19
The body lives in a sphere, so converting to spherical coordinates might be fruitful. So put
[tex] x = r\cos\phi \sin\theta,\quad y = r\sin\phi\sin\theta, \quad z = r\cos\theta[/tex]
where ##\phi \in [0,2\pi]## and ##\theta \in [0,\pi]##. Due to symmetry it suffices to let ##\theta \in [0,\pi /2]##. For ## \theta \in [0, \pi /6]## we have a piece of the volume given by
[tex] \int _0^{2\pi} \int _0^{\pi/6} \int _0^2 J \mathrm{d}r\mathrm{d}\theta \mathrm{d}\phi \overset{?}= \frac{8\pi}{3}\left (2-\sqrt{3}\right ),[/tex]
where ##J## is the Jacobian. Now, for ##\theta \in [\pi/6,\pi /2]##, the maximum radius depends on ##\theta##. More precisely ##r(\theta) = \frac{1}{\sin\theta}##. Thus, the remaining volume is
[tex] \int _0^{2\pi} \int _{\pi /6} ^{\pi /2} \int_0^{\frac{1}{\sin \theta}} J \mathrm{d}r\mathrm{d}\theta \mathrm{d}\phi \overset{?}= \frac{2\sqrt{3}\pi}{3}.[/tex]
The two sum up to the upper half of the body's volume, so multiply by ##2## to get the entire volume.

That's how I usually sketch these things. Finding the necessary limits is then straightforward.
image_2022-05-28_104602962.png
When you decide the limits, try to verify whether these limits allow you to cover every point in the body. It might be easier to compute separate pieces, because the limits could be parametrised with respect to some variables (and often are).
 
Last edited:
  • Informative
Likes   Reactions: Delta2
  • #20
WMDhamnekar said:
Summary: Find the volume V of the solid inside both ## x^2 + y^2 + z^2 =4## and ## x^2 +y^2 =1##

My attempt to answer this question: given ## x^2 + y^2 +z^2 =4; x^2 + y^2 =1 \therefore z^2 =3 \Rightarrow z=\sqrt{3}##
What is the significance of ##z^2=3##?
WMDhamnekar said:
## \displaystyle\iiint\limits_R 1dV = \displaystyle\int_0^{2\pi}\displaystyle\int_0^{\pi}\displaystyle\int_0^2 1 \rho^2 \sin{(\phi)} d\rho d\phi d\theta =\frac{32\pi}{3}##
This is the volume of the ball centered at origin with radius ##2##.
WMDhamnekar said:
Now using ##z=\sqrt{3}## we get ## \displaystyle\int_0^{2\pi}\displaystyle\int_0^\pi \displaystyle\int_0^{\sqrt{3}} 1 \rho^2\sin{\phi}d\rho d\phi d\theta = 4\sqrt{3}\pi##
You have computed the volume of the ball centered at origin with radius ##\sqrt{3}##. That's not what you are tasked to find and neither does it help.
WMDhamnekar said:
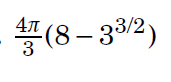
Hence the area of the solid is ##\frac{32\pi}{3} -4\sqrt{3}\pi =\frac{4\pi}{3}*(8-3^{3/2})##
Actually, I couldn't draw out the graph of this solid.
I think the problem is solved now.
We need the volume of the solid. You have computed the volume that is left over after the smaller ball (with radius ##\sqrt{3}##) is erased inside the bigger ball. That is definitely not what you are tasked to find.
 
  • #21
My solution's strategy is that I break the triple volume integral into the volume of the cylinder from ##z=-\sqrt{3}## to ##z=\sqrt{3}## and the volume of two spherical caps from ##z=\pm\sqrt 3 ## to ##z=\pm 2##. So the integrals are $$\int_{-\sqrt{3}}^{\sqrt{3}}\int\int_{x^2+y^2\leq 1}1dxdydz+\int_{-2}^{-\sqrt{3}}\int\int_{x^2+y^2\leq 4-z^2}1dxdydz+\int_{\sqrt{3}}^{2}\int\int_{x^2+y^2\leq 4-z^2}1dxdydz$$

The integration with respect to x and y is done in polar coordinates and then follows the integration with respect to z. For the first term after we integrate in polar coordinates we get a function which is constant w.r.t z, but for the 2nd and 3rd term we get a function that depends on z.
 
