How Do You Differentiate y = x^(ln x)?

Click For Summary

Homework Help Overview

The discussion revolves around differentiating the function y = x^(ln x). Participants are exploring various approaches to find dy/dx and are engaging with the complexities of applying differentiation rules to this specific function.

Discussion Character

  • Mixed

Approaches and Questions Raised

  • Some participants attempt to use logarithmic differentiation, expressing ln y in terms of ln x and exploring the implications of taking derivatives. Others question the application of the chain rule and whether it is appropriate in this context.

Discussion Status

There is an ongoing exploration of different methods to differentiate the function, with some participants suggesting hints and others expressing skepticism about the validity of certain approaches. Multiple interpretations of the differentiation process are being discussed, and while some calculations are acknowledged as correct, there is no explicit consensus on the final answer.

Contextual Notes

Participants note that the answer provided by the book does not align with their calculations, leading to further discussion about potential mistakes in differentiation techniques. There is also mention of common errors that can occur when differentiating functions of the form f(x)^{g(x)}.

iRaid
Messages
558
Reaction score
8

Homework Statement


Find dy/dx.
[itex]y=x^{lnx}[/itex]

Homework Equations


The Attempt at a Solution


[itex]ln y= ln x^{ln x}[/itex]
[itex]ln y= (ln x)(ln x)[/itex]

Taking the derivative now:

[itex]\frac{1}{y}y'= (\frac{1}{x})(\frac{1}{x})[/itex]
[itex]\frac{1}{y}y'= (\frac{1}{x})^2[/itex]

Multiply by y:

[itex]y'= (\frac{x^{lnx}}{x^2})[/itex]

But it's not the right answer :?
 
Physics news on Phys.org
iRaid said:

Homework Statement


Find dy/dx.
[itex]y=x^{lnx}[/itex]


Homework Equations





The Attempt at a Solution


[itex]ln y= ln x^{ln x}[/itex]
[itex]ln y= (ln x)(ln x)[/itex]

Taking the derivative now:

[itex]\frac{1}{y}y'= (\frac{1}{x})(\frac{1}{x})[/itex]
Are you trying to say that d/dx(fg) = f'g'?
iRaid said:
[itex]\frac{1}{y}y'= (\frac{1}{x})^2[/itex]

Multiply by y:

[itex]y'= (\frac{x^{lnx}}{x^2})[/itex]

But it's not the right answer :?
 
I'll give you a hint for the way I would solve this problem. Use the chain rule!
 
Mark44 said:
Are you trying to say that d/dx(fg) = f'g'?

Wow forget the basics and you completely screw up lmao..

So then I get:

[itex]y'=(\frac{lnx}{x}+\frac{lnx}{x})(y)[/itex]
[itex]y'=(\frac{2lnx}{x})(x^{lnx})[/itex]
[itex]y'=\frac{2x^{lnx}lnx}{x}[/itex]
 
McAfee said:
I'll give you a hint for the way I would solve this problem. Use the chain rule!

Too bad the chain rule doesn't work here.
 
iRaid said:
Too bad the chain rule doesn't work here.

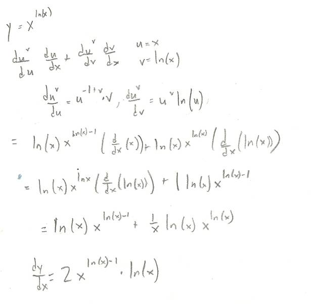
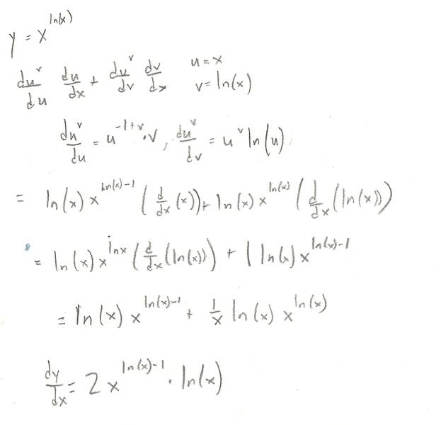
anything is possible

zDzwZ.jpg
 
McAfee said:
anything is possible

zDzwZ.jpg

Not the answer the book gives..
 
iRaid said:
Not the answer the book gives..

Yeah. I know. It is a different way of solving the problem, but the answer is still right.
 
  • #10
Needn't have copied the fine (and smart) calculation. The answer is nonetheless correct.
 
  • #11
Just to add: there are two serious mistakes one could make in differentiating
[itex]f(x)^{g(x)}[/itex]:

1) Treat g(x) as if it were a constant- [itex]g(x)f(x)^{g(x)- 1}[/itex]
2) Treat f(x) as if it were a constant- [itex]f(x)^{g(x)}ln(g(x))[/itex]

The peculiar thing is that the correct derivative is the sum of those two "mistakes".
 
  • #12
iRaid said:

Homework Statement


Find dy/dx.
[itex]y=x^{lnx}[/itex]

My preferred way to do this:

[itex]y={(e^{\ln x})}^{\ln x} = e^{(\ln x)^2}[/itex]

Differentiate with Chain Rule,

[itex]y' = e^{(\ln x)^2}(\frac{2\ln x}{x}) = \frac{2x^{\ln x}}{x}[/itex]
 

Similar threads

  • · Replies 5 ·
Replies
5
Views
2K
  • · Replies 6 ·
Replies
6
Views
2K
Replies
4
Views
2K
  • · Replies 12 ·
Replies
12
Views
3K
Replies
14
Views
11K
Replies
7
Views
2K
Replies
4
Views
3K
  • · Replies 4 ·
Replies
4
Views
1K
Replies
5
Views
2K
  • · Replies 8 ·
Replies
8
Views
2K