How do you Calculate Ampacity of a Conductor Geometry?

Click For Summary

Homework Help Overview

The discussion revolves around calculating the ampacity of a nickel strip, focusing on the theoretical understanding of how ampacity is determined and the factors influencing it. The original poster presents a scenario involving a nickel strip with specific dimensions and seeks to understand the principles behind ampacity calculations, particularly in the context of DC current applications.

Discussion Character

  • Exploratory, Conceptual clarification, Assumption checking

Approaches and Questions Raised

  • The original poster attempts to derive ampacity using equations and questions the role of conductor length in ampacity calculations. Participants raise concerns about the dimensional consistency of the equations and suggest considering factors like thermal resistance and convective cooling. There are discussions about the need for specific conditions, such as ambient temperature and maximum allowable temperature for the conductor.

Discussion Status

The discussion is ongoing, with participants providing insights into the complexities of ampacity calculations. Some guidance has been offered regarding the need for additional parameters and the importance of understanding heat dissipation mechanisms. There is an exploration of different interpretations and approaches to the problem.

Contextual Notes

Participants note that the original poster's question lacks sufficient data, such as ambient conditions and the context of use for the nickel strip. There is also mention of the theoretical nature of the exercise, emphasizing that the numbers used are not based on real-world applications.

BuddyBoy
Messages
41
Reaction score
2
Homework Statement
Calculate the ampacity of a nickel strip with thickness of 0.10 mm, width of 10 mm, and length 50 mm, assuming a DC current.
Relevant Equations
See below. There are many.
I'm not sure what forum to put this in. Sorry if I have placed this in the wrong forum. This topic seems to require understanding of both electrical and mechanical, so I'm placing this in the physics forum. Knowledge of this subject doesn't appear to be too common, so I'm not posting it in the introductory forum.

This is a theoretical thought exercise ONLY to help in understanding the ideas and concepts. The numbers in the question statement are MADE UP, simple numbers to do math with.

I'm hoping to understand how ampacity of a conductor is calculated and I have some questions. There are ampacity tables you can look up online, but what do you do when you are using a conductor that is not in these tables, and where do these numbers even come from? Are these numbers really just experimental data determined from testing, or can they be obtained with math? I'm attempting to understand where these numbers come from by attempting to calculate such a value in this theoretical thought exercise.

Ampacity is the current a conductor can handle before it is considered "overheated".

Question Statement: Calculate the ampacity of a nickel strip with thickness of 0.10 mm, width of 10 mm, and length 50 mm, assuming a DC current application.
1736824132267.png


Insert Equation 2 into Equation 1to get Equation 3.

1736825721803.png



Insert Equation 3 into Equation 4 to get Equation 5.

1736825656846.png


Insert Equation 5 into Equation 6 to get Equation 7.

1736824293899.png


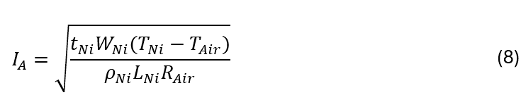
Rearrange Equation 7 for ampacity current to get Equation 8.

1736824350362.png


Inserting the values of constants, results in Equation 9.

1736824401784.png


Looking online, ampacity does not care about the length of material. This would explain why the units do not work out. I now have based on the previous equations, Equation 10-14 taking this into consideration.

1736824450400.png


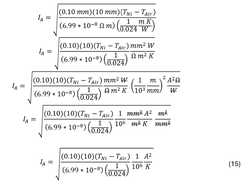
Inserting the values for the constants results in Equation 15.

1736825872694.png


Assuming that I have done everything above correctly, I have the following questions still:
  1. The ampacity does not care about length of the conductor, but why? I'm really not understanding this. I would assume the longer the conductor, the more current it can handle without overheating.
  2. What temperature should I use for the acceptable temperature in Kelvin for Nickel before it is considered "overheated"?
  3. What temperature should I use for ambient air in Kelvin?
Thank you for any help in understanding this!
 

Attachments

  • 1736824247875.png
    1736824247875.png
    10.2 KB · Views: 83
Last edited:
  • Like
Likes   Reactions: WWGD
Physics news on Phys.org
As you note, your equation 6 is dimensionally inconsistent. Certainly I would include the surface area in the denominator on the right, but that still leaves you needing a length factor in the numerator.
To use that equation, the external temperature (your ##T_{air}##) should be some guaranteed constant lower temperature and the length factor would be the distance to it through a solid medium. Using the value you have for the thermal resistance of air requires there is no convection, which is surely quite wrong.
You need to use something like Newton’s equation for convective cooling. This uses a heat transfer coefficient (at the interface between the nickel and the air) instead.
https://en.wikipedia.org/wiki/Convection_(heat_transfer)#Newton's_law_of_cooling
However, it is ideally for the forced convection case, i.e. a fan. In unforced convection the strength of the air current depends on the temperature difference, leading to a nonlinear relationship.
 
A few thoughts...

BuddyBoy said:
Homework Statement: Calculate the ampacity of a nickel strip with thickness of 0.10 mm, width of 10 mm, and length 50 mm, assuming a DC current.
There are insufficient data. Ampacity (AFAIK) is the maximum current a particular conductor can carry under a specified set of conditions. You would need to specify: the ambient temperature (is the conductor for use inside a refrigerator or for inside a furnace?); the maximum acceptable temperature for the nickel (e.g. is it to safely prevent skin-contact burn or to safely prevent the nickel melting?); is this in free air or is the nickel enclosed?; and probably other things that don't instantly spring to mind.

BuddyBoy said:
I'm not sure what forum to put this in. Sorry if I have placed this in the wrong forum. This topic seems to require understanding of both electrical and mechanical, so I'm placing this in the physics forum. Knowledge of this subject doesn't appear to be too common, so I'm not posting it in the introductory forum.
The Electrical Engineering section might be OK.

BuddyBoy said:
This is a theoretical thought exercise ONLY to help in understanding the ideas and concepts. The numbers in the question statement are MADE UP, simple numbers to do math with.

I'm hoping to understand how ampacity of a conductor is calculated and I have some questions. There are ampacity tables you can look up online, but what do you do when you are using a conductor that is not in these tables, and where do these numbers even come from? Are these numbers really just experimental data determined from testing, or can they be obtained with math? I'm attempting to understand where these numbers come from by attempting to calculate such a value in this theoretical thought exercise.

Ampacity is the current a conductor can handle before it is considered "overheated".

Question Statement: Calculate the ampacity of a nickel strip with thickness of 0.10 mm, width of 10 mm, and length 50 mm, assuming a DC current application.
EDIT You might be better working entirely symbolically, e.g. using 't', 'w', 'L' for the dimensions. And c Cross-sectional area alone (A =tw) might be sufficient rather than t and w.

Using symbols would simplify your working and make the effect of each parameter clear. Numerical values can be substituted (if required) at the very end.

BuddyBoy said:
No need to use so many subscripts here. E.g. just use ##L## for length; no need for ##L_{Ni}## which clutters the working and is hard on the eye. And really you want a general formula not limited to nickel.

BuddyBoy said:
Insert Equation 2 into Equation 1to get Equation 3.

View attachment 355828


Insert Equation 3 into Equation 4 to get Equation 5.

View attachment 355827

Insert Equation 5 into Equation 6 to get Equation 7.

View attachment 355822

Rearrange Equation 7 for ampacity current to get Equation 8.

View attachment 355823

Inserting the values of constants, results in Equation 9.

View attachment 355824

Looking online, ampacity does not care about the length of material. This would explain why the units do not work out. I now have based on the previous equations, Equation 10-14 taking this into consideration.