  • Like
Likes   Reactions: nuuskur
  • #22
WMDhamnekar said:
But the author has provided the same answer for this question. I think your logic is something different than author Prof.Michael Corral , schoolcraft college, United States of America. Name of the book "Vector Calculus Part 2"
Your reasoning is suboptimal. It is not the end result your grader is interested in but how you obtain it. You should prioritise technique. Provided your solution is correct you will get the correct answer.

Also, the answer section could contain mistakes. Not often, but it still happens from time to time.
 
  • Like
Likes   Reactions: Delta2
  • #23
Something not pointed out until many posts later in this thread:
WMDhamnekar said:
My attempt to answer this question: given ## x^2 + y^2 +z^2 =4; x^2 + y^2 =1 \therefore z^2 =3 \Rightarrow z=\sqrt{3}##
The work above contains a very basic mistake: ##z^2 = 3## has two solutions; namely, ##z = \pm \sqrt 3##. In your subsequent work you mention only the positive square root.
 
  • #24
Mark44 said:
Something not pointed out until many posts later in this thread:

The work above contains a very basic mistake: ##z^2 = 3## has two solutions; namely, ##z = \pm \sqrt 3##. In your subsequent work you mention only the positive square root.
It doesn't really matter cause all he does is to compute the volume of the "smaller" sphere with radius ##\rho=\sqrt{3}##.

However under the new light shed by @SammyS, his approach can be justified to be correct and not a simple coincidence. Let's wait to hear from the OP
@WMDhamnekar I suggest you read carefully post #14, it contains info that leads to justification of your method as correct (and me wrong that criticized you o:))...
 
  • Like
  • Haha
Likes   Reactions: WMDhamnekar and SammyS
  • #25
Delta2 said:
My solution's strategy is that I break the triple volume integral into the volume of the cylinder from ##z=-\sqrt{3}## to ##z=\sqrt{3}## and the volume of two spherical caps from ##z=\pm\sqrt 3 ## to ##z=\pm 2##. So the integrals are $$\int_{-\sqrt{3}}^{\sqrt{3}}\int\int_{x^2+y^2\leq 1}1dxdydz+\int_{-2}^{-\sqrt{3}}\int\int_{x^2+y^2\leq 4-z^2}1dxdydz+\int_{\sqrt{3}}^{2}\int\int_{x^2+y^2\leq 4-z^2}1dxdydz$$

The integration with respect to x and y is done in polar coordinates and then follows the integration with respect to z. For the first term after we integrate in polar coordinates we get a function which is constant w.r.t z, but for the 2nd and 3rd term we get a function that depends on z.
Other two math experts have solved this question using two different methods:
Method 1

## V= \frac{32\pi}{3} - \displaystyle\int_0^{2\pi} \displaystyle\int_{\frac{\pi}{6}}^{\frac{5\pi}{6}} \displaystyle\int_{\csc{\phi}}^2 \rho^2 \sin{\phi} d\rho d\phi d\theta = \frac{4\pi}{3} (8 -3\sqrt{3})##

Method 2

## V = \displaystyle\int_0^1 4\pi r (4-r^2) dr = 4\pi (\frac83 -\sqrt{3}) \sim 11.745##

Method 3

Using Monte Carlo method in any programming language also, we can answer this question.
 
  • Informative
Likes   Reactions: Delta2
  • #26
All this is fine, just to utilize the hint from @SammyS to prove that your work does indeed calculate the correct result (and it is not a coincidence). That hint tell you essentially that the volume of the small sphere is equal to the volume of the big sphere minus the volume of the cylinder between the planes ##z=\sqrt{3} ## and ##z=-\sqrt{3}##. So when you subtract the volume of the small sphere from the volume of the big sphere, you calculate the volume of the two spherical caps, plus the volume of the aforementioned cylinder, which is the same as what I did.
 