View attachment 355825

Inserting the values for the constants results in Equation 15.

View attachment 355829

Assuming that I have done everything above correctly, I have the following questions still:
  1. The ampacity does not care about length of the conductor, but why? I'm really not understanding this. I would assume the longer the conductor, the more current it can handle without overheating.
The rate of heat loss is proportional to the surface area (say 'S') (not to be confused with the cross-sectional area, A). And S (ignoring the ends) is proportional to L.

Ask yourself what doubling the length (but keeping the current constant) would do to:
- the rate of heat production;
- the rate of heat loss.
You will see the the two effects cancel! So conductor length doesn’t matter. This comes out of the maths of course, but a qualitative insight is useful..

BuddyBoy said:
  1. What temperature should I use for the acceptable temperature in Kelvin for Nickel before it is considered "overheated"?
  2. What temperature should I use for ambient air in Kelvin?
The temperatures depends on the context. An ampacity refers to a specific set of conditions - see above.

Also note that 'kelvin' (temperature unit) has a lower-case 'k' - though the symbol is 'K'.

EDITED.
 
Last edited:
I was trying to use the electrical circuit model for heat dissipation, and as others have pointed out, made a few errors. I really appreciate it.
1736899213397.png


It appears that my Equation #7 in Post #1 is incorrect.

$$T_C-T_A = P_{Ni} R_{Air}$$
Where:
##T_C## is the temperature of the conductor in ##K##
##T_A## is the temperature of ambient air in ##K##
##P_{Ni}## is the power dissipated by the nickel strip in ##W##
##R_{Air}## is the thermal resistance of air in ##\frac{K}{W}##

It looks like my mistake is that for ##R_{Air}## I had the wrong unit of measurement. I had assumed it was in ##\frac{m K}{W}##.

Doing a UoM check on the Ohm's law equation this is clear:
$$K \neq \cancel{W} \frac{m\;K}{\cancel{W}}$$
$$K \neq m\;K$$
haruspex said:
As you note, your equation 6 is dimensionally inconsistent. Certainly I would include the surface area in the denominator on the right, but that still leaves you needing a length factor in the numerator.
To use that equation, the external temperature (your ##T_{air}##) should be some guaranteed constant lower temperature and the length factor would be the distance to it through a solid medium. Using the value you have for the thermal resistance of air requires there is no convection, which is surely quite wrong.
You need to use something like Newton’s equation for convective cooling. This uses a heat transfer coefficient (at the interface between the nickel and the air) instead.
https://en.wikipedia.org/wiki/Convection_(heat_transfer)#Newton's_law_of_cooling
However, it is ideally for the forced convection case, i.e. a fan. In unforced convection the strength of the air current depends on the temperature difference, leading to a nonlinear relationship.
As pointed by @haruspex . It seems that I actually need to calculate ##R_{Air}##, which I do below, such that it has UoM of ##\frac{K}{W}##.

$$R_{Air} = \frac{1}{A_{Ni}h_{Ni-to-Air}}$$
$$R_{Air} = \frac{1}{t_{Ni}W_{Ni} h_{Ni-to-Air}}$$
Where:
##A_{Ni}## is the cross sectional area of nickel in ##m^{2}##.
##t_{Ni}## is the thickness of the nickel ## 0.1\;mm##.
##W_{Ni}## is the width of the nickel ##10\;mm##.
##h_{Ni-to-Air}## is heat transfer coefficient from nickel to ambient air under natural convection in ##\frac{W}{m^{2}\;K}##

Checking the UoMs below, it seems to check out.
$$\frac{K}{W} = \frac{ \cancel{m^{2}}\;K}{\cancel{m^{2}}\;W}$$
$$\frac{K}{W} = \frac{K}{W}$$

As pointed out by @haruspex It looks like I need to update my question statement to specify natural convection. In this exercise I'm assuming natural convection, no fans blowing air or other forms of cooling.

Question Statement: Calculate the ampacity of a nickel strip with thickness of 0.10 mm, width of 10 mm, and length 50 mm, assuming a DC current application, and natural convection.

Substituting in my new equation for ##R_{Air}## into the Ohm's law equation for the electrical circuit model
$$T_C-T_A = P_{Ni} R_{Air}$$
$$T_C-T_A = P_{Ni} \frac{1}{t_{Ni}W_{Ni} h_{Ni-to-Air}}$$

Now I need to calculate the power dissipated by the nickel strip.
$$P_{Ni} = I_{A}^{2} R_{Ni}$$
Where:
##I_{A}^{2}## is the ampacity current in ##A##.
##R_{Ni}## is the resistance of nickel in ##\Omega##,

As mentioned by @haruspex, with this discovery of this error, I will most certainly need to take into consideration the length of the nickel strip, when finding the resistance of the nickel strip.

$$R_{Ni} = \frac{\rho_{Ni} L_{Ni} }{A_{Ni}}$$
$$R_{Ni} = \frac{\rho_{Ni} L_{Ni} }{t_{Ni} W_{Ni}}$$
Where:
##\rho_{Ni}## is the resistivity of nickel ##6.99*10^{-8}\;\Omega\;m##.
##L_{Ni}## is the length of the nickel strip ##50\;mm##.

Plugging in the equation for ##R_{Ni}## into the equation for ##P_{Ni}## I get:
$$P_{Ni} = I_{A}^{2} R_{Ni}$$
$$P_{Ni} = I_{A}^{2} \frac{\rho_{Ni} L_{Ni} }{t_{Ni} W_{Ni}}$$

Plugging in the equation for ##P_{Ni}## into the Ohm's law equation I get:
$$T_C-T_A = P_{Ni} \frac{1}{t_{Ni}W_{Ni} h_{Ni-to-Air}}$$
$$T_C-T_A = I_{A}^{2} \frac{\rho_{Ni} L_{Ni} }{t_{Ni} W_{Ni}} \frac{1}{t_{Ni}W_{Ni} h_{Ni-to-Air}}$$
Simplifying:
$$T_C-T_A = I_{A}^{2} \frac{\rho_{Ni} L_{Ni} }{t_{Ni}^{2} W_{Ni}^{2} h_{Ni-to-Air}}$$
Solving for ##I_{A}##:
$$I_{A} = \sqrt{T_C-T_A \frac{t_{Ni}^{2} W_{Ni}^{2} h_{Ni-to-Air}}{\rho_{Ni} L_{Ni}}}$$
Moving things over for simplicity
$$I_{A} = \frac{t_{Ni} W_{Ni}}{\sqrt{L_{Ni}}} \frac{1}{\sqrt{\rho_{Ni}}} \sqrt{(T_C-T_A)h_{Ni-to-Air}}$$

Does this look correct?

Doing a UoM check:
$$A = \frac{ mm*mm} { \sqrt{mm} } \frac{ 1 }{ \sqrt{\Omega\;m} } \sqrt{K \frac{W}{m^{2}\;K}}$$
$$A = \frac{ mm^{2}} { \sqrt{mm} } \frac{ 1 }{ \sqrt{\Omega\;\cancel{m}\;10^{3}\;\frac{\;mm}{\cancel{m}}} } \sqrt{\cancel{K} \frac{\cancel{W}}{m^{2}\;\cancel{K}}\;\frac{A^{2}\;\Omega}{\cancel{W}}}$$
$$A = \frac{mm^{2}}{\sqrt{mm}}\;\frac{1}{\sqrt{mm}}\;\frac{1}{\sqrt{10^{3}}}\;\cancel{\frac{\sqrt{\Omega}}{\sqrt{\Omega}}}\;\frac{A}{m}$$
$$A = \frac{\cancel{mm^{\cancel{2}}}}{\cancel{mm}}\;\frac{1}{\sqrt{10^{3}}}\;\frac{A}{\cancel{m}}\;\frac{1}{10^{3}}\;\frac{\cancel{m}}{\cancel{mm}}$$
$$A = A$$

@Steve4Physics - I do need some guidance in determining what values to use here. I'm not sure what values to use to be honest.
  • This is for ambient air conditions, say outside, in an enclosed hard plastic box. We assume worse case scenario that it is over 110 deg F outside as the hottest temperature, and worse case scenario 32 deg F as the coldest? I'm honestly not sure what to use here. Or if I should go with the average temperature? When NEC specifies ampacity for conductors in tables, they don't specify the ambient air temperature, so I'm not sure if they just pick an "average" temperature that represents the average use case? Maybe somewhere in the middle of the two extremes?
  • The nickel is not to come into contact with a human hand. Any recommendations? I'm not sure what temperatures the national electric code uses for when determining ampacity of copper wires? This is nickel instead of copper, so I don't know if I should use a different temperature, even if the temperature that NEC uses was specified.
  • Sorry for all the subscripts. I'll remove them in follow up posts, hopefully I'm on the right track here and my equation is correct? At which point I should be good to remove the subscripts going forward. Nickel is purchased with a specified length, width and thickness, as opposed to cross sectional area. I see how it can be one or the other though in terms of specifying it. It's just why I broke it up like that.
  • Thermal resistance does not care about the length of the conductor, as you mention. Makes sense. But does the length of the conductor effect how much power is created, looking at my equation it seems to be related.
Updated Question Statement: Calculate the ampacity of a nickel strip with thickness of 0.10 mm, width of 10 mm, and length 50 mm, assuming a DC current application, and natural convection. The nickel strip resides an in enclosed plastic box outdoors.

Without the subscripts
$$I_{A} = \frac{t\;W}{\sqrt{L}} \frac{1}{\sqrt{\rho}} \sqrt{(T_C-T_A)h_{Ni-to-Air}}$$

Outstanding Questions:
  1. It seems that ##I_{A}\;\alpha\;\frac{t\;W}{\sqrt{L}}##. There is not standard convention for what dimension is length, width or thickness. In the question statement I specify that the thickness is 0.10 mm. However, in terms of the equation, could I place the three dimensional values into any of the three dimensional variables (width, length and thickness) as long as I don't use the same value more than once. Meaning that looking at a nickel strip, I may say the width is the 10 mm dimension, but you could look at the same nickel strip and say that the 10 mm dimension is the length, because there is no convention in terms of which dimension is width, length, or thickness. You can choose which dimension is which as long as your consistent within the same problem and for all calculations.
  2. What value should I use for ##h_{Ni-to-Air}## the heat transfer coefficient from nickel to ambient air under natural convection?
  3. It seems that the length of the item emitting the heat does not matter in terms of thermal resistivity, but it matters in terms of the power that is generated. Is this correct? Therefore it needs to be taken into consideration when determining ampacity? Seems like it from the equation, but I don't know if my equation is correct.
  4. What value should I use for ##T_{C}##, the temperature at which the nickel strip is considered "overheated"?
  5. What value should I use for ##T_{Air}##, ambient air outdoors? Is there an "average" use case value that gets used when determining ampacity of conductors and the standard temperature that should be used, unless the conductor is being used in an extreme environment?
Thanks for any help to any one and all in assistance in understanding this topic!
 
@BuddyBoy, the original question has problems as noted in my previous post. It’s difficult to provide feedback on an answer when the question itself isn't clear/meaningful.

Are you asking out of curiosity? Or is it for some sort of homework/report? If so, it would be useful to know what the course is. If it is for a course, you need to provide the complete and accurate problem-statement, exactly as supplied to you.
 
  • Like
Likes   Reactions: SammyS
@Steve4Physics, thanks for the feedback, and any more you can provide. I think this is a two step process here. I think Step 1 should be completed first, but I'll try and make progress in both simultaneously, just in case I'm correct.

Step 1: What is the formula to calculate ampacity of a conductor? What are all the variables that are required to be know to calculate this value? If there are unknowns but how they are determined or calculated?

I don't the answer to the sub questions, and that's part of the learning process here for me. There's likely some holes and some unknown variables? Could you assist me in determining the equation? Any values that are unknown or not specified, could we just specify with a variable for the time being, ignoring what the actual numerical values are if they are unknown?

Step 2: What are the unknown values and variables, and how are they determined? I will try to make some more progress on this tonight. and post my research here. It's a bit difficult to known which values need to be known, and how to calculate them, if I don't know if my equation is correct. It's possible that my equation is incorrect, and that there are other variables and values that I'm not aware of yet. So I could be spending time trying to figure out what these unknowns are, and they may not be needed.

Purpose - This question is being asked for my pure knowledge, and trying to learn something that I don't already know. NEC Chapter 310 (which you can Google) states ampacity of aluminum and copper conductors. It's been used for a long time it seems, and is the gold standard. But what do you use when you want to use a conductor that is not in NEC Chapter 310? Where do the values in NEC Chapter 310 even come from? I think there are applications, where you would use Nickel as a conductor, such as battery pack building. Or you could use gold as a conductor for computers, or space applications for satellites and so forth, so you don't want to worry about oxidation. But how do you find the ampacity of such conductors? I'm not sure what class this type of question would fall under, but it seems to require understanding of both electrical and mechanical fields.

Calculating thermal resistance justification - I looked into this some more, and seems that maybe what I did was indeed correct. The convection heat transfer equation:
$$\dot Q = h\;A\;(T - T_{f})$$
Where:
##\dot Q## is the heat transferred by the object in ##W##.
##h## is the heat transfer coefficient in ##\frac{W}{m^{2}\;K}## .
##A## is the cross sectional area of the object emitting the heat in ##m^{2}##.
##T## is the temperature of the object in ##K##.
##T_{f}## is the temperature of the fluid in ##K##.

To get the electrical circuit model.
Let
##\dot Q## be the the power generated by the object ##P##, and act as the current within the circuit ##I##.
##T - T_{f}## be the electrical potential difference ##V## across the resistor.
$$\dot Q = h\;A\;(T - T_{f})$$
$$I = h\;A\;V$$
$$V = I\;\frac{1}{h\;A}$$
Let:
##\frac{1}{h\;A}## represent the resistor within the circuit ##R##.
$$V = I\;R$$
Now I have an ohms law, and an electrical circuit equivalent of the heat transferred by convection
1736992240705.png

Then following along with Post #4 in the middle I substitute the calculation for the power generated by the conductor, and then solve for the current in the conductor resulting in this equation.

$$I_{A} = \frac{t\;W}{\sqrt{L\;\rho}}\;\sqrt{(T_{C}-T_{A})\;h_{Ni-to-Air}}$$

Step 2 Progress:
Observation 1: Looking through NEC Chapter 310, I stand fully corrected. Ampacities are indeed specified at ##30\;C\;(86\;F)##. There are correction factors if ambient is different. For the case of this exercise, it may be best to use ##30\;C\;(303.15\;K)## as a starting point for ##T_{A}##

Observation 2:
1736992868225.png

The ampacity for bare conductors is greater than a conductor with ##75 C## and less than or equal to a conductor with ##85 C##. Interesting!
Theory 1: ##T_{C}## is the temperature at which the insulation on the conductor begins to melt? This would make sense to me, that you would want to keep the conductor beneath the melting point of the insulation. Otherwise, it could result in an electrical short. I'm not sure what should be used for a bare conductor. Some ideas:
  • Nickel is often used used a conductor in battery packs. I'll take a value for the maximum operating temperature for a battery from a datasheet. I will go with Samsung 50S. Certainly we do not want to nickel strip to heat up to a temperature higher than the operating temperature of cells. The datasheet for this randomly chosen cell is ##60\;C\;(333.15\;K##.
  • The melting point of Nickel is #1,455\;C##.
  • The lowest temperature rating in ampacity tables that can be found within NEC Chapter 310 is for ##60\;C## insulation.
Based on this, I think ##60\;C## might be a good starting point for a nickel conductor within the equation for ##T_C##. Obviously would add in a safety factor, but for simplicity purpose of this thought exercise, we will just use ##60\;C## for the time being.