  • #27
WMDhamnekar said:
Method 2

## V = \displaystyle\int_0^1 4\pi r (4-r^2) dr = 4\pi (\frac83 -\sqrt{3}) \sim 11.745##
[tex] \int _0^1 4\pi r(4-r^2)\mathrm{d}r = -2\pi \int _0^1 (4-r^2)\mathrm{d}(4-r^2) = 7\pi \not\approx 11.745[/tex]
This integral makes no sense to me in the context of this problem.

Whether or not "other math experts" have got the right answer shouldn't be relevant and neither should you blindly quote something as a solution. Do you understand any of the solutions? That's the important part.

Method 1

## V= \frac{32\pi}{3} - \displaystyle\int_0^{2\pi} \displaystyle\int_{\frac{\pi}{6}}^{\frac{5\pi}{6}} \displaystyle\int_{\csc{\phi}}^2 \rho^2 \sin{\phi} d\rho d\phi d\theta = \frac{4\pi}{3} (8 -3\sqrt{3})##
The integral is correct. I haven't checked if the evaluation is correct.

edit:
[tex] \begin{align*}<br /> \int_0^{2\pi} \displaystyle\int_{\frac{\pi}{6}}^{\frac{5\pi}{6}} \displaystyle\int_{\csc{\phi}}^2 \rho^2 \sin{\phi} d\rho d\phi d\theta &= 2 \int_0^{2\pi} \displaystyle\int_{\frac{\pi}{6}}^{\frac{\pi}{2}} \displaystyle\int_{\csc{\phi}}^2 \rho^2 \sin{\phi} d\rho d\phi d\theta \\ <br /> &=\frac{2}{3} \int _0^{2\pi} \int _{\pi/6} ^{\pi /2} \left (8\sin\phi - \frac{1}{\sin ^2\phi}\right ) d\phi d\theta \\<br /> &= \frac{4\pi}{3} \int _{\pi /6} ^{\pi /2} \left (8\sin\phi - \frac{1}{\sin ^2\phi}\right ) d\phi \\<br /> &= \frac{4\pi}{3} \left (-8\cos\phi + \frac{1}{\tan\phi}\right )\Bigg\vert _{\pi /6}^{\pi /2} \\<br /> &= \frac{12\sqrt{3}\pi}{3}<br /> <br /> \end{align*}[/tex]
so
[tex] V = \frac{32\pi}{3} - \frac{12\sqrt{3}\pi}{3} = \frac{4\pi}{3} \left (8-3\sqrt{3} \right ).[/tex]
 
Last edited:
  • Like
Likes   Reactions: Delta2
  • #28
vela said:
It turns out a PDF of the book is available for free from http://www.mecmath.net.
After looking at the PDF of the book, I would say that the author, never covered that scheme of subtracting the volume of a sphere of radius ##\sqrt{3}##. In fact, I would think that method would be used to avoid using Calculus altogether.

I suspect that OP looked at the Answer key:
1653945492103.png

from which it's pretty straight forward to see the volume of a sphere of radius ##2## minus the volume of a sphere of radius ##\sqrt{3}##.

##\displaystyle \frac{4\pi}{3} 2^3 - \frac{4\pi}{3} \left(\sqrt{3}\right)^3 ##
 
  • Like
Likes   Reactions: Delta2
  • #29
nuuskur said:
[tex] \int _0^1 4\pi r(4-r^2)\mathrm{d}r = -2\pi \int _0^1 (4-r^2)\mathrm{d}(4-r^2) = 7\pi \not\approx 11.745[/tex]
This integral makes no sense to me in the context of this problem.

Whether or not "other math experts" have got the right answer shouldn't be relevant and neither should you blindly quote something as a solution. Do you understand any of the solutions? That's the important part.The integral is correct. I haven't checked if the evaluation is correct.