Observation 3: NEC Chapter 310 does not specify the length of the conductor. This is puzzling to me, as it seems related per the equation I found.

Observation 4: The heat transfer coefficient for nickel to air appears to be somewhere between ##5-20 \frac{W}{m^2\;K}##. If my equation is correct, I can err on the side of caution and pick the smallest number of ##5 \frac{W}{m^2\;K}##, as this would result in a lower current.

Inserting values from observations made above:
$$I_{A} = \frac{t\;W}{\sqrt{L\;\rho}}\;\sqrt{(T_{C}-T_{A})\;h_{Ni-to-Air}}$$
$$I_{A} = \frac{(0.1\;mm)(10\;mm)}{\sqrt{(50\;mm)(6.99*10^{-8}\;\Omega\;m)}}\;\sqrt{(333.15\;\cancel{K} -303.15\;\cancel{K})\;5\;\frac{W}{m^2\;\cancel{K}}}$$
$$I_{A} = \frac{1\;mm^{2}}{\sqrt{(50\;mm)(6.99*10^{-8}\;\Omega\;\cancel{m})(10^{3}\;\frac{mm}{\cancel{m}})}}\sqrt{150\;\frac{\cancel{W}}{m^2}\;\frac{A^{2}\;\Omega}{\cancel{W}}}$$
$$I_{A} = \frac{1}{\sqrt{349.5*10^{-5}}}\;\frac{\cancel{mm}^{\cancel{2}}}{\cancel{mm}\;\cancel{\sqrt{\Omega}}}\;\sqrt{25*6}\;\frac{A\;\cancel{\sqrt{\Omega}}}{\cancel{m}}\;\frac{1}{10^{3}}\;\frac{\cancel{m}}{\cancel{mm}}$$
$$I_{A} = \frac{5}{10^{3}}\;\frac{\sqrt{6}}{\sqrt{349.5}}\frac{1}{10^{-5/2}} A$$
$$I_{A} = 5\;\sqrt{\frac{6}{3495}} A$$
$$I_{A} = 5\;\sqrt{2/1165} A$$
$$I_{A}\;is\;about\;0.207 A$$

Conclusion - Something is clearly wrong here! I believe my equation to be correct, but I also believe the values that I selected for those variables ##T_{C},\;T_{A},\;h_{Ni-to-Air}## to be reasonable? But I'm not entirely sure? I think the value for ##h## might need to be closer to 25? I'm not sure how the value for ##h## is calculated. So I have no idea what I've done wrong. If anyone has any suggestions, please let me know!

Outstanding Questions:
  1. It seems that ##I_{A}\;\alpha\;\frac{tW}{\sqrt{L}}##. There is not standard convention for what dimension is length, width or thickness. In the question statement I specify that the thickness is 0.10 mm. However, in terms of the equation, could I place the three dimensional values into any of the three dimensional variables (width, length and thickness) as long as I don't use the same value more than once. Meaning that looking at a nickel strip, I may say the width is the 10 mm dimension, but you could look at the same nickel strip and say that the 10 mm dimension is the length, because there is no convention in terms of which dimension is width, length, or thickness. You can choose which dimension is which as long as your consistent within the same problem and for all calculations.
  2. Are the values I selected for ##T_{C},\;T_{A},\;h_{Ni-to-Air}## correct?
  3. Is my equation below for calculating ampacity correct ##I_{A} = \frac{t\;W}{\sqrt{L\;\rho}}\;\sqrt{(T_{C}-T_{A})\;h_{Ni-to-Air}}##?
  4. It seems that the length of the item emitting the heat does not matter in terms of thermal resistivity, but it matters in terms of the power that is generated because it effects the overall resistance of the conductor, and therefore the power. Is this correct? Therefore it needs to be taken into consideration when determining ampacity? Seems like it from the equation, but I don't know if my equation is correct. Additionally, NEC Chapter 310 does not specify the length of the conductor, suggesting that it is not relevant in determining ampacity, but I don't see why!

Thanks to anyone and all who can provide assistance in this topic, or knows what I might be doing wrong
 
Just a little background on the NEC 310 tables and general use.

Yes, the conductor current rating is dependent on the insulation used, also the conductor material.

For instance you would not use TW insulation to wire a hotplate or an electric stove, the insulation would melt off into a puddle. Things that get that hot typically use fiberglass insulation over Nickel-plated wire. The Nickel plate protects from oxidation eroding the conductor.

Another thing to consider is the mechanical environment of the wire. TW is (or was) commonly used for house wiring; the known low ambient temperatures and typically being mechanically protected by being inside walls doesn't require anything special. (although some localities require conduit even for residential wiring)

I once had to specify the control circuits for a large warehouse that received product from railroad tanker cars and sold it a tanker-truck at a time. The facility took up a few acres of land and there were controls and displays and each of the dozen or so load & unload stations. In this case, even though the current at each station was very low, typically under 1 amp, the wire was 16Gauge THHN, partly because they had to be pulled thru hundreds of feet of conduit and therefore moderately strong, and partly because anything smaller was too difficult for the construction crew to handle (they were of course wearing gloves).

(The local electrical equipment supplier was VERY happy to get that order for 22 miles of all the same type wire!)

So yes, the NEC tables are quite appropriate for general use; just remember that not everything is 'general use.'

Hope this helps.

Cheers,
Tom

p.s. Just remembered a strange occurrence from some years ago. I bought perhaps 30 feet of cheap lampcord wire just for loudspeaker wiring and general use, the two-conductor stuff as the name implies. It was bare Copper wire with clear (Vinyl?) plastic insulation. After a year or so I noticed the the bare Copper color was turning Green in some areas. Another year or so and the wire would not conduct electricity! Turned out that the plastic insulation was chemically separating and completely dissolved the Copper in some areas!
 
  • Like
Likes   Reactions: hutchphd and Steve4Physics
@BuddyBoy, a few thoughts...

1. There is no single formula for ampacity for most practical situations. Ampacity is found empirically (by experiment) because of the complexity.

2. There are no ‘right temperatures’. When you work out a value for ampacity you are finding the maximum current for a particular situation. It is up to you to specify what temperatures are appropriate for that situation.

3. Maybe step back and try a more manageable problem. E.g. try this...

A uniform conducting strip has thickness ##t##, width ##w## and length ##L##. It is heated by a constant current along its length, is uninsulated and is surrounded by air. The operating conditions require that the strip’s surface temperature never exceeds ##T_S##. The surrounding air temperature is ##T_a##.

You may assume:

- cooling occurs entirely by forced convection with heat transfer coefficient ##h## (so conductive and radiative losses are negligible);

- the strip has reached a steady-state with surface temperature ##T_S##; in this situation the current (##I##) is the value of ampacity.

Q1. Find an expression for the rate of heat-loss in terms in terms of some of the given parameters.

Q2. Find an expression for the rate of Ohmic heat production in terms of some of the given parameters.

Q3. Using your answers to Q1 and Q2, find an expression for the ampacity, ##I##.

Minor edit. And more edits because LaTeX code mysteriously vanished.
 
Last edited:
  • Like
Likes   Reactions: BuddyBoy and DaveE
@Tom.G Thanks for the input for NEC 310. I do think ##60\;C## is a good value to use ##T_{C}## and ##30\;C## as a good value for ##T_{A}##. Would obviously need a safety margin and lower ##T_{C}## a bit. Thanks for confirming that ##T_{C}## is the insulation rating for the conductor. So not sure where the bare conductor ratings come from in NEC 310.

@Steve4Physics Thanks so much for the help! I try to answer the questions below.

Q1.
$$\dot Q = h\;A\;(T_{S}-T_{a})$$
$$\dot Q = h\;t\;w\;(T_{S}-T_{a})$$
##\dot Q## is the rate of heat loss in ##W##.
##h## is the heat transfer coefficient in ##\frac{W}{m^{2}\;K}##
##t## is the thickness of the nickel strip in ##mm##
##w## is the width of the nickel strip in ##mm##
##T_{S}## is the strip's surface temperature in ##K##
##T_{a}## is the surrounding air temperature in ##K##

Q2
$$P = I_{A}^{2}\;R$$
$$R = \frac{\rho\;L}{t\;w}$$
$$P = I_{A}^{2}\;\frac{\rho\;L}{t\;w}$$

Q3
$$I_{A}^{2}\;\frac{\rho\;L}{\cancel{t\;w}} = h\;\cancel{t\;w}\;(T_{S}-T_{a})$$
$$I_{A} = \sqrt{\frac{h(T_{S}-T_{a})}{\rho\;L}}$$

Doing a unit check
$$A = \sqrt{\frac{\frac{W}{m^{2}\;\cancel{K}}\;\cancel{K}}{\Omega\;m\;mm}}$$
$$A = \sqrt{\frac{\cancel{W}\;\frac{A^{2}\;\cancel{\Omega}}{\cancel{W}}}{m^{2}\;\cancel{\Omega}\;m\;mm}}$$
$$A = A\;\sqrt{\frac{1}{m^{3}\;\cancel{mm}\;\frac{1}{10^{3}}\;\frac{m}{\cancel{mm}}}}$$
$$A = A\;\sqrt{\frac{10^{3}}{m^{4}}}$$
$$A = \frac{A}{m^{2}}\;10^{\frac{3}{2}}$$

I guess I'm doing something incorrect here. As I'm getting current per unit of area. However I'm not entirely sure what I'm doing wrong here?

Thanks for any help to anyone and all!
 
  • #10
The heat is lost by the surface area of the strip, the resistance is inversely proportional to cross.-sectional area. There is a difference. It’s not ##tw## on both sides. Also…those ##tw## factors wouldn’t divide out regardless. They would multiply…check your mathematical logic there.
 
Last edited:
  • Like
Likes   Reactions: BuddyBoy, Steve4Physics and SammyS
  • #11
BuddyBoy said:
@Steve4Physics Thanks so much for the help! I try to answer the questions below.
I'll add to what @erobz has already said.

BuddyBoy said:
Q1.
$$\dot Q = h\;A\;(T_{S}-T_{a})$$
$$\dot Q = h\;t\;w\;(T_{S}-T_{a})$$
No. ##tw##. is the cross-sectional area (though which current flows). Draw a diagram and you will see the surface through which heat is lost to the environment is a different area.

The correct area depends on ##L##. As a result ##L## will cancel when you do Q3.

BuddyBoy said:
##\dot Q## is the rate of heat loss in ##W##.##h## is the heat transfer coefficient in ##\frac{W}{m^{2}\;K}##
##t## is the thickness of the nickel strip in ##mm##
##w## is the width of the nickel strip in ##mm##
##T_{S}## is the strip's surface temperature in ##K##
##T_{a}## is the surrounding air temperature in ##K##
Units are not really required at this stage. Note that the symbolic equations are independent of units. E.g. you migt live somewere that still uses inches for length - but the symbolic equations would still be the same!

And if you want to use the heat transfer coefficient with units of ##\frac{W}{m^{2}\;K}## for a calculation later, then you would express all lengths in metres (not in mm) so that areas turn out in ##m^2##. For example, if ##t##= 0.10mm you would first convert it to metres when substituting it into the equation.

BuddyBoy said:
Q2
$$P = I_{A}^{2}\;R$$
$$R = \frac{\rho\;L}{t\;w}$$
$$P = I_{A}^{2}\;\frac{\rho\;L}{t\;w}$$
Ok

BuddyBoy said:
Q3
$$I_{A}^{2}\;\frac{\rho\;L}{\cancel{t\;w}} = h\;\cancel{t\;w}\;(T_{S}-T_{a})$$
Your algebra is incorrect. ##tw## doesn't cancel.

You can try again after you have fixed the above points!
 
  • Like
Likes   Reactions: BuddyBoy
  • #12
BuddyBoy said:
Homework Statement: Calculate the ampacity of a nickel strip with thickness of 0.10 mm, width of 10 mm, and length 50 mm, assuming a DC current.
Relevant Equations: See below. There are many.

I'm not sure what forum to put this in. Sorry if I have placed this in the wrong forum. This topic seems to require understanding of both electrical and mechanical, so I'm placing this in the physics forum. Knowledge of this subject doesn't appear to be too common, so I'm not posting it in the introductory forum.

This is a theoretical thought exercise ONLY to help in understanding the ideas and concepts. The numbers in the question statement are MADE UP, simple numbers to do math with.

I'm hoping to understand how ampacity of a conductor is calculated and I have some questions. There are ampacity tables you can look up online, but what do you do when you are using a conductor that is not in these tables, and where do these numbers even come from? Are these numbers really just experimental data determined from testing, or can they be obtained with math? I'm attempting to understand where these numbers come from by attempting to calculate such a value in this theoretical thought exercise.

Ampacity is the current a conductor can handle before it is considered "overheated".

Question Statement: Calculate the ampacity of a nickel strip with thickness of 0.10 mm, width of 10 mm, and length 50 mm, assuming a DC current application.
The cross sections of conductors used in industry have been standardized and tested experimentally. Each standard section of a conductor or busbar corresponds to a certain value of the long-term permissible current strength. In the design of electrical systems, the concept of choosing a conductor with a margin is applied, that is, if the rated current of the circuit is between the values of two conductors, then a conductor with a larger cross-section is selected. If your task is to determine the long-term allowable current of a non-standard conductor, I can suggest the following options: 1) Make a full-size conductor and discharge it with current, 2) Apply the method of analogies. This means that for a number of standard copper busbars, you need to plot their rated currents. Then you need to make the transition from copper to nickel by recalculating the standard series of conductivity. Next, you need to plot the rated currents for nickel tires. According to this graph, you can find the current for your bus
 
  • #13
Ah yes, it seems this has answered my question about which dimension to call which, and made some errors. Thank you!