edit:
[tex] \begin{align*}<br /> \int_0^{2\pi} \displaystyle\int_{\frac{\pi}{6}}^{\frac{5\pi}{6}} \displaystyle\int_{\csc{\phi}}^2 \rho^2 \sin{\phi} d\rho d\phi d\theta &= 2 \int_0^{2\pi} \displaystyle\int_{\frac{\pi}{6}}^{\frac{\pi}{2}} \displaystyle\int_{\csc{\phi}}^2 \rho^2 \sin{\phi} d\rho d\phi d\theta \\<br /> &=\frac{2}{3} \int _0^{2\pi} \int _{\pi/6} ^{\pi /2} \left (8\sin\phi - \frac{1}{\sin ^2\phi}\right ) d\phi d\theta \\<br /> &= \frac{4\pi}{3} \int _{\pi /6} ^{\pi /2} \left (8\sin\phi - \frac{1}{\sin ^2\phi}\right ) d\phi \\<br /> &= \frac{4\pi}{3} \left (-8\cos\phi + \frac{1}{\tan\phi}\right )\Bigg\vert _{\pi /6}^{\pi /2} \\<br /> &= \frac{12\sqrt{3}\pi}{3}<br /> <br /> \end{align*}[/tex]
so
[tex] V = \frac{32\pi}{3} - \frac{12\sqrt{3}\pi}{3} = \frac{4\pi}{3} \left (8-3\sqrt{3} \right ).[/tex]

nuuskur said:
[tex] \int _0^1 4\pi r(4-r^2)\mathrm{d}r = -2\pi \int _0^1 (4-r^2)\mathrm{d}(4-r^2) = 7\pi \not\approx 11.745[/tex]
This integral makes no sense to me in the context of this problem.

Whether or not "other math experts" have got the right answer shouldn't be relevant and neither should you blindly quote something as a solution. Do you understand any of the solutions? That's the important part.The integral is correct. I haven't checked if the evaluation is correct.

edit:
[tex] \begin{align*}<br /> \int_0^{2\pi} \displaystyle\int_{\frac{\pi}{6}}^{\frac{5\pi}{6}} \displaystyle\int_{\csc{\phi}}^2 \rho^2 \sin{\phi} d\rho d\phi d\theta &= 2 \int_0^{2\pi} \displaystyle\int_{\frac{\pi}{6}}^{\frac{\pi}{2}} \displaystyle\int_{\csc{\phi}}^2 \rho^2 \sin{\phi} d\rho d\phi d\theta \\<br /> &=\frac{2}{3} \int _0^{2\pi} \int _{\pi/6} ^{\pi /2} \left (8\sin\phi - \frac{1}{\sin ^2\phi}\right ) d\phi d\theta \\<br /> &= \frac{4\pi}{3} \int _{\pi /6} ^{\pi /2} \left (8\sin\phi - \frac{1}{\sin ^2\phi}\right ) d\phi \\<br /> &= \frac{4\pi}{3} \left (-8\cos\phi + \frac{1}{\tan\phi}\right )\Bigg\vert _{\pi /6}^{\pi /2} \\<br /> &= \frac{12\sqrt{3}\pi}{3}<br /> <br /> \end{align*}[/tex]
so
[tex] V = \frac{32\pi}{3} - \frac{12\sqrt{3}\pi}{3} = \frac{4\pi}{3} \left (8-3\sqrt{3} \right ).[/tex]
Sorry. I stated wrongly the Method 2.
Corrected Method 2
is ## \displaystyle\int_{r=0}^1 4\pi r\sqrt{4-r^2} dr = \frac{\pi(32- 12\sqrt{3})}{3} \sim 11.745 ##
Now, what are your comments on this corrected Method 2 ?
 
  • #30
I know you didn't ask for my comment but it might be another method with "hidden" justification, just like yours is. You have to provide more details (at least to me) on why the integrand is ##4\pi r\sqrt{4-r^2}## and also why the limits of integration are from 0 to 1.
 

Similar threads

  • · Replies 2 ·
Replies
2
Views
2K
  • · Replies 5 ·
Replies
5
Views
3K
Replies
3
Views
2K
Replies
12
Views
2K
  • · Replies 8 ·
Replies
8
Views
2K
  • · Replies 6 ·
Replies
6
Views
2K
  • · Replies 2 ·
Replies
2
Views
2K
  • · Replies 20 ·
Replies
20
Views
3K
  • · Replies 3 ·
Replies
3
Views
2K
  • · Replies 1 ·
Replies
1
Views
2K