This is the convention, but there is no formal definition. It seems some of equations are dependent on the dimension parallel to the flow of current vs the perpendicular
1737166624459.png


$$\dot{Q} =h\;A\;(T_{C}-T_{A})$$
$$\dot{Q} =h\;X_{||}\;X_{⊥1}\;(T_{C}-T_{A})$$
$$\dot{Q} =h\;L\;W\;(T_{C}-T{A})$$
Where:
##\dot{Q}## is the power dissipated by the conductor in ##W##
##h## is the heat transfer coefficient in ##\frac{W}{m^{2}\;K}##
##X_{||}## is the physical dimension that is parallel to the flow of current in ##mm## this is typically considered the length ##L##
##X_{⊥1}## is one of the two physical dimensions that is perpendicular to the flow of current in ##mm##, this typically considered the width ##W##
##T_{C}## is the temperature of the conductor in ##K##
##T_{A}## is the temperature of ambient air in ##K##

$$R = \frac{\rho\;L}{A}$$
$$R = \frac{\rho\;L}{X_{⊥2}X_{⊥2}}$$
$$R = \frac{\rho\;L}{W\;t}$$
Where:
##R## is the resistance of the conductor in ##\Omega##
##\rho## is the resistivity of the conductor in ##\Omega\;m##
##X_{⊥1}## is one of the two physical dimensions that is perpendicular to the flow of current in ##mm##, this typically considered the width ##W##
##X_{⊥2}## is one of the two physical dimensions that is perpendicular to the flow of current in ##mm##, this typically considered the thickness ##t##

$$P = I_{A}^{2}\;R$$
$$P = I_{A}^{2}\;\frac{\rho\;L}{W\;t}$$
##P## is the power conductor in ##W##
##I_{A}## is the ampacity current in ##A##

$$I_{A}^{2}\;\frac{\rho\;L}{W\;t} =h\;L\;W\;(T_{C}-T_{A})$$
$$I_{A}^{2} = \frac{W\;t}{\rho\;\cancel{L}}\;h\;\cancel{L}\;W\;(T_{C}-T_{A})$$
$$I_{A}^{2} = \frac{W^{2}\;t}{\rho}\;h\;(T_{C}-T_{A})$$
$$I_{A} = \sqrt{\frac{W^{2}\;t}{\rho}\;h\;(T_{C}-T_{A})}$$
$$I_{A} =W\;\sqrt{\frac{t}{\rho}}\;\sqrt{h(T_{C}-T_{A})}$$

I believe the above equation is correct?

Any recommendations on how to find ##h## or what value I should use? It seems like for Nickel to air the heat transfer coefficient is somewhere between ##5## and ##25 \frac{W}{m^2\;K}##, but I'm unsure which value to use, or how to find it, or calculate it. If it's easier, and likely more realistic, I could use natural convection, without a fan blowing air on the nickel strip.

Now I have to ask, it seems that I'm only considering the the heat emitted from one surface out of the six possible surfaces of the rectangular prism. I don't need to consider the heat dissipated from the other surfaces?
 
  • #14
BuddyBoy said:
Ah yes, it seems this has answered my question about which dimension to call which, and made some errors. Thank you!

This is the convention, but there is no formal definition. It seems some of equations are dependent on the dimension parallel to the flow of current vs the perpendicular
View attachment 356024

$$\dot{Q} =h\;A\;(T_{C}-T_{A})$$
$$\dot{Q} =h\;X_{||}\;X_{⊥1}\;(T_{C}-T_{A})$$
$$\dot{Q} =h\;L\;W\;(T_{C}-T{A})$$
Where:
##\dot{Q}## is the power dissipated by the conductor in ##W##
##h## is the heat transfer coefficient in ##\frac{W}{m^{2}\;K}##
##X_{||}## is the physical dimension that is parallel to the flow of current in ##mm## this is typically considered the length ##L##
##X_{⊥1}## is one of the two physical dimensions that is perpendicular to the flow of current in ##mm##, this typically considered the width ##W##
##T_{C}## is the temperature of the conductor in ##K##
##T_{A}## is the temperature of ambient air in ##K##

$$R = \frac{\rho\;L}{A}$$
$$R = \frac{\rho\;L}{X_{⊥2}X_{⊥2}}$$
$$R = \frac{\rho\;L}{W\;t}$$
Where:
##R## is the resistance of the conductor in ##\Omega##
##\rho## is the resistivity of the conductor in ##\Omega\;m##
##X_{⊥1}## is one of the two physical dimensions that is perpendicular to the flow of current in ##mm##, this typically considered the width ##W##
##X_{⊥2}## is one of the two physical dimensions that is perpendicular to the flow of current in ##mm##, this typically considered the thickness ##t##

$$P = I_{A}^{2}\;R$$
$$P = I_{A}^{2}\;\frac{\rho\;L}{W\;t}$$
##P## is the power conductor in ##W##
##I_{A}## is the ampacity current in ##A##

$$I_{A}^{2}\;\frac{\rho\;L}{W\;t} =h\;L\;W\;(T_{C}-T_{A})$$
$$I_{A}^{2} = \frac{W\;t}{\rho\;\cancel{L}}\;h\;\cancel{L}\;W\;(T_{C}-T_{A})$$
$$I_{A}^{2} = \frac{W^{2}\;t}{\rho}\;h\;(T_{C}-T_{A})$$
$$I_{A} = \sqrt{\frac{W^{2}\;t}{\rho}\;h\;(T_{C}-T_{A})}$$
$$I_{A} =W\;\sqrt{\frac{t}{\rho}}\;\sqrt{h(T_{C}-T_{A})}$$

I believe the above equation is correct?

Any recommendations on how to find ##h## or what value I should use? It seems like for Nickel to air the heat transfer coefficient is somewhere between ##5## and ##25 \frac{W}{m^2\;K}##, but I'm unsure which value to use, or how to find it, or calculate it. If it's easier, and likely more realistic, I could use natural convection, without a fan blowing air on the nickel strip.

Now I have to ask, it seems that I'm only considering the the heat emitted from one surface out of the six possible surfaces of the rectangular prism. I don't need to consider the heat dissipated from the other surface
What is the surface area of the parallel-piped?
 
  • #15
erobz said:
What is the surface area of the parallel-piped?
If current is flowing in this direction, parallel with the "Length" vector
1737174358318.png

Than the surface area would be with the width times the length. Which is what I did.

We are talking about the top surface right? Meaning if I placed a rectangular box on the table, and looked at it from a bird's eye view directly above it, it would be the "top surface" that I'm observing.

I'm misunderstanding something I take it?
 
  • #16
The surface area is the sum of the areas of all the surfaces exposed to air.

So, to the area you computed, you would add the area of the bottom surface, and the area of the two sides.

Or, as a thought experiment, If you drop a sugar cube into a glass of water, the total area of all the surfaces that get wet. :wink:

Cheers,
Tom
 
  • Like
Likes   Reactions: Steve4Physics and erobz
  • #17
Tom.G said:
The surface area is the sum of the areas of all the surfaces exposed to air.

So, to the area you computed, you would add the area of the bottom surface, and the area of the two sides.

Or, as a thought experiment, If you drop a sugar cube into a glass of water, the total area of all the surfaces that get wet. :wink:

Cheers,
Tom
Thank you!

I would consider all 6 surfaces if the strip was floating in the air.

If the strip was sitting on the table, do I still consider all 6 surfaces? I take it that the one surface that is in contact with the table would still need to be considered for the A term. It's just that one of the surfaces being in contact with something other than air, would effect the "h" term only?
 
  • #18
Just assume a uniform temperature distribution for now. Multidimensional heat transfer with different modes quickly becomes analytically unpalatable. You are still working on the core idea, let’s not make the problem unsolvable just yet.
 
  • #19
BuddyBoy said:
$$\dot{Q} =h\;X_{||}\;X_{⊥1}\;(T_{C}-T_{A})$$
For clarity and readability I highly recommend using only simple, self-explanatory symbols. A diagram at the start can unamiguously define these, e.g.
1737203831709.png

And do not think about units at this stage! Derive all formula without even mentioning units! Units are something you only need to consider when using your final formula to do numerical calculations.

BuddyBoy said:
$$I_{A} =W\;\sqrt{\frac{t}{\rho}}\;\sqrt{h(T_{C}-T_{A})}$$

I believe the above equation is correct?
Not correct! Two problems I can immediately spot are:

a) By defining the unit for each symbol you have introduced major errors. For example the unit for resistivity is ohm-metres. But you have defined lengths to be in mm. The resistivity would need to be in ohm-millimetres for consistency. That alone introduces an error-factor of 1000! You should not be mentioning units - as already stated above (and as stated in previous posts)!

b) You have only considered heat-loss from a single face (as you are aware); but this is inconsistent with the original problem-statement.

BuddyBoy said:
Any recommendations on how to find ##h## or what value I should use? It seems like for Nickel to air the heat transfer coefficient is somewhere between ##5## and ##25 \frac{W}{m^2\;K}##, but I'm unsure which value to use, or how to find it, or calculate it. If it's easier, and likely more realistic, I could use natural convection, without a fan blowing air on the nickel strip.
The value shouldn't depend on the material. It should be pretty much the same for any material. That's because we are considering convection at a smooth outer surface not something happening internally. However it will be affected by the air-flow rate (e.g. what speed is used for a cooling-fan) and the direction of air flow.

BuddyBoy said:
Now I have to ask, it seems that I'm only considering the the heat emitted from one surface out of the six possible surfaces of the rectangular prism.
The original problem statement does not say 5 surfaces are thermally insulated. So considering only 1 surface is wrong.
 
  • Like
Likes   Reactions: erobz and BuddyBoy
  • #20
Steve4Physics said:
The original problem statement does not say 5 surfaces are thermally insulated. So considering only 1 surface is wrong.
Additional comment. There may be some approximations that you can make.

For example, suppose you are interested only in thin sheets, so ##t## is very small compared to the other sizes.

In this case, the total area of the four edge-faces will be very small compared to the total area of the two large faces. Nearly all the heat-loss will occur through the two large faces. You could then say the total area for heat-transfer is (accurately enough) ##2Lw##.

It's up to you (as a designer/engineer) to make these decisions for the system on which you are working.
 
  • #21
BuddyBoy said:
I do think 60C is a good value to use TC and 30C as a good value for TA.
Not conservative enough, IMO.

Equipment safety standards would use TA≤40C. This isn't an uncommon occurrence in many parts of the world. Plus it's the ambient temperature near the wire insulation that matters, so your whole enclosure/conduit may trap heat above the outside temperature.

TC≤60C would be for the cheapest wire insulation. 90C insulation is pretty standard. Yes, it may cost more, but you can save money by reducing the wire gauge accordingly and make a bit more heat. Copper is expensive too.

When I was designing big power supplies, my standard starting point was TA≤50C and TC≤105C, but we made expensive things and would pay for good wire. Our equipment was rated for TA≤40C.

Of course none of this matters if you just want to play with the thermal modeling to learn how that works.
 
  • Like
Likes   Reactions: BuddyBoy
  • #22
Thank you for the assistance. I see that ##A## is ALL surface areas of the nickel strip.
$$I_{A}^{2}\;\frac{\rho\;L}{t\;W} = h\;A\;(T_{C} - T_{A})$$
$$I_{A}^{2}\;\frac{\rho\;L}{t\;W} = (2LW + 2Lt+2tW)\;h\;(T_{C} - T_{A})$$
$$I_{A}^{2} =\frac{t\;W}{\rho\;L}2(LW + Lt + tW)\;h(T_{C} - T_{A})$$
$$I_{A} =\sqrt{\frac{t\;W}{\rho\;L}\;2(LW + Lt + tW)\;h(T_{C} - T_{A})}$$
$$I_{A} =\sqrt{(tW^{2}+t^{2}W+\frac{t^{2}W^{2}}{L})\frac{2}{\rho}\;h(T_{C} - T_{A})}$$
$$I_{A} =\sqrt{(W + t +\frac{t\;W}{L})t\;W\;\frac{2\;h}{\rho}(T_{C} - T_{A})}$$
$$I_{A} =\sqrt{(W + t +\frac{t\;W}{L})t\;W}\;\sqrt{\frac{2\;h}{\rho}(T_{C} - T_{A})}$$

Does the equation above look correct?

$$I_{A}\;\alpha\;\sqrt{(W + t +\frac{t\;W}{L})t\;W}$$
I see that if you assume ##t## is sufficiently small than ##A## can be considered ##2LW## only.

If so, any help on finding a value for h under natural convection, would be greatly appreciated! With what I found online, it seems like it's typically between ##5## and ##25\;\frac{W}{m^{2}\;K}##.
 
  • #23
BuddyBoy said:
.. I see that ##A## is ALL surface areas of the nickel strip.
To avoid any confusion (using ##A## for both cross-sectional area and for surface area) it would be better to use different symbols for these areas.

It's not necessarily "ALL" surface areas. Only the surfaces through which significant heat-loss occur are relevant.

In a typical setup, the small end-faces have negligible areas when considering heat-loss. They would probably not even be fully exposed to the air as they would have electrical connections and be attached to supports. So the areas of the end-faces would usually not be included in ##A##. (In this case you find that ##L## cancels and you end up with simpler equations.)

BuddyBoy said:
.$$I_{A} =\sqrt{(W + t +\frac{t\;W}{L})t\;W}\;\sqrt{\frac{2\;h}{\rho}(T_{C} - T_{A})}$$

Does the equation above look correct?
It looks correct. But you may also like to derive the equation where the end face areas are not included. This would be the more usual approach.

BuddyBoy said:
$$I_{A}\;\alpha\;\sqrt{(W + t +\frac{t\;W}{L})t\;W}$$
The proportional symbol in LaTeX is \propto so I guess you mean
$$I_{A}\;\propto\;\sqrt{(W + t +\frac{t\;W}{L})t\;W}$$Of course this proportionality only applies for fixed temperatures and air-flow conditions.

BuddyBoy said:
I see that if you assume ##t## is sufficiently small than ##A## can be considered ##2LW## only.
Yes. It would be useful to derive the formula for ##I_A## in this case – that’s what you need for your nickel strip calculation.

BuddyBoy said:
If so, any help on finding a value for h under natural convection, would be greatly appreciated! With what I found online, it seems like it's typically between ##5## and ##25\;\frac{W}{m^{2}\;K}##.
Are you interested in natural convection or (as in earlier posts) forced convention?

The value will depend on the orientation of the strip. To maximise natural convection you would have the strip mounted vertically. Are your figures for a vertical orientation? You didn’t say where you got the figures from.

It’s unfamiliar territory for me, I would start by doing a search using, for example, “heat transfer coefficient for natural convection in air” and read through the various matches.

If this is just an exercise to improve your understanding, does the value matter that much?
 
  • #24
I haven't followed this thread super close but it seems to me that @BuddyBoy you continue to include length into this when you should not. The circumference of the conductor is what counts. By circumference I mean around the conductor as if orbiting an axis that would be direction the current flows. Every unit of length is only cooling the heat generated within this length providing the shape of the conductor is uniform. This is why wire ampacity is reliant on the type of termination. Out in the middle of a run of conductor, the length cancels the heat generated in said length. I won't comment on your math other than one of the first rules in algebra is to simplify. So, are you approaching the math with as few as possible inputs?
 
Last edited:
  • Like
Likes   Reactions: DaveE
  • #25
Averagesupernova said:
I haven't followed this thread super close but it seems to me that @BuddyBoy you continue to include length into this when you should not. The circumference of the conductor is what counts. By circumference I mean around the conductor as if orbiting an axis that would be direction the current flows. Every unit of length is only cooling the heat generated within this length providing the shape of the conductor is uniform. This is why wire ampacity is reliant on the type of termination. Out in the middle of a run of conductor, the length cancels the heat generated in said length. I won't comment on your math other than one of the first rules in algebra is to simplify. So, are you approaching the math with as few as possible inputs?
Yes, thanks. I just wanted the full generic equation, and understanding of it before simplifying. It seems that the length does indeed play a role in ampacity, but only a very small negligible amount, and can be likely disregarded for rectangular bar geometry. ##A## is the total surface area of all six sides, and the length is involved in four out of six of the surface areas. But can likely be disregarded because the thickness is small for this application of a thin strip of 0.1 mm in thickness, and the length cancels out, as shown below. If you have a super thick bar, then perhaps the length should not be disregarded. At which point you are likely using copper, and you would just go by the ampacity ratings from the manufacturer of the copper bar or some other source, since the ampacity of copper is much more well documented and understood.

Like others have said, if you make the engineering decision that
$$I_{A}^{2} \frac{\rho\;L}{t\;W} = (2LW + 2Lt + 2tW)h(T_{C} - T_{A})$$
Can be simplified if desired under the condition
$$2LW >> 2Lt$$
$$2LW >> 2tW$$
then removing the insignificant dimensions
$$I_{A}^{2} \frac{\rho\;L}{t\;W} = (2LW + \cancel{2Lt} + \cancel{2tW})h(T_{C} - T_{A})$$
$$I_{A}^{2} \frac{\rho\;\cancel{L}}{t\;W} = 2\cancel{L}Wh(T_{C} - T_{A})$$
$$I_{A}^{2} = \frac{tW}{\rho}2Wh(T_{C}-T_{A})$$
$$I_{A}^{2} = 2\frac{tW^{2}}{\rho}h(T_{C}-T_{A})$$
$$I_{A} = \sqrt{2\frac{tW^{2}}{\rho}h(T_{C}-T_{A})}$$
$$I_{A} = \sqrt{2}W\sqrt{\frac{t}{\rho}h(T_{C}-T_{A})}$$

I'm a bit unsure how to find a value for ##h## though? Assuming natural convection, so no fan blowing on the strip.

Thanks for any help!
 
  • #26
For "h", a rule of thumb:

When I was designing large control systems, they would often be enclosed in large steel cabinents. These were systems that would be installed on factory floors or mounted directly on a machine. Of course keeping the electronics cool was rather important! The enclosure manufacturers usually had graphs of power dissipation vs. interior temperature for various box sizes, and how big a cooler or heat exchanger was needed.

After a while, I became so familiar with the design graphs that I realized for convective cooling to the outside environment, the thermal resistance was
1 BTU/Hr/Sq.Ft./°F.; or R=1. That greatly simplified things.

Of course there would occassionally be a hot item in the enclosure, for which air conditioning units were available. In most cases all that was needed was a fan blowing on the hot item to encourage air circulation to the cooler enclosure walls.

Anyhow, there is a rule-of-thumb you can use for a sanity check on your calcs.

Have Fun!

Cheers,
Tom

p.s. 1 BTU (British Thermal Unit) ≅ 3.41 Watts
 
  • #27
BuddyBoy said:
If you have a super thick bar, then perhaps the length should not be disregarded.
How thick is that? 4/0 wire and larger is likely considered super thick in comparison to a .1 mm thick strap which is what this started with correct?
-
It is like I said. Termination of conductors plays a significant role in the ampacity of the conductor. A certain amount of heat is generated in a connection. This terminating connection will have a temperature rating. Not necessarily an ampacity rating. It ties back to the ampacity of wires in various columns in the NEC for wire ampacity. Larger wires under the same termination are able to carry more heat away from the connection at the same amperage as a smaller wire. So length plays a part in this only close to the connection. ANY change in the conductor size along the current path will do the same thing. Adjacent parts of the conductor have to now dissipate the heat generated in the smaller part of the conductor. Your 5 cm example is mighty short so length plays a part but only due to the connections at each end. The ability of the connections to carry heat away may well exceed what the conductor can dissipate, depending on their design.
 
  • Like
Likes   Reactions: BuddyBoy and DaveE
  • #28
Tom.G said:
p.s. 1 BTU (British Thermal Unit) ≅ 3.41 Watts
A BTU is a unit of energy but a watt is a unit of power!
1BTU ##\approx## 1055J.
1W ##\approx## 3.41 BTU/hour (which is where the '3.41' comes from).
 
  • #29
So it seems very difficult to determine a value of h. I did some preliminary looking into it, and it appears to be dependent on the geometry of the item, and even it's orientation. The calculation seems a bit involved. It does not appear to be dependent on the material? So in theory a copper strip will have the same h value as a nickel strip, given the same dimensions and application?

It would be nice if I could just use the NEC document, as it's the "gold standard", and use ratios to calculate ampacity values of nickel strips, but this doesn't even seem possible because h is dependent on the geometry of the conductor. So you would have a long, over a 3D rectangular prism.

Is there a "gold standard" for copper busbar? If there was, I could extrapolate tables, up and down various widths and length, if my formula that I found was correct, using ratios.

Then if my formula for calculating a nickel strip is also correct, I could do further ratios based on the resistivity of nickel vs copper, and generate a table for nickel bus bars. Smaller and smaller thicknesses until I have a "strip".

This method would allow for ampacity calculations without knowing what to use for h, if someone else has already done this.

Copper busbars appear to be used widely in industry for battery applications. The busbar is essentially a strip except much thicker.

Another thing I was thinking about. My formula assumes that the nickel stirp is "floating" in air, and all six surfaces are exposed to air. So I would have a different formula if the nickel stirp was say laying on a table?
 
  • #30
BuddyBoy said:
So it seems very difficult to determine a value of h. I did some preliminary looking into it, and it appears to be dependent on the geometry of the item, and even it's orientation. The calculation seems a bit involved. It does not appear to be dependent on the material? So in theory a copper strip will have the same h value as a nickel strip, given the same dimensions and application?

It would be nice if I could just use the NEC document, as it's the "gold standard", and use ratios to calculate ampacity values of nickel strips, but this doesn't even seem possible because h is dependent on the geometry of the conductor. So you would have a long, over a 3D rectangular prism.

Is there a "gold standard" for copper busbar? If there was, I could extrapolate tables, up and down various widths and length, if my formula that I found was correct, using ratios.

Then if my formula for calculating a nickel strip is also correct, I could do further ratios based on the resistivity of nickel vs copper, and generate a table for nickel bus bars. Smaller and smaller thicknesses until I have a "strip".

This method would allow for ampacity calculations without knowing what to use for h, if someone else has already done this.

Copper busbars appear to be used widely in industry for battery applications. The busbar is essentially a strip except much thicker.

Another thing I was thinking about. My formula assumes that the nickel stirp is "floating" in air, and all six surfaces are exposed to air. So I would have a different formula if the nickel stirp was say laying on a table?
In practical applications it’s an assumed value born out from empirical evidence. You should have read that if you found it’s dependent on geometry, orientation, flow properties, etc… if it’s a smooth metallic plate material, it should be pretty much independent of the plate material itself(I believe).
 
  • Like
Likes   Reactions: BuddyBoy

Similar threads

Replies
7
Views
1K
  • · Replies 4 ·
Replies
4
Views
2K
Replies
9
Views
6K
  • · Replies 3 ·
Replies
3
Views
2K
Replies
17
Views
3K
  • · Replies 2 ·
Replies
2
Views
2K
Replies
1
Views
5K
  • · Replies 1 ·
Replies
1
Views
5K
  • · Replies 23 ·
Replies
23
Views
6K
  • · Replies 1 ·
Replies
1
Views
1K